光速达到每秒30万公里,为何这么快?背后的动力是什么?
日常生活经验告诉我们,速度都是相对的,比如相对于某个参照系才有意义。而在地球上一般我们都默认地面为参照系,也没必要说出来。
但是,还真有一个速度是绝对的,根本不需要参照系,它就是光速。光在真空中的速度大约为每秒30万公里,而这个速度就是绝对的,不管在任何参照系下测量,结果都保持不变。

那么,光的速度为何这么快呢?背后的动力又是什么呢?
先说答案,光以光速飞行根本不需要任何东西,它天生就是光速,而且没有任何加速过程,瞬间达到光速。
为什么会这样?让我们来详细看一看。

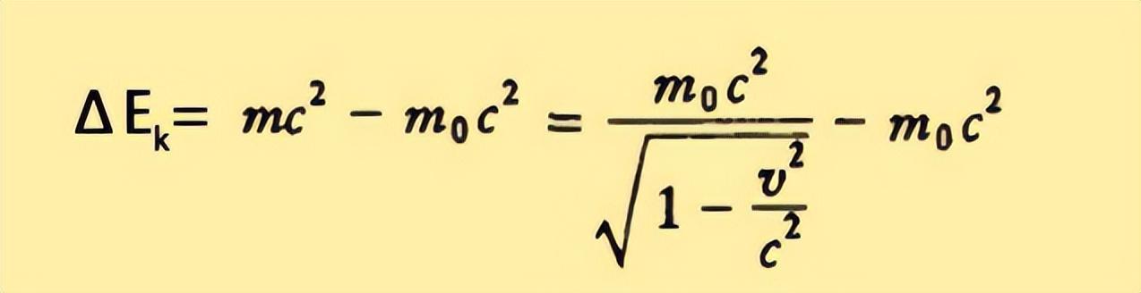
1905年,爱因斯坦提出了伟大的狭义相对论,其中有一个著名的公式,质能等价方程,一经问世便引起了科学界巨大轰动。
这个质能方程就是能量等于质量与光速平方的乘积。该公式表达的意思就是,一个质量为M的物体,拥有的总能量就是E。

质能方程可以用狭义相对论推导出来,推导过程会涉及到信息,能量和物质之间的转换关系,在这些关系中,爱因斯坦特意强调了物质,信息和能量的速度是无法超越光速的。如果想达到光速,一个物体的静质量必须为零。
质能方程中的M就是静质量,到底什么是质量,什么是静质量,爱因斯坦并没有给出明确答案。随着科学家对微观世界的深入探索,才逐渐找到了更具体的答案。
我们都知道,万物都是由最基本的原子组成的,原子由原子核和核外电子组成,电子无法继续分割下去,是基本粒子。原子核由质子和中子构成,质子带正电,中子不带电。

你有没有想过,原子核里的质子数量有很多,为什么不会因为同种电荷的排斥左右而分开呢?
还有,通过用大型粒子对撞机轰击质子和中子,科学家们发现了更小的结构,夸克。每个质子和中子都是由三个夸克组成的。三个夸克到底是如何组成质子的呢?
随着科学家们发现越来越多的基本粒子,如何把它们进行很好地分类就成了最大的难题。在这种背景下,粒子标准模型呼之欲出。

科学家们把微观粒子分为费米子和玻色子。费米子就是基本粒子,把一个物体不断切割最后不能再分的,就是费米子,比如说电子和夸克都是费米子。而玻色子是把费米子连接起来的粒子,就像胶水一样把基本粒子连接在一起,组成可见物质。
同时,科学家们认为自然界存在四种基本作用力,分别是强力,弱力,电磁力和引力。

强力把三个夸克束缚在一起形成质子和中子,同时也把质子中子束缚起来。强力是自然界最强大的力。
当科学家们试图用规范场理论统一四大作用力的时候,遇到了一个难题:他们不知道物体的质量到底来自哪里!
因为科学家们发现,一个质子或中子99%的质量都来自于强相互作用把夸克束缚在一起的束缚能。那么剩下的1%质量哪里去了呢?

