世界上最快的运动是?怎么计时的?


北京冬奥会昨晚开幕,各项赛事也全面展开。
从今晚开始,短道速滑混合团体接力的1/4决赛、半决赛及金牌赛将相继举行。短道速滑一直是中国队在冬奥会上的夺金大项,今年,北京冬奥会新增了短道速滑混合团体接力项目。
是否想过,短道速滑为什么能“纵享丝滑”?各种高速运动比赛中,选手们之间的差距可能只有零点零几秒,裁判员又是怎么计时的?
从科技的角度,一起来了解下滑冰项目,有助于更好地观看比赛哦~
文 | 藏痴
本文转载自微信公众号“中科院物理所”(ID:cas-iop),原文首发于2022年2月3日,原标题为《短道速滑为什么能“纵享丝滑”?》,不代表瞭望智库观点。
本届冬奥会共设109个比赛项目
分冰上项目和雪上项目
像体力与智力交辉的冰壶
美轮美奂的花样滑冰
和中国队传统优势短道速滑
就都是冰上项目。

为什么踩着冰刀就可以飞驰电掣?
怎么才能滑得更快更稳?

我们平常说的冰刀分为三种,包括速滑冰刀、花样冰刀和冰球冰刀,顾名思义,分别用于速度滑冰(包括短道速滑)、花样滑冰和冰球。
按照不同运动的不同需求,不同种类冰刀的形状、重量乃至构造都有区别。具体而言,速滑冰刀的刀刃最窄,只有大约1.4mm,相比而言,最宽的花样冰刀刀刃有3.5mm厚,可以支持运动员在冰面上稳定地做出各种复杂的动作。

数不清转了多少圈的羽生结弦
冰刀的刃可以嵌入冰面,避免在垂直刃的方向上发生我们不想要的滑动。在沿着冰刀刃的方向又可以保持很小的摩擦力。有了冰刀的帮助,运动员就可以在冰面上自如地滑行,而不会动不动来一段冰上街舞了。

这!就是街舞
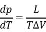
那么,为什么冰刀和冰面之间的摩擦力这么小呢?一种常见的说法是,冰刀与冰面之间极小的接触面积造成了非常大的压强,这一压强使冰的熔点下降,在表面形成了一层水膜。正是这层水膜减小了冰刀与冰面之间的摩擦力。但是,冰刀施加的压强到底能使熔点下降多少?真的可以使冰融化吗?
在水的相图中,固液分界线BD段描述了冰熔点随着压强变化的变化趋势。BD段小于零的斜率意味着随着压强增大,熔点逐渐降低。

水的相图
我们假设一名运动员体重70公斤,来看看他穿着冰刀站在冰面上时对冰面施加的压强可以让冰的熔点下降多少。按照刀刃与冰面接触面积最小的速滑冰刀计算,一般来说,刀刃前端超出脚尖8~9cm,后端超出脚跟5~6cm。
取冰刀刀刃长度50cm,平均宽度按1.4mm计算。单脚站立的情况下,运动员通过冰刀对冰面产生的压强大约10⁶Pa,也就是10个标准大气压。代入描述相变的克拉伯龙方程

结果得到此时冰的熔点是273.08K,也就是零下0.07℃。而奥运会各种比赛中,冰面温度一般在-5℃~-7℃。显然,单纯依靠压强并不会使冰面融化。
或许有的读者会想,冰面上的摩擦力虽然小,但毕竟不是完全不存在。有没有可能是摩擦产生的热量使冰层表面融化成了水膜,又反过来减小了冰面摩擦呢?如果你也是这么想的,那么恭喜你做出了与当年物理学家相同的猜想。

在1939年,剑桥大学的两位科学家就猜想,滑冰时冰刀与冰面的快速摩擦产生的热量可能是冰面融化形成水膜的主要原因。可惜后来人们证明,摩擦产热导致的水膜厚度会明显小于20μm,而冰面本身的粗糙度就已经在几十到几百微米了。也就是说,摩擦产生的水膜甚至不能填满冰层表面的“小水坑”,也就更不能提供有效的润滑了。
随着实验技术的发展,1960年以后,科学家们逐渐可以对冰面的微观结构进行足够精确的观察。温度不太低的时候,冰层与空气接触的表面并不是从规则排列的水分子突变成空气,而是存在一个过渡层。过渡层内部具有逐渐变化的结构,从分子排列整齐的晶态冰,到冰水混合物,再到完全的液态水膜。冰水混合物中的微型冰粒通过范德华力和氢键之类的弱作用力连结,形成了可以贮存液态水的多孔结构,就像凝胶珠一样。越靠近空气,过渡层中水分子的排列就越加无序,液态水就越多,固体冰晶之间的连结也越弱,甚至在水膜中出现了可以自由活动的微型冰碴和冰粒。

