宇宙为何要限制光速?背后的玄机又是什么?
比如限制光速中的“光速”指的只是“光”的速度,还是指这个特定的速度值(大约30万千米/秒)?
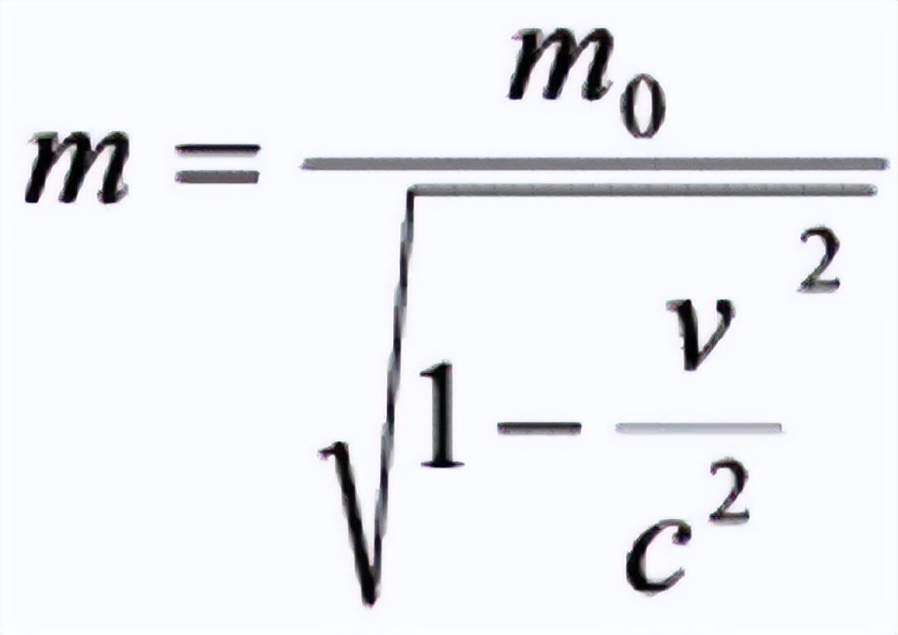
宇宙如果只是限制了“光”的速度,并没有限制别的速度,那么按照逻辑推理,别的东西的速度显然可以超过光的速度,可以达到40万千米/秒、30亿千米/秒……。但狭义相对论的质量效应公式指出:任何静质量不为0的物体的运动速度是不可能达到光在真空中的速度大小的,即299792458米/秒。

(其中m为物体的质量,m0为物体的静质量,V为物体的运动速度,C为光速。从式中可以看出,当V→C时,分母根式→0,则m→+∞。而物体质量趋向于无穷大,会使物体运动速度难以增大到光速C,因为这需要无穷大的能量才能推动,而这是不可能的。要知道宇宙如果是有限的,那么全宇宙的能量也是有限的。因而宇宙以此来阻止物体的运动速度达到光速。

由此可见,似乎“限制光速”指的是任何东西的速度不能超过299792458米/秒这个速度值的意思,而非单指“光”的传播速度,因为尽管光在真空中一直是以299792458米/秒这个速度传播的,但在别的介质中的传播速度是小于这个值的。
但反过来讲,任何东西的速度不能超过甚至达到这个值,唯独光可以达到这个速度,并且这个速度对于光来说是不变的。

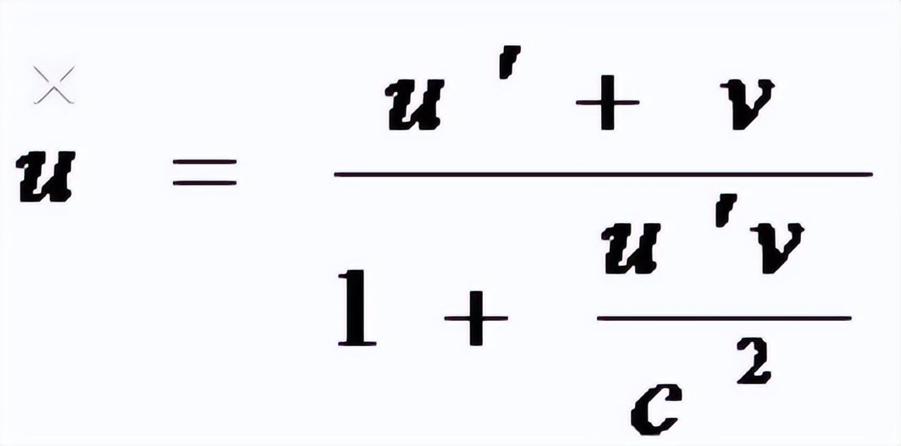
换句话说,任何东西永远追不上光,任何东西的相对速度达不到光速,即使两个物体各以大于一半光速相向运动,它们的相互速度,按照伽利略速度叠加原理明明大于光速,可实际情况却并非如此,按照狭义相对论速度叠加原理可知,它们的相互速度是小于光速的。

