当无限接近光速时,无论多远的距离都可以瞬间到达,真的如此吗?
当人无限趋近于光速时,一触即达是可以实现的,不过人的运动速度是无法到达光速的。
自从爱因斯坦的《狭义相对论》出现之后,人类对于时间有了新的理解——我的时间并非是你的时间,即时间是相对的。时间的相对性跟观察对象的运动的速度有关。当有足够的能量使人无限接近于光速时,人就具有无限接近于光的属性,即时间凝固。(人能否成承受这里不考虑)先简单说一下再证明。
在我们看来太阳发出的一束光需要8分20秒才能到达地球,其实对于光来说仅仅只是一瞬间的事情。因为你所看到光到达地球,手表上指针走过的8分多钟,只是代表了你个人的时间流过了8分多钟,而光的“表”是不会走“字”的,并不是它的表坏了,而是它的一直处于凝固状态,或者说光的速度就是时空的标尺。如果人也拥有光的属性,那么对于人来说同样没有时间上的概念。在爱因斯坦的理念中,时间空间本为一体,所以就可以在一瞬间到达宇宙的任意一个角落。

下面我会从两方面入手,说一下“时间膨胀”是如何产生的:
(1)勾股定理证明速度时间膨胀效应。
(2)量子力学——被无视的光子
证明:光是如何做到的?
要说到有实验证据为依据,就要从1887年迈克尔逊-莫雷实验说起。这个实验很好理解,这两人弄了一个光的干涉仪(下图)。

(如下图所示)当一束光从光源射出之后,通过分光镜会分出另外一束垂直于原来方向的光,当垂直的光接触到镜面就会反射改为垂直向下。原来方向上的光,同样会接触到右侧镜面,反射之后返回时会经过分光镜,改变方向垂直向下。

因为同为光速,在仪器静止的时候路程也相等,所以这两束光会同时到达下端的干涉屏上,即图左。当仪器相对运动时,例如向右移动(上图右),在伽利略的相对性原理下,水平的光会产生速度的叠减:V(减少的蓝光) = u(原蓝光) - v(仪器移动速度),即蓝光的相对速度慢了,或者可以肉眼观察,仪器向右移动,蓝光的路程长了,所以蓝色光会晚到达。
然而在宇宙中并不存在绝对静止的情况,世界万物一直在动,如果万物不动,万物中的分子原子电子也在动,并且承载万物的星球也在轨道上移动,就像地球围着太阳动,所以这个实验的结果,应该是图右:不同时到达。然而实验结果却惊呆了众人,两束光同时达到,屏幕上没有形成干涉条纹(下图为结果)。

这个实验说明了光速并不会遵守伽利略的相对性原理,不会产生速度叠加或叠减。用一句话来总结就是:逆风的光不会更快,顺风的光也不会更慢,光速不变原理。
因此如果一艘飞船向右行驶,光在船中运动也不会产生向右的叠加速度。看下图,当光在飞船内由下到上,在飞船内的人看来它是直上直下的,而在飞船外的人看来光走的轨迹是斜线。

在一个三角形中,斜边与直角边,斜边更长。同样一个光子在飞船上的人看来,飞船的时间t(船)=s(直角边短)/c,在外人看来,地球上的钟表 t(地球)=s(斜边长)/c,因为光速c不变相同,所以可以判断出:
t(地球) > t(船),可见同一件事,在两个人看来发生的时间不一样,即两个人的时间流速不同。

我们把飞船运行的轨迹、光在飞船上的人眼里走过的轨迹、光在地球上人眼里走过的轨迹连成线,可以得到一个三角形,并由勾股定理得到地球上的时间与飞船的时间关系(很简单有兴趣可以自己算一下):

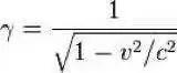
而两个时间的比值(t/t')则为下图部分,这部分叫做洛伦兹因子,因为是荷兰物理学家洛伦兹最先发表的。

也可以叫做修正因子,在相对论中除了时间的是不等的,质量、尺寸、速度都是相对的(如下图)。在质增效应中,可以发现v必须小于c,除非m0等于零,即静质量为0,速度才可以等于光速。然而人是有质量的,所以人无法达到光速(这个问题量子力学会重点说)。