冰表面的过渡层示意
在最新的理论中,水膜里的微型冰碴和冰粒充当了轴承滚珠的角色,它们将滑冰时宏观上的滑动摩擦转变为微观上的滚动摩擦。冰刀产生的压强作用在过渡层中半熔化的冰水混合物上,这些冰水混合物像被捏爆的凝胶珠一样释放出液态水。这些水增加了原本水膜的厚度,使润滑的效果更好,进一步降低了冰面上的摩擦系数。这样,冰刀就可以在不直接接触晶态冰层的情况下,通过冰层表面自带的过渡层减小阻力,实现流畅的滑行。
在速度滑冰的比赛中,有时候一厘米的优势都会决定比赛最终的胜负。运动员们早已不将减阻润滑的希望完全寄托在冰面本身的性质上。一副出色的冰刀就像孙悟空手里的如意金箍棒,是运动员们获得比赛胜利的技术保障。
现在赛场上使用的冰刀,早已不像我们想象的那样,只是一个简单的铁片。它的侧面形状和刀刃设计中都有着丰富的力学原理。就短道速滑冰刀而言,侧面是一个复杂的曲线。按照运动员的不同喜好,这一曲线可以由一段或者几段曲率半径很大的弧形组成。这些弧形的曲率可以彼此不同,但要在交界处平滑地过渡。弧形的具体设计和运动员的习惯和动作息息相关,并没有统一的设计标准和理论分析。按照现有的一些数值模拟结果,曲率半径在15~20m的摆线形设计可能有利于在具体发力时降低冰面和冰刀之间的摩擦。

冰刀前中后段的弧形各有不同
冰刀的刃与平常的想象区别更大,它是一个槽型的宽刃。刃的剖面是一个弧形,中间凹陷而两侧向下突出,形成了两个锐角形的侧刃。圆弧形槽面的曲率半径是一个相对重要的设计参数。刀口宽度一定的情况下,曲率半径决定了槽中心凹陷的深度,也就决定了两个侧刃的锐利程度。

槽刃冰刀示意图
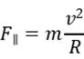
在直道滑行时,槽刃冰刀与普通单刃冰刀相比的优势并不特别明显。但是在通过弯道时,运动员需要冰刀提供水平的向心力,这时候单刃冰刀就显得力不能及了。
在高中物理中,我们学过向心力的公式

在转弯轨迹半径和质量都基本不变的情况下,如果想高速通过弯道,就必须有巨大的向心力。相比于呈90°角嵌入冰面的单刃冰刀,槽刃冰刀由于只用槽刃一侧的锐角劈尖接触冰面,因此可以以更锐利的角度嵌入冰面。
在同样的劈背正压力作用下,槽刃冰刀嵌入冰面的深度更大,可以提供比单刃冰刀更大的受力面积。由于运动员蹬冰时,冰刀和冰面之间的压强基本恒定,所以更大的受力面积就可以承受更大的力。
同时,在运动员身体倾斜角度θ保持不变的情况下,槽刃冰刀嵌入冰面的侧刃,与单刃冰刀表面相比,表面更加竖直。根据力的矢量分解原则,合力的水平分力更大。这些因素都保证了槽刃冰刀在水平方向上可以提供比单刃冰刀更大的向心力。因此,使用槽刃冰刀可以使运动员在过弯时不必减速,更加流畅地完成两个直道间的过渡。

