数学公式之十大最美丽的数学方程式都有哪些,你认为谁应该是第一
我对一个漂亮的数学方程的主观定义基于两个主要因素:方程的简单性和我使用它时的满足感。我为这个列表所做的一些选择对新手数学家来说并不简单,但对经验丰富的数学家来说却非常简单。
我列表中的选择仅限于我所涵盖的 BSc/MSc 数学模块的知识。如果您觉得您有建议应该在此列表中,请随时发表评论。
谷歌对“等式”的定义将一种含义列为“将一件事等同于另一件事的过程”。
因此,如果一个方程式、定义或以其他方式带有“=”符号,那么我认为它有资格被列入我的列表,即使有些人可能会说它在数学上不是真正意义上的方程式。
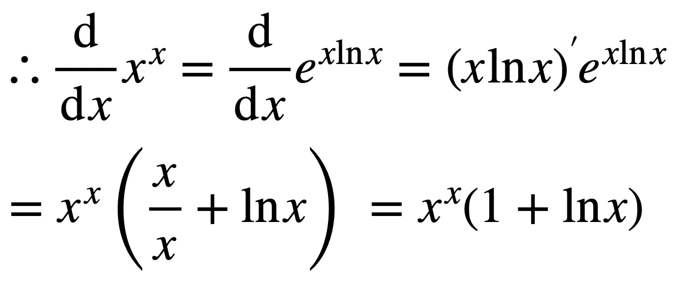
10. x 的 x 次方导数

也许只有我一个人认为上面的方程很漂亮,但是一旦你理解了如何计算左边,它就会非常令人满意。
如果你已经学习了高级数学,那么你可能会认为这个导数相当可怕。
对我来说,解决这个导数感觉就像五星级的三道菜的数学等价物。
首先是对x、指数和自然对数之间美妙关系的认识。

接下来,这个规则的应用。

现在我们终于可以证明左边等于右边。

对我来说,这个问题展开的方式既美丽又有益。它以一种紧凑的方式结合了幂、指数、对数和微分规则。
9. 群的定义

群定义描述了一个集合“ E ”和一个运算符“star”来结合“E”的两个元素以产生一个“E”的元素,以遵守群公理(结合性、恒等式和逆元的存在)。
“星号”运算符可以表示任何运算符,例如乘法、加法、减法或除法——它基本上等同于“ x ”,但对于运算符而言。
我认为它很漂亮,因为它以符合简单的方式在视觉上代表了一个群体。
8. Aleph noel,自然数的个数

Aleph noel 被定义为自然数的个数(即正整数的个数)。换句话说,对于那些不熟悉自然数集的人来说,它是一组从 1 开始向上计数的整数正数(即 1、2、3、4、5 等),这就是为什么它们是称为“计数”:

那么这个集合中有多少个数字呢?无穷?我们将其描述为 aleph noel 的无限量。可能很想说:

但这不是全部事实,因为有比 aleph-noel 更大的无限数量。例如,实数的个数(整数和小数的个数)也是无限的,但它包含的不仅仅是正整数的个数,所以它一定是比正整数的个数更大的无穷个数。所以当你听到数学家或物理学家说某些无穷大比其他无穷大时,这确实是数值现实。
7. P = NP(有争议)
P VS NP 问题是计算机科学和决策数学中最大的开放性问题。它提出了一个问题,即在多项式时间内被非确定性算法接受的每种语言是否也被多项式时间内的确定性算法所接受。
如果所有 NP 问题(在多项式非确定性时间内易于验证但难以求解)都在 P(在确定性时间内易于求解和验证),则 P = NP。
如果“P = NP”被数学界接受,在我看来,它会被证明是最美丽的方程之一。
6. 质能等价

爱因斯坦著名的方程建立了质量、能量和光速c 之间的美妙关系。
5.牛顿第二定律

牛顿第二定律不仅简洁优美,而且从某种意义上说,它也是紧凑的,因为对于不同的场景,同一方程式有许多版本。这是一个方程式,需要时可以简单,需要时可以复杂。
我最喜欢的F = ma版本是 Navier-Stokes 方程,它本质上是F = ma的重写,用于通过将流体建模为连续体来描述流体的运动。我最喜欢的方程式版本如下:

4.零阶乘

我发现这个等式很漂亮,因为它和谐地将 0 和 1 结合在一起,但又不使它们相等。
除了作为零阶乘的答案之外,这同样可以被程序员理解为“0 不等于 1”,这似乎是我过去试图将 1 除以零或计算倾向于计算极限的反复出现的主题在不首先解决分母的情况下为零。
3.欧拉恒等式

欧拉恒等式可以使用德莫伊弗定理求得。我们知道 cos(π) = -1 和 sin(π) = 0。根据毕达哥拉斯定理,我们还知道半径r为 1。因此,将这些值代入 De Moivre 定理,复项i sin(π) 消失,我们得到漂亮的欧拉恒等式 exp(iπ) = -1。这个方程式可以重新排列成上面的方程式,我认为它更漂亮,因为它包含了零。
它被数学界的许多人认为是一个非常漂亮的恒等式,因为它显示了 π, i和欧拉数e之间的显着联系。
2.一加一等于二

这可能看起来相当幼稚,但当我们考虑到数学在人类历史上取得了长足的进步时,即使是数学的基础也不能被视为理所当然。
它也是我生命中第一个将我引入数学领域的方程式。
1. -1的平方根

当我第一次在一本更深入的数学教科书中看到这个方程时,我被这个方程的纯粹美丽和简单所震撼。
复数的概念和学习它们在量子力学中的应用确实让我觉得自己仿佛进入了一个全新的数学世界。
我记得我在学校时想学习进阶数学的主要原因之一就是了解“虚数”是什么。当时它似乎非常有趣,现在复数感觉就像数学的任何其他重要方面一样。
总结
感谢您阅读我最喜欢的十大数学方程式列表。
大家都在看
-
这位两届奥运冠军有了新身份,运动生涯曾创三项之最 你还记得龙清泉吗?当年,他可是举重赛场大名鼎鼎的人物,8年内两次夺得奥运会举重金牌。近日,这位当年的举重名将有了新身份,4月22日湖南省体育局发布的“关于局机关干部内部交流轮岗的通知”显示,龙清泉交流轮岗 ... 体育之最04-24
-
关于世界杯 5大不可思议的事件 世界杯百年历史上,充满了无数令人瞠目结舌、匪夷所思的传奇与闹剧。以下精选5 大最不可思议的事件,每一件都颠覆了人们对足球的认知:1. 1966 年门线悬案:世界杯史上最大疑案事件:英格兰世界杯决赛,英格兰 vs 联 ... 体育之最04-10
-
“飞翔”失败之后一名翼装飞行者挂在禄劝“望天崖”上惊心5小时 2026年3月,昆明禄劝县雪山乡的“望天崖”见证了惊魂一幕。一名翼装飞行者因突发气流影响,未能按计划路线飞行,被挂在“望天崖”陡峭崖壁的半山腰岩石上。这里山体坡度接近垂直,岩壁湿滑、杂草丛生,根本没有正常 ... 体育之最04-05
-
周琦单场8罚0中,连续12罚不中,创CBA历史之最 北京时间2026年3月23日,CBA常规赛第29轮,北京北汽客场86-88不敌吉林,核心争议集中在中锋周琦的罚球表现上。他全场8罚0中,加上上一场对阵辽宁末节连续4罚不中,已连续12罚不中,创造CBA历史单场罚球全丢新纪录。 ... 体育之最03-28
-
乒乓球混团世界杯在成都揭幕 王楚钦代表运动员宣誓 11月30日上午,2025年成都国际乒联混合团体世界杯在四川省体育馆正式开幕。中国队王楚钦、德国队沙宾·温特代表运动员宣誓。此次比赛是乒乓混团入奥后首次进行的世界杯比赛,比赛冠军队伍的世界积分从1000分提升至25 ... 体育之最03-24
-