可以说修正因子是体现高速运动物体,物理性质发生改变的问题,修正因子的曲线如下图所示。

由图可知,当物体运动速度无限趋近于光速时,而两个地方时间的比值(t/t')也趋近于无穷大,所以当飞船的速度无限趋近于光速,则t'(t船)无穷小,时间无限小则为无限接近时间凝固,拥有了光子的属性,无论哪里一触即达。
例如:当t=190亿光年时,地球上的人认为即使是光速需要花190亿年才能到达的地方,对于飞船来说,t'无限小,为无穷小的时间,也就是一瞬间到达。
量子力学证明
在爱因斯坦的《广义相对论》中,描述了质量可以使时空弯曲,产生了引力场,而光走的是类光测地线,也会跟随弯曲,所以引力弯曲的时空时间流速也会改变。(这里不赘述了)

在宇宙各处中存在一种场,叫做希格斯场,2012年科学家通过实验发现了希格斯玻色子的存在,于是确认了这种场的存在,希格斯玻色子也叫做质量之源,因为它赋予了基本粒子的质量。

正常来说基本粒子是没有质量的,而当它们在希格斯场中运动时,与场产生了相互作用,具备了一定的势能,于是粒子便有了质量。

有一种粒子除外,就是光子。光子不与希格斯场发生作用,所以光子的静质量为0,因此除了引力,它也不会受任何有质量的物体的影响。

同理,一个物质想要一触即达,也要免疫空间中的希格斯场的束缚。而人是由原子构成的,原子又是由原子核电子构成的,电子核又是由质子和中子构成的,质子中子又是由夸克构成的,夸克本身的质量又是在希格斯场中获得的势能,所以人无法到达光速,因为组成人的粒子一定受到束缚,想不受束缚除非不是人,改由光子构成。

