光速达到30万公里每秒,如此快速飞行的动力是什么?
如果要问宇宙中有什么是绝对的?那么,在物理学当中,有一个东西是绝对的,那就是光在真空中的速度近似等于30万公里/秒。那光为什么会这样拥有这样的速度?它的动力到底是什么呢?

其实,答案很简单,光不需要动力,基本粒子天生就拥有光速,而光没有静止质量,它没有被希格斯场所减速,而其他基本粒子因为拥有静止质量,因此被希格斯场所减速,所以达不到光速。那具体是咋回事呢?
质能等价
在物理学界,即便是物理学的发展得到了前所未有的推荐。在一些基本的概念上,科学家们依然推荐得很痛苦,比如:质量,能量和光速。伽利略曾经就挑战过光速,而且他仅仅是尝试去测光速,却只能以失败而告终。

到了20世纪,有一个物理学界的天纵奇才出现了,他就是爱因斯坦。在他1905年发表了四篇极具开创性的论文,其中就包括大名鼎鼎的狭义相对论。除了狭义相对论,在当年最晚发表的一篇名为《质能等价》的论文是补充狭义相对论的。

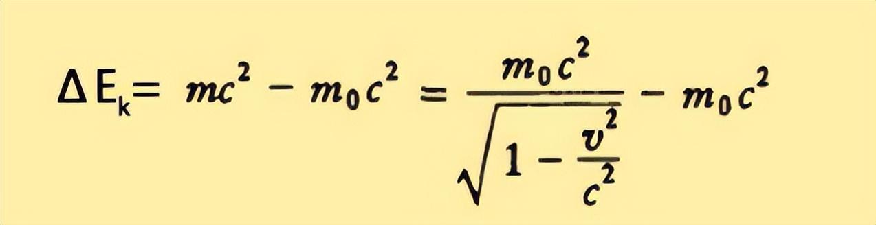
在这篇论文当中,爱因斯坦提出了一个大名鼎鼎的质能方程E=mc^2,这个方程是爱因斯坦用来描述质量和能量的关系的,其中就用到c^2,也就是光速的平方。

这个方程描述了一个等价关系,假设有个物体的质量是m,那它所拥有的能量E就是mc^2。在推导质能方程的过程中,爱因斯坦论述了信息、物质、能量的极限速度是无法超越光速。如果要达到光速,那么静止质量只有等于0时。

后来科学家们发现,爱因斯坦这篇文章存在着循环论证的问题。不过,在几位物理学家和数学家的共同努力下,也最终拿出了十分严谨的证明。可能你要问了,凭什么信息、物质、能量的速度不能超过光速?
爱因斯坦当年只是用光速不变原理推导得到这个结果,但更深层次的原因并没有给出解释。不仅如此,实际上爱因斯坦也没有解释到底什么是质量?不过,后来有一批物理学家一并解决了这2个问题。那具体是咋回事呢?
希格斯场
科学家实际上是基于原子结构的研究从而解决这个问题的。我们都知道,原子都是由原子核和电子构成的。电子无法再分,而原子核还可以继续分为质子和中子。其中质子是带正电,中子是不带电的。可是你想过没有,原子核内有那么多质子, 不应该因为同种电荷相排斥而被弹开吗?
其次,科学家还通过轰击质子和中子的实验发现,质子和中子也应该还可以再分更小的粒子。这种粒子后来被称为夸克。

除此之外,原子核还存在着衰变的现象,比如:β衰变,一个中子衰变成一个质子、一个电子和一个中微子。

基于这些现象,科学家提出,在宇宙中存在着四种基本作用力,分别是强相互作用,弱相互作用,电磁相互作用和引力。其中,强相互作用把夸克束缚在质子当中,也把质子束缚在原子核当中,因此它们的强度要大于电磁力,衰变则是由弱相互作用引起的。