单刃冰刀(左)和槽刃冰刀(右)在转弯蹬冰时的受力比较
现代的冰刀设计的初衷,就是为了让人们在冰上滑得更稳、更快、更安全。有了现代技术的加持,小伙伴们不妨做好安全防护,一起走上冰场吧~
延伸阅读:
精确、精确、再精确!冬奥选手成绩怎么记录的?
问问大家,你们觉得体育比赛的魅力在哪里呢?
是运动员在赛场上的顽强拼搏?还是团队在逆境时的永不放弃?当然,这些都是体育比赛的魅力所在。
大家有没有想过,在这些比赛中,尤其是各种高速运动,选手们之间的差距可能只有零点零几秒,裁判员都是怎么计时的?
文 | 陈江 陈琳 中国科学院国家授时中心
本文转载自微信公众号“科学大院”(ID:kexuedayuan),原文首发于2022年2月4日,原标题为《精确、精确、再精确!冬奥选手成绩怎么记录的?》,不代表瞭望智库观点。
1 世界上最快的运动是?
要说到世界上最快的运动,在冬奥会的各项比赛中,咱可以说速度滑冰是最刺激的比赛。《国家地理》曾这样描述:速度滑冰是在不借助外力的情况下,世界上最快的运动。在高速滑行中,速度滑冰运动员的速度可以达到60km/h,这已经赶上在一些省道上开车的最高限速了。
对冬奥会比赛项目熟悉的朋友可能会说,那高山滑雪运动员的速度不比这快?更何况还有雪车比赛。这两,哪个速度不都超过了速度滑冰。速度滑冰怎么敢号称是世界上最快的运动呢?
别急~你说的其实也没错,他们速度是快,可是高山滑雪它借助了势能,运动员从山上往下滑,高度越高,速度肯定就越快,而速度滑冰是在水平的冰面上进行的。雪车比赛那更不用说了,虽说它的速度可以达到160公里km/h,但它不仅借助了势能和滑道优势,还借助了器械。而在速度滑冰的比赛中,运动员只能借助一双冰刀靠人力在水平的冰面比拼。
既然是世界上最快速度的比赛,那么想要准确地判断运动员谁“更快”,可想而知是一件多么困难的事情。直到上世纪中叶,军备竞赛催生出了计时的电子时代,运动赛事计时革命迎来了新的转点。但早期的电子计时精确度并不够高,还不足以满足奥运会这种失之毫秒,差之千里的大型比赛,那么到底是什么高科技出现到了我们的冬奥赛场上呢?
那就是异频雷达!
2 异频雷达是什么?
雷达相信大家都很熟悉了,就是我们人类根据蝙蝠特性所发明的一项技术。它最重要的一个功能就是追踪飞机的方位。早期的雷达也叫”初级雷达“,它发射的电磁波的射束形状为扇行,这种射束水平方向较窄,垂直方向较宽,可以探测高空飞行的飞机。一般用2到3秒扫描一圈后会在一个圆形的显示器上显示回波位置。电影里最常看到就是这种雷达。
但是,现在空中飞行的飞机太多,已经很少用初级雷达了,最常使用的是次级雷达,它会将发射的电磁波按编码序列发给飞机。每个飞机上会安装有一个异频雷达接受机,在接收到信号后会产生一个编码回应信号,这个信号中会包括飞机的相关信息,这也就是战场上战机分辨敌我的秘密。
一旦飞机关闭异频雷达接收机,雷达就只能探测到飞机而无法判断哪架是目标飞机。但是对于空中交通控制中心来说,不仅要探测到飞机,更重要的是要清楚所有飞机的飞行信息,比如飞机的距离、位置、速度等,这样才能管理好如此庞大的空中交通网络。
回到我们速度滑冰的赛场上来说,一个个运动员在赛道上飞驰而过。裁判不仅要记录运动员的比赛路线,在统计圈数、计录时间的同时,还要判断运动员是否抢跑、是否滑出自己跑道、是否在换道时干扰对方等等,一旦有这些情况出现,选手就会被取消资格。所以公平判罚的基础就是要准确地掌握运动员的比赛信息。
