数学分析中的梦魇——“无穷”,人类感知盲区, 微积分困难之所在

18世纪,牛顿和莱布尼兹的微积分被广泛地应用来解决前代人感兴趣的问题,如面积问题、极大极小值问题及描述悬挂着的链子的形状(即悬链线)或者振动着的弦上的点的位置问题;还有对于天体力学的应用,以及与函数性质有关的研究,所有这些领域还有其他领域在整个 18世纪发展了起来。这要归功于于泰勒、约翰·伯努利和丹尼尔·伯努利、欧拉、达朗贝尔、拉格朗日等人。
这些人使用了许多大师般的论证,但是这些论证的有效性又多有可疑之处。对这些大师来说,对发散级数的运算、虚数的应用以及对实无穷的运算,用得是得之于心、应之于手。然而这些方法,对于普通人,又总是很难解释清楚,所以有些结果再重复起来就不太可靠了。要做欧拉的计算,你就得自己就是欧拉,这种情况延续到了下一个世纪。
一些特定的争论突出了一些问题,而今天看来这些问题是来自基础上的混淆不清。例如,在无穷级数问题上,就有着形式表达式的适用范围上的混淆。考虑级数

按照今天通用的初等定义,将把这个级数考虑为发散级数,因为它的部分和序列1,0,1,0……不趋向任何极限,但是关于这个式子却有争论。例如欧拉和伯努利就讨论过,一个无穷和的和与值可能有区别,伯努利认为,像1-2+6-24+120+…这样的东西并没有和,但是这个代数表达式可以有值。欧拉则为下面的观念辩护说,级数的和就是产生这个级数的有限表达式的值,也不管这些名词究竟是什么意思。在他的1755年的一本书里,以

这个式子是由1/(1+x)得来的,所以后来欧拉在为自己的观点辩护时,就说1-1+1+……=1/2。他的观点并未得到普遍接受。在把函数的值推到其通常的区域以外时,例如对于负数的对数,也产生过类似的争论。
对于18世纪的分析的语言和方法的最著名的批评家大概就是哲学家贝克莱。他的名言“存在即被感知”表明了他的唯心主义立场。他认为,这些对象应该是被感知的东西,而且应该是作为一个整体而被感知的。感知无穷小的大小的物体的不可能性,再加上它的明显的抽象性,使得贝克莱在他1734年出版的著作《分析学家:或致一位不信神的数学家的信》里讥讽地称无穷小为“消逝的量的鬼魂”,他的辩词是:在数学论证里、忽略去一个量,不论它多么小,都是不合适的。他引用了牛顿关于这个问题的话:"在数学中,哪怕是最小的误差,也是不许可的。"贝克莱接下去又说,正是这门学科的晦涩使得牛顿把这类推理强加于他的追随者。
所有这些都表明,微积分需更深入的解释。
欧拉
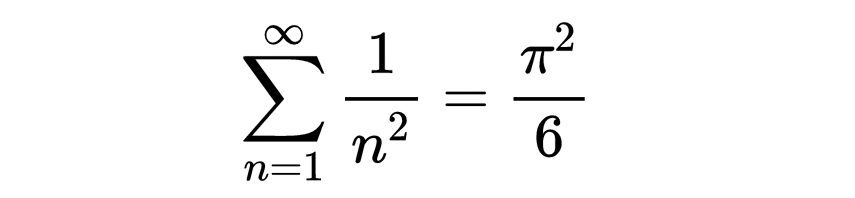
欧拉对于分析的一般发展所作的贡献多于18世纪的任何人,他为了论证他的方法所给出的论据,由于他所写的重要的教科书的成功与被广泛采用,甚至在他身后仍然有极大的影响。欧拉的推理有时被认为是很不严谨,因为用起微积分记号来很是随心所欲,他的许多论证按后来的标准看也都是有缺陷的。特别当这些论证涉及无穷级数和无穷乘积时更是如此。一个典型的例子是他对以下式子的早期的证明:

他的方法是这样的,利用sinx的已知级数展开式

欧拉考虑左式的零点,其位置在

应用适用于有限代数方程的因式定理(而对此未作任何论证),他把这个式子写成

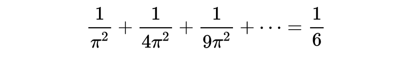
现在可以看到,双方x的系数应该相等。右式的系数是-1/6,而欧拉把左方各个括号都乘开,其中除了一个括号外都取1,这一项则取

这样欧拉得到

双方乘以π^2即得所求证明的式子。
我们现在认为这个处理途径有几个问题。无穷多个因子的乘积可能表示一个有限值,也可能不表示,今天就会要求确定它何时才表示一个有限值。还有把适用于(有限)多项式的结果用于无穷级数,是需要论证的步骤。欧拉在他的晚年对此结果给出另一个论证。他可能已经知道有反例一说。但是,这样的事实,对于欧拉却不是决定性的障碍。这样的观点,即在一般能行而可能有少数例外的情况下,仍然进行推理,在欧拉的时代并不少见,直到19世纪末,人们才通过协调的努力做到了这样的地步 ,即达到了这样的共识:在宣布分析的结果时,要确切地阐明这个定理成立的条件。

欧拉并没有细想过如何解释无穷和以及无穷小。有时,他轻率地就把无穷小当作零,而且从问题的上下文来导出微分之比的意义:
一个无穷小的量无非就是一个正在消逝的量,所以,将会真正变成零……所以在这个概念后面,和通常的想法不一样,并没有什么神秘的东西。这种假设的神秘使得无穷小的计算对于许多人变得很为可疑。
这个声明见于欧拉1755年写的Institutiones Calculi Differentialis一书,紧接着他就来讨论在比例中有一个比为0/0的问题,这样来论证在普通的数的计算中微分可以略去。这个声明很准确地描述了欧拉的实践的很大一部分——例如他在研究微分方程时就是这样做的。

然而,确实发生了冲突的事,而关于定义的辩论也不少见。最著名的例子涉及关于所谓振动弦问题的讨论。欧拉、达朗贝尔和丹尼尔·伯努利都卷进来了。这些辩论紧密地关乎函数的定义,以及在分析中所研究的函数有哪些可以用级数(特别是三角级数)来表示的问题。一条形状任意的曲线都可用作振动弦的初始位置,这样的思想推广了函数的思想,而傅里叶在19世纪早期的工作又使得这些函数在解析上可以处理。在这样的背景下,具有折断的图像的函数(一类不连续函数)就被纳入人们的视线了。后来,当与代数和三角运算相联系的"更自然"的对象让位于更一般的现代的函数概念时,如何对待这类函数,成了分析基础的决定性的问题。
18世纪晚期
在英国,对于贝克莱的一个值得注意的反应来自麦克劳林,他在1742年写的教本《论流数》试图澄清微积分的基础,消除掉无穷小量。麦克劳林是18世纪中叶所谓苏格兰启蒙时期的领导人物之一,是当时最出色的英国数学家,是牛顿的方法的热忱拥护者。他的著作,在欧洲大陆,和当时许多英国同时代人的著作不一样,得到了人们的阅读和兴趣、特别是他对牛顿天体力学的详细解释。麦克劳林企图用所谓"可指定的"有限量的极限这一概念作为他的推理的基础。麦克劳林的著作虽然确实给出了计算比的极限的例子,却是以晦涩著称的。他对于澄清分析基础的最大的贡献可能在于他对达朗贝尔的影响。
麦克劳林达朗贝尔读过贝克莱和麦克劳林的著作,而在拒绝无穷小量这一点上追随他们二人。当他探讨微分作为极限这个思想时,也企图把自己的思想与无穷小量可以无矛盾地看作是真正的零的思想调和起来、说不定这是对欧拉的思想的一种首肯。关于达朗贝尔的观点的主要作品可以在他主编的《百科全书》中关于微分的文章和关于极限的文章中找到。达朗贝尔为几何极限辩护,认为它比代数极限更重要。他的意思似乎是,对于所研究的量,不能仅仅作形式的研究,就是不能仅仅用代换和简化来研究。极限可以说是长度(或许多长度)的极限、面积的极限,或者其他有维度的量的极限,正好像把圆看成内接多边形的极限那样。他的目的似乎主要在于确立由现存的算法来描述的对象的现实性,因为他实际运用的计算是用微分来进行的。
拉格朗日
在整个18世纪里,微分学和积分学逐渐从它们对力学和物理学的应用中独立出来,成为一整套方法。同时,这些方法的焦点也从几何学移开,所以在18世纪后半叶我们越来越多地看到,微积分被处理为"解析函数"的"代数分析"。"解析"这个词在多种意义下使用。对于许多作者,例如欧拉,解析只不过就是讲的函数(作为变量之间的关系),即用分析中常用的单个表达式来表示的函数。