理论上讲,剩下的1%质量就应该是三个夸克的质量,因为质子和中子都是由是三个夸克组成的。但是在夸克的质量又是哪里来的呢?
按照规范场理论,电子和夸克这样的基本粒子本应该是没有质量的。其次,所谓的四大作用力其实是通过传播子来传递的。比如说强相互作用,也就是强力是通过胶子来传递了,相当于把胶子扔来扔去就传递了强力。电磁力通过光子来传递的。而弱力是通过W玻色子和Z玻色子来传递的。

不同的是,胶子和光子都没有质量,但是W玻色子和Z玻色子都是有质量的,这些质量都来自哪里呢?
这就需要希格斯机制来诠释了。科学家们认为,宇宙中充满了希格斯场,当希格斯场受到扰动时就会产生希格斯粒子,也被称为上帝粒子,正是希格斯粒子赋予了基本粒子质量。

赋予的方式就是,希格斯粒子会与基本粒子发生作用,让粒子的运动速度减慢从而获得质量。夸克和电子等基本粒子的质量就是这么来的。
也就是说,所有的基本粒子本应该都是没有质量的,它们的速度也都应该是光速,只不过在飞行的过程中与希格斯粒子发生作用之后减速了,也因此获得了质量。

但并不是所有的粒子都会与希格斯粒子发生作用,比如说光子还有传播强相互作用的胶子,两者都不会与希格斯粒子发生作用,所有光子和胶子的质量都为零,而且不会被希格斯粒子减速,一直保持光速飞行!
大家都在看
-
从量子科技到元宇宙的崭新探索:中国科技为何引起全球瞩目? 合肥的实验室中,当光量子芯片在-271℃的超低温环境下闪烁着神秘的幽蓝光芒,显示着我国在前沿科技领域的前沿探索;在深圳,柔性屏幕薄如蝉翼,如同丝绸般可卷曲,展现了我国在新材料领域的创新实力;而在上海的生物 ... 宇宙探索03-23
-
显微镜下的奇妙世界:探索微观宇宙的无限奥秘 在我们的日常生活中,眼睛所能看到的世界仅仅是浩瀚宇宙的冰山一角。无数精妙的细节与宏大的结构,往往隐藏在肉眼无法触及的微观尺度之下,静默地运转着。而显微镜的发明,宛如一把神奇的钥匙,为我们打开了一扇通往 ... 宇宙探索03-23
-
《宇宙探索编辑部》追了半生宇宙,才懂平凡人间,才是终极答案 作为看遍各类科幻与现实题材的影评人,很少有一部电影能像《宇宙探索编辑部》这样,没有炫酷特效,没有惊天反转,却用最笨拙、最赤诚的理想主义,戳中无数人心里最软的地方。我们都曾像主角唐志军一样,抱着一份不被 ... 宇宙探索03-22
-
一个国家插入另一个国家? 一个国家插入另一个国家腹地会有什么影响?就像位于西非的冈比亚和塞内加尔。冈比亚占据冈比亚河下游两岸的狭长地带,犹如一把匕首插入塞内加尔中。冈比亚河是西非唯一通航海船的河流,由于冈比亚控制了主航道,内陆 ... 宇宙探索03-22
-
探索微观宇宙,见证科技奇迹!🔍🔬✨ 在这个由精密齿轮构成的微观宇宙里,每个细节都决定着系统的命运。一个微小的错位就能让整个系统陷入停滞,这就是系统的脆弱性,对细节的敏感度超乎想象。而点滴的校准是引导能量流向的关键。当细节被精准把控,能量 ... 宇宙探索03-22
-
第十九章:万灵共振,探索宇宙的奥秘,见证生命的奇迹!🚀✨ 唤醒生机之种的过程成了全银河生灵的共同使命。联盟向所有星球发出号召,用最纯粹的希望与勇气向枯寂星传递意念这两种情感。在法则层面恰是光的存续与暗的革新最鲜活的体现。·一、时间新银河的每一颗星球上,无论是 ... 宇宙探索03-21
-
探索宇宙的奥秘,揭开宇宙的神秘面纱!🔍🔬 宇宙究竟是平坦的还是弯曲的?这个问题让无数科学家和天文迷争论不休,真相究竟是什么?宇宙是否平坦一直是天文学界的一个热门话题。根据广义相对论,如果宇宙是平坦的,那么光线在宇宙中就能直线传播,不会发生弯曲 ... 宇宙探索03-19