大家看,速度滑冰的比赛场是不是和飞机场管控一模一样呢?虽然只是一场速滑比赛,但是赛场上的管控需求并不见得就比飞机飞行时的管控需求低。
3 赛场计时该怎么办呢?
在2014年的索契冬奥会上引入了异频雷达计时器。每一个运动员的腿上都会绑一个高性能的异频雷达收发机。这个收发机的质量很轻也很小巧,完全不会影响运动员的竞技状态。但是这台接收机可以方便计时器精准的测定、记录和公布比赛过程中运动员和团队的比赛成绩与最终排名。每一名运动员的异频雷达收发机都可以接收专属的编码脉冲信号,这样就不会出现记错两名运动员成绩的尴尬。
除此之外,异频雷达还能保护运动员的比赛权益,此话怎讲呢?
我们知道在跑步比赛中,运动员的成绩是记录胸部撞线那一刻的时间,所以所有的运动员在终点处都会尽量将胸部向前倾斜,而不是用手去够终点线。但在速滑比赛中规定,运动员的名次是以记录冰刀撞线时的先后成绩为最终结果。
在早期的比赛中,总会出现选手跨越终点线时冰鞋高于光电子眼红外线光束的情况,这样记录的时间就会有误差。而异频雷达接受机就完美地解决了这个问题,裁判可以根据异频雷达接收记录的比赛时间来确定最终排名,这样就不会再出现因为技术问题造成运动员比赛成绩无效或比赛失利的情况。
当然,这些异频雷达计时器的厉害之处远不只记录比赛时间这么简单,它还可以记录下比赛时选手们的平均速度、瞬时速度,甚至还能进行加速度、重力等一系列分析,为运动员后期的科学训练提供准确的数据参考。比赛组委会还能通过这些异频雷达追踪运动员在赛道上的具体位置,为判罚提供更为准确的数据,这就跟空中交通控制中心掌握每架飞机的飞机信息一样。
如此厉害的技术也并不只是速滑比赛的专属,像越野滑雪、短道速滑等冬奥比赛项目也已经开始使用这项技术了。异频雷达计时器不仅能让比赛的判断更加准确,也能让比赛变得更加公平公正。
4 结语
在奥运赛场上,运动员们为了百分之一秒甚至千分之一秒都在不断地拼搏。正是这样的体育精神掀起了一场关于比赛计时器的革命。
1896年,雅典奥运会
第一届现代奥运会使用的是手动计时怀表,只能精确到1/5秒。而且,这只表的倒计时极限是30分钟,所以那届奥运会的马拉松比赛,只有名次,没有成绩。
1912年,斯德哥尔摩奥运会
首次使用了电子眼和终点摄影技术。
1924年,巴黎奥运会
计算时间精确到了百分之一秒。
1932年,洛杉矶奥运会
人工计时时代画上了句号,奥运会开始进入全自动电子计时时代。
2004年,雅典奥运会
光是终点的摄像机就可以每秒拍摄1000张照片,基本杜绝了出现争议的可能。
2008年,北京奥运会
负责场馆计时的技术人员多达700名,各种器材重达400吨。
2014年,索契冬奥会
引入了异频雷达计时器,计时精度达到了千分之一秒。
从上面大家可以看出,其实各种高科技计时技术的出现也正是一场计时器之间的竞争。
相信,未来还会出现更多更高精度的计时器,可以说在未来的运动赛场上,无论多么细微的差距,我们都能更加准确地判定每一个运动员的成绩。让每一位运动员都能够在公平、公正、公开的道路上不断地去追求“更快,更高,更强,更团结“。
最后,祝我们中国所有的运动员在冬奥会上都能取得满意的成绩!