拉格朗日依据这种代数的观点为微积分提供了一个基础。拉格朗日集中注意于幂级数展开式,把它作为分析的基本实体,通过他的工作,解析函数这个词向着它的比较现代的意义演化,即与收敛的泰勒级数展开式相联系。他的途径在他1797 年的《解析函数论》一书里得到充分的表现。拉格朗日假设一个函数一定能表示为代数函数的无穷级数,他的这个论证是以已知的函数展开式的存在为基础的。他先是努力来证明在这个表达式里,"一般说来"不会有负幂和分数幂出现,由此他就得到了一个幂级数表达式。
这里的有点奇怪的记号是以拉格朗日的记号为基础的。设想要找出函数

用i的幂的表达式。一般说来这里只会出现i的整数幂,因为,拉格朗日说,i^(m/n)这种形式的项是没有意义的,函数√x+i的表达式只有两个值,而i^(m/n)有n个值,而级数

可以从√x得到两个值,因此其他的项必定是i的正整数幂。把分数幂撇开以后,拉格朗日就论证说

其中的P当i=0时是有限的。继续应用这个结果得到以下的表达式:

这里i是一个小的增量。数p也依赖于x,所以拉格朗日就定义它为f(x)的导函数,记作 p(x)=f'(x)。按照拉格朗日的用语,f(x)就是导函数的"原函数"。 类似的论据可以把高次的系数与通常的泰勒级数中的高阶导数联系起来。
以今天的眼光看来,拉格朗日的途径奇怪地有点循环论证的味儿,这是因为在18世纪把级数的“代数”无限过程与使用微分是区别开来的。拉格朗日并没有看到,原来的级数展开式就是以极限过程为基础的。由于重新强调极限,以及由柯西发展起来的新定义,拉格朗日的这个途径很快就被看成是站不住脚的了。
大家都在看
-
2399元起!「性能旗舰新选择」一加 Ace 6T发布:同档找不到对手 2025 年 12 月 3 日,一加在杭州萧山瓜沥文化体育中心正式发布「性能旗舰新选择」一加 Ace 6T。雷科技受邀到现场参与报道。图源:一加外观方面,一加 Ace 6T 搭载了一块 6.83 英寸的 OLED 直屏,机身背部用的是「金 ... 科技之最12-05
-
13亿欧元的败笔:科学史上最昂贵的实验 史上最昂贵的科学实验:为什么我们造不出“大脑”?2013 年,欧洲科学界发生了一件大事。一位极具个人魅力的神经科学家亨利·马克拉姆(Henry Markram),站在了 TED 的舞台中央。他向全世界许下了一个宏愿:给我 10 ... 科技之最12-05
-
华为日照金山路由器评测:路由器有颜了,对得起1299元的价格 日前,华为发布了一款备受关注的路由器产品:华为日照金山路由器。作为可能是市面上最好看的路由器,雷科技编辑部小伙伴们对这款产品十分感兴趣,要知道,在这款产品出现前,几乎没人关心过路由器的颜值。那么,除了 ... 科技之最12-05
-
口出狂言?初代网红罗永浩:我不会被限流,除非我「死」了 12 月 2 日消息,今天微博上有个网友提出疑问:罗永浩为什么能长盛不衰?罗永浩本人转发表示:只有死亡才能构成真正有效的限流。图源:微博截图嚯,老罗对自己的“流量体质”真有信心。话说回来,今天都周二了,答应 ... 科技之最12-05
-
CES官方剧透来了!AI成“绝对焦点”,AI硬件成全场主角 将于 2026 年 1 月 6 日到 9 日于美国拉斯维加斯举行的CES2026,已进入倒计时阶段。从 1967 年创办至今,历经近 60 年的 CES(Consumer Electronics Show,国际消费类电子产品展览会),早已成为全球消费电子行业的 ... 科技之最12-05
-