(当u′>C/2,Ⅴ>C/2时,u<C)
由此可见,似乎限制的仍然是“光”的速度。那到底是怎样的?
下面我们正式回答一下标题的疑问,我觉得可以换个角度来看这个问题:
应该说宇宙并没有限制光速。实际情况是,光速是宇宙时空的界限,是宇宙物质脱离以时间与空间方式存在的界限。只要达到了光速,物质就可以别的方式存在(以别的方式存在不违反任何法则)。可见是光速限制了宇宙,而不是相反。
光速(这里指的是真空中的光速,即大小为299792458米/秒)看起来虽然是个常数,但它是一个对于任何参考系的“不变常数”,这就给光速赋予了耐人寻味的涵义。因为参考系之间存在相对运动,而光速大小对于每一个参考系却都是一样的。我们知道速度(包括光的速度)就是距离(空间)和时间的比值。光速不变,即这个比值不变。这反映了时空中存在特定不变的东西,应该说光速不变就是时空性质的反映。而每一个参考系就对应着一个时空,因此光速对于任意参考系也就确定不变。

往深了理解,光速也不是宇宙的速度限制
不变的不是快慢大小,而是与时空的关系。因此严格说起来,光速也不是宇宙的速度限制。假如有一个相对地球以接近光速(比如为光速的90%)运动的物体甲,如果在这个甲物体相同运动方向上还存在一个相对于甲物体以接近光速(比如也为光速的90%)的乙物体,按照上面相对论速度叠加原理,乙物体相对于地球的速度仍然小于光速C的(根据前面的公式算出具体大小为180C/181),而不是1.8C。
这个乙物体相对地球的速度显然比甲物体相对地球的速度(0.9C)要大,虽然从数字上看大不了多少,但如果从“绝对时空观”的角度看,我们都知道乙物体的速度“大小”早“超”光速了。可是宇宙时空并不是绝对的,乙物体相对于地球的速度小于光速是真实有效的,这就是时空的相对性,这个相对性可以看作是一种限制。但另一方面,在乙物体运动方向上光的运动速度相对于乙物体来讲,仍然是光速C(当然在任何方向上,光对于乙物体都是光速C)。这个意思就是,任何物体的速度不论多快,哪怕觉得是几亿倍C了(尽管是不可能的,即使把上面所说的思想实验也算上),也永远追不上光。