大家都在看
-
“全球最快高铁”要来了! 被称作“全球最快高铁”的CR450动车组正在沪渝蓉高铁开展运用考核2021年,“十四五”规划102项重大项目之一的CR450科技创新工程启动。去年年底,CR450动车组样车发布,目前已完成在不同速度、不同场景中的多项试验。 ... 世界最快10-22
-
“全球最快高铁”,有新消息! 被称作“全球最快高铁”的CR450动车组样车去年底公布后,目前正在不同速度、不同场景中进行多项试验。试验期间,CR450动车组跑出了动车组单列时速453公里、相对交会时速896公里的最新纪录。目前,CR450动车组正在沪 ... 世界最快10-22
-
全球最快动车组,正在“刷里程” 人享其行、物畅其流是我国交通运输业发展的目标。“十四五”期间,我国加速织就交通“经纬网”,已拥有世界最大的高速铁路网、高速公路网和邮政快递网,综合立体交通网总里程已超过600万公里。目前,我国国家综合立 ... 世界最快10-21
-
“全球最快高铁”,有新消息 被称作“全球最快高铁”的CR450动车组样车去年底公布后,目前正在不同速度、不同场景中进行多项试验。试验期间,CR450动车组跑出了动车组单列时速453公里、相对交会时速896公里的最新纪录。目前,CR450动车组正在沪 ... 世界最快10-21
-
时速453公里!“全球最快高铁”正在刷里程,明年全面测试!上海到北京2.5小时? 据央视新闻最新消息:被称作“全球最快高铁”的CR450动车组正在沪渝蓉高铁开展运用考核2021年,“十四五”规划102项重大项目之一的CR450科技创新工程启动,去年年底,CR450动车组样车发布,目前已完成在不同速度、不 ... 世界最快10-21
-
全球最快高铁,有重要进展! 被称作“全球最快高铁”的CR450动车组,已完成在不同速度、不同场景中的多项试验,试验期间,更是跑出了单列时速453公里、相对交会时速896公里的最新纪录。目前,CR450动车组正在沪渝蓉高铁开展运用考核,什么是运用 ... 世界最快10-21
-
“全球最快高铁”,要来了! 被称作“全球最快高铁”的CR450动车组样车去年底公布后,目前正在不同速度、不同场景中进行多项试验。试验期间,CR450动车组跑出了动车组单列时速453公里、相对交会时速896公里的最新纪录。目前,CR450动车组正在沪 ... 世界最快10-21
-
世界最快人力自行车,人躺在里面就能骑,时速高达144公里! 注意看,这难道是一颗"蛋"冲过去了吗?此时它正在公路上快速的飞驰着,镜头拉近一看才知道,实则它是世界上跑的最快的人力自行车。令人感到惊讶的是,它的时速竟然超过了144公里,简直把家用汽车远远的甩在 ... 世界最快10-14
-
关键核心技术全面自主化!我国首列,全球最快! 科技日报记者 宋迎迎9月18日,具有完全自主知识产权的我国首列中国标准智能市域列车在青岛亮相,标志着我国在市域轨道交通装备领域取得重要新突破,系列化中国标准智能市域列车实现示范应用。它的问世,引领我国市域 ... 世界最快09-20
-
全球最快!时速400公里高铁列车来了 更高速、更安全、更节能、更舒适、更智能!风驰电掣的复兴号动车组,纵横神州大地,见证着中国铁路从追赶到领跑的非凡历程。CR450动车组投入商业运营后,运营时速将达到400公里,成为全球跑得最快的高铁列车!戳,看 ... 世界最快09-02
相关文章
- 全球最快!时速400公里高铁列车来了
- 全球最快列车亮相“高铁创新之旅”
- 全球最快!在武汉!
- 全球最快、跑出全新试验速度 中国高铁再次冲上热搜
- 再出手!全球最快高铁成功试跑,北京到上海仅需2.5小时?
- 特稿丨时速400公里!全球最快,惊艳亮相!
- 时速400公里运营!“世界最快高铁”将在成渝间开跑
- 时速400公里!全球最快,惊艳亮相!
- 全球跑得最快的高铁,内部长啥样?一探究竟→
- 亮个相吧,全球跑得最快的高铁!
- 时速400公里!全球最快高铁来了
- 时速650公里!全球最快!
- 全球最快!CR450动车组样车在北京发布
- 10米/秒!全球最快的机器狗正式亮相
- 世界最快中低速磁浮开工建设
- 全球公认最快的燃脂运动,每天20分钟,一周暴瘦一圈!
- 世界上“倒退”最快的国家:从发达国家到一贫如洗,只用5年时间
- 全球最快致死记录之一,79年男孩被太攀蛇咬一口,10分钟人就
- “狂飙”!全球最快高铁来了,中国高铁再次刷新世界纪录
- 450公里!全球最快高铁来了!
热门阅读
-
世界上跑的最快的猴子,每小时能达到50公里! 07-14
-
世界最快的个人潜艇,数秒潜入100米 09-29
-
世界上速度最快的火箭车,每小时达到1600公里 04-26
-
世界上飞行最快的鸟,灵活的军舰鸟 04-26