科学家利用一套叫做规范场的理论,试图把四大相互作用统一起来,他们几乎完成了强相互作用、弱相互作用和电磁相互作用的统一。但是有一些科学家就发现了一个问题,这其实就是质量问题。根据这套理论,物质的质量到底从哪里来呢?
科学家发现,物质99%的质量来自于强相互作用把夸克束缚在质子和中子当中的能量,我们可以通过上文提到的质能等价计算得到。至于剩余的1%的质量则是来自于各种基本粒子的。这听起来其实很完美有没有?
可问题就出在,在规范场当中,夸克和电子这类基本粒子是不应该有质量的。其次,相互作用在规范场论当中可以看成是把某种粒子扔来扔去的结果,比如:强相互作用就是把胶子扔来扔去;而弱相互作用就是把W玻色子和Z玻色子扔来扔去;电磁力就是把光子扔来扔去。胶子和光子明明是没有质量的,可W玻色子和Z玻色子却有质量,这很是奇怪。

后来,为了解决这个问题,科学家不得不提出另外一个假设来给规范场论做补充。他们提出了希格斯机制,他们认为宇宙中遍布着一种场叫做希格斯场,当粒子通过时,希格斯场会和粒子发生作用,会导致粒子减速并获得质量。物质剩余的1%的质量就是希格斯场赋予的。