-
太空探索:人类如何一步步走出地球,开启宇宙之旅 说起太空探索,很多人脑海里浮现的可能是宇航员穿着厚厚的宇航服,驾驶飞船飞向月球或者火星的画面。但其实,太空探索的故事远比这些画面更精彩、更复杂,也更充满了人类的智慧和勇气。今天咱们就来聊聊,这场人类走 ... 宇宙探索03-18
-
探索宇宙的奥秘,从大爆炸到黑洞,带你走进神秘的星空世界! 先说大爆炸吧。想象一下,138亿年前,整个宇宙其实是一个极其炽热、密度超高的“火球”,比太阳还要热千万倍,空间几乎没有。突然,这个“火球”开始疯狂膨胀,速度快得难以想象,这就是大爆炸。别误会,这不是普通 ... 宇宙探索03-18
-
探索宇宙奥秘:地球的起源与生成之旅🌍✨ 地球的起源与生成过程。耄耋视频。远古时期宇宙的起源和地球的生成是一个宏大且复杂的过程,涵盖了从宇宙大爆炸到地球形成的漫长演变历程。以下是对浩瀚宇宙、地球起源与生成过程的简要概述。宇宙的起源与浩瀚宇宙。 ... 宇宙探索03-16
相关文章
- 探索宇宙的奥秘,从大爆炸到黑洞,带你走进神秘的星空世界!
- 探索宇宙奥秘:地球的起源与生成之旅🌍✨
- 探索未知宇宙苍穹
- 北京天文馆“宇宙探索营”开启\中国人民抗日战争纪念馆卢沟桥抗战半景画全新升级……本周最新博物馆资讯点击——
- 从《宇宙探索编辑部》到《坠落的审判》,他用60余张海报设计解码光影背后的“无序公式”
- 科学家追踪引力波,结果发现更离谱的宇宙事件
- 以光速的20%飞行:科学家展示“实用”光帆探索宇宙
- 看不见的宇宙:暗物质与暗能量的证据、理论与探索
- 美国太空部队:要有攻击中国卫星能力,探索部署攻击性轨道航天器
- “大航天时代”会加速人类探索宇宙的进程吗
- 三种“超光速”现象,告诉你宇宙远比想象疯狂
- 微积分:探索宇宙无限奥秘的钥匙
- 探索月相奥秘,揭示宇宙的奇妙!🌙✨
- 宇宙或许不是无限的,它的总质量已经被推算出来
- 探索宇宙的奇迹,太空站俯瞰地球!🌍✨
- 宇宙探索:人类的火星梦想与深空探测
- 从水火土到夸克 2500年物质探索 重塑宇宙认知
- 暗物质捕手+天文AI,中国科学家把宇宙探索“卷”出新高度
- 航天科技究竟是什么?它为什么能让我们仰望星空,探索宇宙奥秘?
- 未来宇宙探索:与外星文明首次接触,是友是敌?
热门阅读
-
预言2030年太阳将休眠,恐怖的千年极寒将来临 07-11
-
中国十大元帅之死,多高寿而善终(林彪叛逃而死) 07-11
-
因果报应真实事例,做尽坏事必遭天谴 07-11
-
这6个神奇天体有很酷的名字 06-01
-
全球人口减少可能带来的六大教训和好处 07-18
-
离太阳最近的十大恒星排名,宇宙最大十大星球 04-12
精选文章
- 创生之柱是什么?(创生之柱给予了许多恒星生命)
- 中国51区秘密基地,窃密必被抓(抓住就杀头)
- 中国“天宫”空间站将在2022年前后建成 呈T字型有三个舱段最多可驻留6人 ...
- 新冠病患康复后,可能“精子减少或无精”
- 中国古代四大凶兽,四大神兽vs四大凶兽谁更强
- 2025年宇宙探索大爆发!月全食、火星冲日等,这些天文奇观别错过
- 黑龙江50万年死火山苏醒, 内含15%电量的巨大岩浆囊
- 误会一辈子!破伤风其实是一种细菌跟生锈铁完全没关系
- 美国同步空间态势感知项目(GSSAP)军事间谍卫星多次秘密靠近俄罗斯和中国的航天器 ...
- 中国长征五号B遥一运载火箭全貌曝光 本月底在海南文昌航天发射场进行首次发射 ...