华为Mate 80 实测称王:无惧户外强光,中国屏亮天下 文/柳华芳 「科技先生」出品没有线下发布会,11月25日线上发布,华为Mate 80系列依旧做到了门店火爆、一机难求。过目不忘的双环设计、超透亮灵珑屏、户外探索模式......从设计上的光环之王,到惊叹的技术创新,每一 ... 科技之最12-05
-
火药味十足!荣耀高管犀利点评豆包手机:并不看好,撑不过三代 12 月 4 日消息,日前字节发布了豆包手机,现已售罄。价格 3499 元,搭载骁龙 8 至尊版处理器,有三颗 5000 万像素的摄像头。豆包手机在二手市场的售价最高已被炒至 7999 元。图源:豆包官网小雷从演示视频看到,用 ... 科技之最12-05
-
下周,科技板块最受投资者关注! 对于下周A股市场的潜力板块和方向选择,科技板块看好比例大幅提升。本周(11月24日至28日),A股市场震荡走高,成交规模维持在1.5万亿元上方。指数方面,上证指数本周上涨1.4%,最新报3888.60点;深证成指上涨3.56% ... 科技之最12-01
-
中国基建再出王炸,香山大桥创下3项世界之最,老外直呼不可能 没有惊天动地的宣传,一座横跨海湾的超级大桥悄然刷新世界纪录——香山大桥,这座中国基建的新标杆,用3项全球首创技术,在波涛之上架起“海上长虹”,让世界看见中国工程的硬核实力!今天就带大家解锁这座大桥的传 ... 科技之最11-30
-
科技前线 微观世界中,电子具有“自旋”的基本属性,这些“自旋”如同一个个微小磁针。材料的较多宏观特性,如磁铁的磁性或超导体的零电阻,皆源于这些微观磁针的排列方式与相互作用。日前,中国科学技术大学与浙江大学合作, ... 科技之最11-30
相关文章
- 为什么要强化科学研究、技术开发原始创新导向
- 中国基建再出王炸,香山大桥创下3项世界之最,老外直呼不可能
- 科技前线
- “开路小工”,科技强国大有作为!
- 红色地标上新+2!快来预约吧!
- “欧拉:数学界的天才魔术师,开启科学黄金时代的奇幻之旅”
- 标题:他洗澡发现浮力用杠杆放言撬动地球!阿基米德“科学狂人”
- 武汉进入全球前10强!打造5大高科技之谷!冲刺国家中心城市!
- 他用一粒苹果,撬动整个宇宙一一牛顿,科学王座上的孤独巨人
- 3999元!夸克S1首发评测:一款眼镜装下了淘宝、高德和支付宝
- 与鸿蒙共赴星光之约:当科技成为生活中最贴心的队友
- 年销量或破400万!智能戒指起风了,国产厂商这波却输得很惨
- 「微光力量」让科技更有温度!用脑机接口解码生命信号,强脑科技推动科技助残走向普惠
- 新国标要来了!充电宝要涨价?好消息是能用更多年了
- 被忽视的科技之光:这些中国技术正在重塑你的日常生活
- 时隔两年的回归:骁龙8 Gen 5到底变了什么?
- 蔡司,凭什么打造出“上帝之眼”?
- Gemini+TPU双线破局!顶级科技投资人“火上浇油”:七巨头中Alphabet最值得持有
- AI硬件先驱要成先烈了!Rabbit到底做错了什么?
- 赛场内外处处彰显科技范儿,从全运会看中国创新
热门阅读
-
万事胜意不能乱说的原因?告诉你万事胜意该对谁说 12-09
-
科威特第纳尔为什么那么值钱?比美元值钱的货币盘点 12-22
-
撕心裂肺十大催泪情歌,10首哭到崩溃的歌曲 12-24
-
不敢公布马航真实原因,内幕曝光简直太惊人! 12-25
-
陈百强什么原因怎么走的,陈百强85事件是什么 01-05
-
麻将公式一定要背下来,麻将手气背转运小妙招 01-19