当物体拥有巨大的能量来抵抗自身粒子受到的各种场的束缚,就可以无限趋近于光速,便可瞬息移动、一触即达,但是会不会“散架”就不好说了。
大家都在看
-
4.2万亿个粒子构建数字虚拟宇宙 “千衍”助力天文探索 今天(23日),中国科学院国家天文台发布宇宙学模拟项目“千衍”。由中国科学家领衔的国际团队成功在超级计算机中构建出一个数字虚拟宇宙,为人类探索宇宙奥秘、研究宇宙的演化历史提供了强大的数字工具。中国科学家 ... 宇宙探索04-25
-
探索宇宙的意义和价值是什么 从科学认知的角度看,宇宙探索正以前所未有的深度,挑战并重塑着人类对自身在宇宙中位置的认知。最具标志性的发现,来自詹姆斯·韦布空间望远镜。它在距离地球124光年的系外行星K2-18b大气中,以99.7% 的统计置信度 ... 宇宙探索04-25
-
抬头!看!中国人探索宇宙的脚步从未停止! 从东方红一号到中国载人飞船系统中国火星探测任务中国载人探月工程……中国人探索宇宙的脚步从未停止!我们曾畅想的,正在由我们书写我们曾仰望的,正在被我们抵达中国航天的每一步都值得我们骄傲!今天是中国航天日 ... 宇宙探索04-25
-
从"太空竞赛"到"精打细算"!冷战之后为何不再疯狂探索宇宙? 导语: 上世纪六七十年代,美苏两国像打了鸡血一样往天上扔火箭,火星、金星、月球被轮番"打卡"。可如今呢?NASA的预算一缩再缩,人类登月计划一拖再拖。太空探索怎么就"熄火"了?一、冷战没了, ... 宇宙探索04-23
-
东西方智慧终极交汇:熵即是阴阳,坤0为首探索宇宙本源 《结构互鉴,文明共生》系列第十二此文为四月系列收官篇,全篇以东西方文明对话为纲,从热力学熵的本源出发,贯通信息、生命、演化、宇宙法则四大维度,把西方现代科学的严密数理,与中华《易经》的阴阳大道熔于一炉 ... 宇宙探索04-23
-
美UFO纪录片导演:当下正处于探索外星文明转折点,“宇宙中人类并不孤单” “真相终将浮出水面,人类并非宇宙中唯一存在的智慧生命。”美国“不明飞行物”(UFO)纪录片《揭秘时代》(The Age of Disclosure)的导演兼制片人丹·法拉赫日前在接受采访时指出,在探索外星生命领域,世界正处于 ... 宇宙探索04-21
-
宇宙探索·中子星:宇宙最极端的天体 宇宙探索中子星:宇宙最极端的天体如果你觉得地球上最坚硬的钻石或者最炽热的熔岩已经算是极端,那么宇宙里有一种天体会让所有地球上的"极端"相形见绌——它就是中子星。一颗质量比太阳更大的恒星,在生命终 ... 宇宙探索04-21
-
男人独自探索宇宙竟碰到了巨大的外星生物 就在半小时前,男人驾驶着飞船降落在这颗冰雪覆盖的星球,放眼看去完全就是一片白雪皑皑,零下两百度的气温更是让他举步维艰。但让他心情澎湃的是,他发现这里氧气非常充足。在确定基本生存条件达标之后,还有更加重 ... 宇宙探索04-17
-
人类探索宇宙的意义何在 从科学家的望远镜,到工程师的实验室,再到国家战略的蓝图,人类探索宇宙的意义,远不止于仰望星空。它是一场由好奇心驱动、被技术赋能、为未来布局的系统性远征。要看清其全貌,我们需要跳出单一视角,从科学、技术 ... 宇宙探索04-13
-
数据时代正在重新定义科研:本科生如何借助工具发现宇宙新事物? 很多人还以为,科研是一件离普通人很远的事。要进实验室,要跟导师,要读很多年书。但最近发生的一件事,正在打破这个认知——有本科生,在一次课程作业中,发现了一颗来自宇宙早期的古老恒星。不是参与项目,不是帮 ... 宇宙探索04-09
相关文章
- 数据时代正在重新定义科研:本科生如何借助工具发现宇宙新事物?
- 人类为什么要探索宇宙
- 《宇宙探索编辑部》:科幻外壳下的教育隐喻
- 航天科技如何推动人类探索宇宙
- 全球首个地月太空港口落地中国!钱学森百年构想,成深空探索枢纽
- 别再说太空探索是烧钱!中国这波基建,直接把宇宙当工地
- 沉浸在书中的宇宙,探索无尽的星空!📖✨
- 中国第二阶梯
- 刘慈欣科幻漫画宇宙探索中心本周六开放,早鸟票已开售
- 刘慈欣科幻漫画宇宙探索中心落户通州,本周六迎客
- 提前探访,先睹为快!刘慈欣科幻漫画宇宙探索中心落户通州
- 太棒了!刘慈欣科幻漫画宇宙探索中心落户北京通州!周六迎客
- 刘慈欣科幻漫画宇宙探索中心本周通州迎客!
- 为何天上有颗“深圳星”?深圳科技馆馆长跟你聊宇宙探索、讲科学故事
- 从量子科技到元宇宙的崭新探索:中国科技为何引起全球瞩目?
- 显微镜下的奇妙世界:探索微观宇宙的无限奥秘
- 《宇宙探索编辑部》追了半生宇宙,才懂平凡人间,才是终极答案
- 一个国家插入另一个国家?
- 探索微观宇宙,见证科技奇迹!🔍🔬✨
- 第十九章:万灵共振,探索宇宙的奥秘,见证生命的奇迹!🚀✨
热门阅读
-
预言2030年太阳将休眠,恐怖的千年极寒将来临 07-11
-
中国十大元帅之死,多高寿而善终(林彪叛逃而死) 07-11
-
因果报应真实事例,做尽坏事必遭天谴 07-11
-
这6个神奇天体有很酷的名字 06-01
-
全球人口减少可能带来的六大教训和好处 07-18
-
离太阳最近的十大恒星排名,宇宙最大十大星球 04-12
精选文章
- 创生之柱是什么?(创生之柱给予了许多恒星生命)
- 中国51区秘密基地,窃密必被抓(抓住就杀头)
- 中国“天宫”空间站将在2022年前后建成 呈T字型有三个舱段最多可驻留6人 ...
- 2025年宇宙探索大爆发!月全食、火星冲日等,这些天文奇观别错过
- 中国古代四大凶兽,四大神兽vs四大凶兽谁更强
- 黑龙江50万年死火山苏醒, 内含15%电量的巨大岩浆囊
- 新冠病患康复后,可能“精子减少或无精”
- 误会一辈子!破伤风其实是一种细菌跟生锈铁完全没关系
- 美国同步空间态势感知项目(GSSAP)军事间谍卫星多次秘密靠近俄罗斯和中国的航天器 ...
- 中国长征五号B遥一运载火箭全貌曝光 本月底在海南文昌航天发射场进行首次发射 ...