但是并不是所有的粒子都会和希格斯场发生作用,如果粒子的静止质量是0,那么它就不会和希格斯场发生作用,那它的速度就应该是光速。光子的静止质量是0,所以它没有被希格斯场减速,所以它的传播速度是光速。
大家都在看
-
从量子科技到元宇宙的崭新探索:中国科技为何引起全球瞩目? 合肥的实验室中,当光量子芯片在-271℃的超低温环境下闪烁着神秘的幽蓝光芒,显示着我国在前沿科技领域的前沿探索;在深圳,柔性屏幕薄如蝉翼,如同丝绸般可卷曲,展现了我国在新材料领域的创新实力;而在上海的生物 ... 宇宙探索03-23
-
显微镜下的奇妙世界:探索微观宇宙的无限奥秘 在我们的日常生活中,眼睛所能看到的世界仅仅是浩瀚宇宙的冰山一角。无数精妙的细节与宏大的结构,往往隐藏在肉眼无法触及的微观尺度之下,静默地运转着。而显微镜的发明,宛如一把神奇的钥匙,为我们打开了一扇通往 ... 宇宙探索03-23
-
《宇宙探索编辑部》追了半生宇宙,才懂平凡人间,才是终极答案 作为看遍各类科幻与现实题材的影评人,很少有一部电影能像《宇宙探索编辑部》这样,没有炫酷特效,没有惊天反转,却用最笨拙、最赤诚的理想主义,戳中无数人心里最软的地方。我们都曾像主角唐志军一样,抱着一份不被 ... 宇宙探索03-22
-
一个国家插入另一个国家? 一个国家插入另一个国家腹地会有什么影响?就像位于西非的冈比亚和塞内加尔。冈比亚占据冈比亚河下游两岸的狭长地带,犹如一把匕首插入塞内加尔中。冈比亚河是西非唯一通航海船的河流,由于冈比亚控制了主航道,内陆 ... 宇宙探索03-22
-
探索微观宇宙,见证科技奇迹!🔍🔬✨ 在这个由精密齿轮构成的微观宇宙里,每个细节都决定着系统的命运。一个微小的错位就能让整个系统陷入停滞,这就是系统的脆弱性,对细节的敏感度超乎想象。而点滴的校准是引导能量流向的关键。当细节被精准把控,能量 ... 宇宙探索03-22
-
第十九章:万灵共振,探索宇宙的奥秘,见证生命的奇迹!🚀✨ 唤醒生机之种的过程成了全银河生灵的共同使命。联盟向所有星球发出号召,用最纯粹的希望与勇气向枯寂星传递意念这两种情感。在法则层面恰是光的存续与暗的革新最鲜活的体现。·一、时间新银河的每一颗星球上,无论是 ... 宇宙探索03-21
-
探索宇宙的奥秘,揭开宇宙的神秘面纱!🔍🔬 宇宙究竟是平坦的还是弯曲的?这个问题让无数科学家和天文迷争论不休,真相究竟是什么?宇宙是否平坦一直是天文学界的一个热门话题。根据广义相对论,如果宇宙是平坦的,那么光线在宇宙中就能直线传播,不会发生弯曲 ... 宇宙探索03-19
-
太空探索:人类如何一步步走出地球,开启宇宙之旅 说起太空探索,很多人脑海里浮现的可能是宇航员穿着厚厚的宇航服,驾驶飞船飞向月球或者火星的画面。但其实,太空探索的故事远比这些画面更精彩、更复杂,也更充满了人类的智慧和勇气。今天咱们就来聊聊,这场人类走 ... 宇宙探索03-18
-
探索宇宙的奥秘,从大爆炸到黑洞,带你走进神秘的星空世界! 先说大爆炸吧。想象一下,138亿年前,整个宇宙其实是一个极其炽热、密度超高的“火球”,比太阳还要热千万倍,空间几乎没有。突然,这个“火球”开始疯狂膨胀,速度快得难以想象,这就是大爆炸。别误会,这不是普通 ... 宇宙探索03-18
-
探索宇宙奥秘:地球的起源与生成之旅🌍✨ 地球的起源与生成过程。耄耋视频。远古时期宇宙的起源和地球的生成是一个宏大且复杂的过程,涵盖了从宇宙大爆炸到地球形成的漫长演变历程。以下是对浩瀚宇宙、地球起源与生成过程的简要概述。宇宙的起源与浩瀚宇宙。 ... 宇宙探索03-16
相关文章
- 探索宇宙的奥秘,从大爆炸到黑洞,带你走进神秘的星空世界!
- 探索宇宙奥秘:地球的起源与生成之旅🌍✨
- 探索未知宇宙苍穹
- 北京天文馆“宇宙探索营”开启\中国人民抗日战争纪念馆卢沟桥抗战半景画全新升级……本周最新博物馆资讯点击——
- 从《宇宙探索编辑部》到《坠落的审判》,他用60余张海报设计解码光影背后的“无序公式”
- 科学家追踪引力波,结果发现更离谱的宇宙事件
- 以光速的20%飞行:科学家展示“实用”光帆探索宇宙
- 看不见的宇宙:暗物质与暗能量的证据、理论与探索
- 美国太空部队:要有攻击中国卫星能力,探索部署攻击性轨道航天器
- “大航天时代”会加速人类探索宇宙的进程吗
- 三种“超光速”现象,告诉你宇宙远比想象疯狂
- 微积分:探索宇宙无限奥秘的钥匙
- 探索月相奥秘,揭示宇宙的奇妙!🌙✨
- 宇宙或许不是无限的,它的总质量已经被推算出来
- 探索宇宙的奇迹,太空站俯瞰地球!🌍✨
- 宇宙探索:人类的火星梦想与深空探测
- 从水火土到夸克 2500年物质探索 重塑宇宙认知
- 暗物质捕手+天文AI,中国科学家把宇宙探索“卷”出新高度
- 航天科技究竟是什么?它为什么能让我们仰望星空,探索宇宙奥秘?
- 未来宇宙探索:与外星文明首次接触,是友是敌?
热门阅读
-
预言2030年太阳将休眠,恐怖的千年极寒将来临 07-11
-
中国十大元帅之死,多高寿而善终(林彪叛逃而死) 07-11
-
因果报应真实事例,做尽坏事必遭天谴 07-11
-
这6个神奇天体有很酷的名字 06-01
-
全球人口减少可能带来的六大教训和好处 07-18
-
离太阳最近的十大恒星排名,宇宙最大十大星球 04-12
精选文章
- 创生之柱是什么?(创生之柱给予了许多恒星生命)
- 中国51区秘密基地,窃密必被抓(抓住就杀头)
- 中国“天宫”空间站将在2022年前后建成 呈T字型有三个舱段最多可驻留6人 ...
- 新冠病患康复后,可能“精子减少或无精”
- 中国古代四大凶兽,四大神兽vs四大凶兽谁更强
- 2025年宇宙探索大爆发!月全食、火星冲日等,这些天文奇观别错过
- 黑龙江50万年死火山苏醒, 内含15%电量的巨大岩浆囊
- 误会一辈子!破伤风其实是一种细菌跟生锈铁完全没关系
- 美国同步空间态势感知项目(GSSAP)军事间谍卫星多次秘密靠近俄罗斯和中国的航天器 ...
- 中国长征五号B遥一运载火箭全貌曝光 本月底在海南文昌航天发射场进行首次发射 ...