(图表)体育·年终稿丨2024年中国体育健儿获194个世界冠军 创历年之最 新华社图表,北京,2024年12月26日国家体育总局竞技体育司12月26日发布《2024年我国运动员取得成绩报告》。2024年中国体育健儿共在33个项目上获得194个世界冠军,数量创历年之最。新华社发 王威 制图 ... 体育之最03-21
-
CBA第一阶段三大"之最" 本赛季CBA常规赛第一阶段火爆激烈,让无数球迷看得是如痴如醉,CBA三个"之最"的故事如同三把烈火,点燃了整个中国篮球圈的激情与热血!1、广西平民天王庞峥麟最励志:从野球场打到国家队。这是一个足以写入 ... 体育之最02-08
-
前无古人!ATP盘点阿尔卡拉斯多项历史之最 2月4日,国际职业网球联合会ATP巡回赛官方盘点了阿尔卡拉斯创下的多项成就:22岁272天,实现全满贯最年轻男球员;19岁130天,最年轻ATP男单世界排名第一;22岁9个月,公开赛最年轻获得7个大满贯男单冠军球员;21岁2 ... 体育之最02-06
-
国际乒联主席索林点赞混团世界杯:让成都再次成为乒乓球的温暖家园 2025年成都国际乒联混合团体世界杯已于11月30日火热开幕,这场乒坛盛宴在混团项目入奥的背景下,也成为2028年洛杉矶奥运会的“实战预演”,并且以更高的积分受到了更广泛的关注。12月1日下午,成都混团世界杯召开了 ... 体育之最12-27
-
世界上等级最高的体育赛事:奥运会每四年一届,已举办了29届 世界上有许多各式各样的体育赛事,吸引着全球范围内的观众们的目光。无论是足球、篮球、网球,还是自行车赛、电子竞技,都有自己的粉丝群和观众基础。但要说到世界上等级最高的体育赛事,非奥运会莫属,也是最具影响 ... 体育之最08-19
相关文章
- 国际乒联主席索林点赞混团世界杯:让成都再次成为乒乓球的温暖家园
- 世界上等级最高的体育赛事:奥运会每四年一届,已举办了29届
- 世界上等级最高的足球赛事,世界杯每四年一届
- 12岁于子迪200米蝶泳夺冠:泳坛新星的破晓之光
- 专访邓亚萍:不服输的态度永不止步
- 42岁老将血战王曼昱!削球艺术对决,险胜背后是永不屈服体育精神
- 21分钟速胜!孙颖莎碾压卢茨创纪录,外媒惊叹:中国女乒无解
- 最佳运动时间不是“天刚亮”,更不是“临睡前”!很多人锻炼错了
- 冲上热搜!战胜国乒后激动捂脸痛哭,这才是竞技体育最真实的模样
- 多哈乒坛风云:热血与遗憾交织的竞技诗篇
- CBA生死战启示录:当钢铁之躯轰然倒下,谁在改写英雄剧本?
- 国际乒联的“傲慢”才是体育精神?
- NBA史上最强的10个最人都有那些!
- 为什么它能称为地球最受欢迎的运动?这些数据告诉你答案!
- 跳水台上的冰与火:00后双姝巅峰对决撕开竞技体育最残酷的温柔
- 国乒狂揽四连胜!孙颖莎碾压神秘之师,王曼昱双线突围引爆看点
- 最适合人们的体育运动,大多数人都不知道
- 勒布朗-詹姆斯最新推特:体育赛事中最棒的两个字—抢七!
- 伽VS普拉提:谁才是你的“本命运动”?90%的人都选错了!
- 34岁孙杨带伤夺铜!赛后一动作让全网泪崩:这才是真正的冠军
热门阅读
-
NBA75大球星官方完整名单 02-15
-
世界十大知名职业自行车赛事,环法自行车赛名列前茅 04-26
-
2022热门网游排行榜前十,英雄联盟位居第一宝座 09-02