因此从这个意义上说,光速一点也不小,它实质上并没有限制宇宙速度。
关于多重宇宙与光速的关系问题
关于这个问题,我的理解是压根不存在多重宇宙,即平行宇宙。不过也许存在更高维的宇宙,有关这方面的讨论我在有关文章中有详述,这里不再讨论。而光速应该是脱离本维度宇宙时空的界限,可以进入更高维度或根本不以时空方式存在的宇宙。
大家都在看
-
探索宇宙秘境:我国正式启动地外生命探寻工程 探索宇宙秘境:我国正式启动地外生命探寻工程2024年10月,我国发布《国家空间科学中长期发展规划(2024—2050年)》,明确将“地外生命探寻”列为核心任务,正式开启迈向宇宙深处、寻找生命踪迹的科学征程 。这是我 ... 宇宙探索04-30
-
4.2万亿个粒子构建数字虚拟宇宙 “千衍”助力天文探索 今天(23日),中国科学院国家天文台发布宇宙学模拟项目“千衍”。由中国科学家领衔的国际团队成功在超级计算机中构建出一个数字虚拟宇宙,为人类探索宇宙奥秘、研究宇宙的演化历史提供了强大的数字工具。中国科学家 ... 宇宙探索04-25
-
探索宇宙的意义和价值是什么 从科学认知的角度看,宇宙探索正以前所未有的深度,挑战并重塑着人类对自身在宇宙中位置的认知。最具标志性的发现,来自詹姆斯·韦布空间望远镜。它在距离地球124光年的系外行星K2-18b大气中,以99.7% 的统计置信度 ... 宇宙探索04-25
-
抬头!看!中国人探索宇宙的脚步从未停止! 从东方红一号到中国载人飞船系统中国火星探测任务中国载人探月工程……中国人探索宇宙的脚步从未停止!我们曾畅想的,正在由我们书写我们曾仰望的,正在被我们抵达中国航天的每一步都值得我们骄傲!今天是中国航天日 ... 宇宙探索04-25
-
从"太空竞赛"到"精打细算"!冷战之后为何不再疯狂探索宇宙? 导语: 上世纪六七十年代,美苏两国像打了鸡血一样往天上扔火箭,火星、金星、月球被轮番"打卡"。可如今呢?NASA的预算一缩再缩,人类登月计划一拖再拖。太空探索怎么就"熄火"了?一、冷战没了, ... 宇宙探索04-23
-
东西方智慧终极交汇:熵即是阴阳,坤0为首探索宇宙本源 《结构互鉴,文明共生》系列第十二此文为四月系列收官篇,全篇以东西方文明对话为纲,从热力学熵的本源出发,贯通信息、生命、演化、宇宙法则四大维度,把西方现代科学的严密数理,与中华《易经》的阴阳大道熔于一炉 ... 宇宙探索04-23
-
美UFO纪录片导演:当下正处于探索外星文明转折点,“宇宙中人类并不孤单” “真相终将浮出水面,人类并非宇宙中唯一存在的智慧生命。”美国“不明飞行物”(UFO)纪录片《揭秘时代》(The Age of Disclosure)的导演兼制片人丹·法拉赫日前在接受采访时指出,在探索外星生命领域,世界正处于 ... 宇宙探索04-21
-
宇宙探索·中子星:宇宙最极端的天体 宇宙探索中子星:宇宙最极端的天体如果你觉得地球上最坚硬的钻石或者最炽热的熔岩已经算是极端,那么宇宙里有一种天体会让所有地球上的"极端"相形见绌——它就是中子星。一颗质量比太阳更大的恒星,在生命终 ... 宇宙探索04-21
-
男人独自探索宇宙竟碰到了巨大的外星生物 就在半小时前,男人驾驶着飞船降落在这颗冰雪覆盖的星球,放眼看去完全就是一片白雪皑皑,零下两百度的气温更是让他举步维艰。但让他心情澎湃的是,他发现这里氧气非常充足。在确定基本生存条件达标之后,还有更加重 ... 宇宙探索04-17
-
人类探索宇宙的意义何在 从科学家的望远镜,到工程师的实验室,再到国家战略的蓝图,人类探索宇宙的意义,远不止于仰望星空。它是一场由好奇心驱动、被技术赋能、为未来布局的系统性远征。要看清其全貌,我们需要跳出单一视角,从科学、技术 ... 宇宙探索04-13
相关文章
- 人类探索宇宙的意义何在
- 数据时代正在重新定义科研:本科生如何借助工具发现宇宙新事物?
- 人类为什么要探索宇宙
- 《宇宙探索编辑部》:科幻外壳下的教育隐喻
- 航天科技如何推动人类探索宇宙
- 全球首个地月太空港口落地中国!钱学森百年构想,成深空探索枢纽
- 别再说太空探索是烧钱!中国这波基建,直接把宇宙当工地
- 沉浸在书中的宇宙,探索无尽的星空!📖✨
- 中国第二阶梯
- 刘慈欣科幻漫画宇宙探索中心本周六开放,早鸟票已开售
- 刘慈欣科幻漫画宇宙探索中心落户通州,本周六迎客
- 提前探访,先睹为快!刘慈欣科幻漫画宇宙探索中心落户通州
- 太棒了!刘慈欣科幻漫画宇宙探索中心落户北京通州!周六迎客
- 刘慈欣科幻漫画宇宙探索中心本周通州迎客!
- 为何天上有颗“深圳星”?深圳科技馆馆长跟你聊宇宙探索、讲科学故事
- 从量子科技到元宇宙的崭新探索:中国科技为何引起全球瞩目?
- 显微镜下的奇妙世界:探索微观宇宙的无限奥秘
- 《宇宙探索编辑部》追了半生宇宙,才懂平凡人间,才是终极答案
- 一个国家插入另一个国家?
- 探索微观宇宙,见证科技奇迹!🔍🔬✨
热门阅读
-
预言2030年太阳将休眠,恐怖的千年极寒将来临 07-11
-
中国十大元帅之死,多高寿而善终(林彪叛逃而死) 07-11
-
因果报应真实事例,做尽坏事必遭天谴 07-11
-
这6个神奇天体有很酷的名字 06-01
-
全球人口减少可能带来的六大教训和好处 07-18
-
离太阳最近的十大恒星排名,宇宙最大十大星球 04-12
精选文章
- 创生之柱是什么?(创生之柱给予了许多恒星生命)
- 中国51区秘密基地,窃密必被抓(抓住就杀头)
- 中国“天宫”空间站将在2022年前后建成 呈T字型有三个舱段最多可驻留6人 ...
- 2025年宇宙探索大爆发!月全食、火星冲日等,这些天文奇观别错过
- 中国古代四大凶兽,四大神兽vs四大凶兽谁更强
- 黑龙江50万年死火山苏醒, 内含15%电量的巨大岩浆囊
- 新冠病患康复后,可能“精子减少或无精”
- 误会一辈子!破伤风其实是一种细菌跟生锈铁完全没关系
- 美国同步空间态势感知项目(GSSAP)军事间谍卫星多次秘密靠近俄罗斯和中国的航天器 ...
- 中国长征五号B遥一运载火箭全貌曝光 本月底在海南文昌航天发射场进行首次发射 ...
