薛定谔方程与他的猫的来历(薛定谔方程灵感)
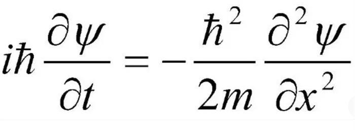
薛定谔方程和薛定谔的猫的来历来源于方程灵感。埃尔温·薛定谔是一位伟大的物理学家,同时又是量子力学的奠基人之一。他在研究中发现粒子有波动性后,得到灵感提出了一个波动方程,用方程描述亚原子粒子的运动,也被人们称之为薛定谔方程,利用方程解释了很多天文学家已经观测到的量子现象,并将这个方程引入到量子波是概率波的一种解释。

薛定谔为了能构建出一个波动方程,利用普通力学中物体能量和动量之间的关系,又带入到了德布罗意的粒子动量,以及波长和普朗克常量关系的一种数学法则,最终得出了波动方程,而薛定谔又将这个最新得出来的方程,印到了氢原子上。最终得出来的结果和检测结果相同。
方程的准确性得到验证之后,薛定谔又将这个新的方程,应用到了量子理论中的其他问题上,和最终的实验结果完全吻合,但薛定谔觉得这个新的方程,仍然是缺少了一些特定的东西。并且新的方程就连薛定谔本人,也不能完全理解其中的含义,而方程中其中一个波函数,就好比一个非常抽象的量,如果根据具体的物理参数,或者是能量推导出来,那这个波函数在方程中又代表了什么。

1926年德国物理学家马克斯.波恩,解答出了薛定谔的这个疑问,波函数在方程中究竟代表的是什么,要取决于电子粒子的位置。1927年针对波函数又有了新的解释-哥本哈根解释,但是很多物理学家却对这种解释存在质疑,认为这种理论在测量之前量子处于很多可能的状态。
而薛定谔本人对于哥本哈根解释也有着不同的见解,提出了一个新的思想,决定实验薛定谔的猫去证明哥本哈根解释并不合理,薛定谔假设一个黑箱子关着一只猫,而这只箱子里面又配备了一瓶毒药。假设毒药瓶子和放射源相连,这个箱子关闭的时候,放射源如果衰变释放出了辐射粒子,那么箱子中的锤子就会将毒药瓶敲碎释放出毒药。这只猫就会在箱子里面死掉。

如果假设不成立,箱子里的猫就会依然活着,因为放射性衰变是一个量子过程,因此在打箱子之前,放射源的状态决定于它的概率波函数,如果根据哥本哈根解释,放射源是处于衰变状态和不衰变状态之间,那么这只箱子里的猫就会处于一种既死又活的状态。
大家都在看
-
《宇宙探索编辑部》追了半生宇宙,才懂平凡人间,才是终极答案 作为看遍各类科幻与现实题材的影评人,很少有一部电影能像《宇宙探索编辑部》这样,没有炫酷特效,没有惊天反转,却用最笨拙、最赤诚的理想主义,戳中无数人心里最软的地方。我们都曾像主角唐志军一样,抱着一份不被 ... 宇宙探索03-22
-
一个国家插入另一个国家? 一个国家插入另一个国家腹地会有什么影响?就像位于西非的冈比亚和塞内加尔。冈比亚占据冈比亚河下游两岸的狭长地带,犹如一把匕首插入塞内加尔中。冈比亚河是西非唯一通航海船的河流,由于冈比亚控制了主航道,内陆 ... 宇宙探索03-22
-
探索微观宇宙,见证科技奇迹!🔍🔬✨ 在这个由精密齿轮构成的微观宇宙里,每个细节都决定着系统的命运。一个微小的错位就能让整个系统陷入停滞,这就是系统的脆弱性,对细节的敏感度超乎想象。而点滴的校准是引导能量流向的关键。当细节被精准把控,能量 ... 宇宙探索03-22
-
第十九章:万灵共振,探索宇宙的奥秘,见证生命的奇迹!🚀✨ 唤醒生机之种的过程成了全银河生灵的共同使命。联盟向所有星球发出号召,用最纯粹的希望与勇气向枯寂星传递意念这两种情感。在法则层面恰是光的存续与暗的革新最鲜活的体现。·一、时间新银河的每一颗星球上,无论是 ... 宇宙探索03-21
-
探索宇宙的奥秘,揭开宇宙的神秘面纱!🔍🔬 宇宙究竟是平坦的还是弯曲的?这个问题让无数科学家和天文迷争论不休,真相究竟是什么?宇宙是否平坦一直是天文学界的一个热门话题。根据广义相对论,如果宇宙是平坦的,那么光线在宇宙中就能直线传播,不会发生弯曲 ... 宇宙探索03-19
-
太空探索:人类如何一步步走出地球,开启宇宙之旅 说起太空探索,很多人脑海里浮现的可能是宇航员穿着厚厚的宇航服,驾驶飞船飞向月球或者火星的画面。但其实,太空探索的故事远比这些画面更精彩、更复杂,也更充满了人类的智慧和勇气。今天咱们就来聊聊,这场人类走 ... 宇宙探索03-18
-
探索宇宙的奥秘,从大爆炸到黑洞,带你走进神秘的星空世界! 先说大爆炸吧。想象一下,138亿年前,整个宇宙其实是一个极其炽热、密度超高的“火球”,比太阳还要热千万倍,空间几乎没有。突然,这个“火球”开始疯狂膨胀,速度快得难以想象,这就是大爆炸。别误会,这不是普通 ... 宇宙探索03-18
-
探索宇宙奥秘:地球的起源与生成之旅🌍✨ 地球的起源与生成过程。耄耋视频。远古时期宇宙的起源和地球的生成是一个宏大且复杂的过程,涵盖了从宇宙大爆炸到地球形成的漫长演变历程。以下是对浩瀚宇宙、地球起源与生成过程的简要概述。宇宙的起源与浩瀚宇宙。 ... 宇宙探索03-16
-
北京天文馆“宇宙探索营”开启\中国人民抗日战争纪念馆卢沟桥抗战半景画全新升级……本周最新博物馆资讯点击—— 春天来了,本市多家博物馆以丰富多彩的活动迎接2026年的到来。北京文博推出“1分钟博物馆”资讯栏目,在新年为您推介文博最新资讯,让我们一起走进2026年的博物馆之城吧!北京天文馆“宇宙探索营”今日启动 沉浸式探 ... 宇宙探索03-15
-
科学家追踪引力波,结果发现更离谱的宇宙事件 2019年,人类接收到了一段来自宇宙深处的“低语”。这不是光,也不是普通的电波,而是一种极其特殊的信号——引力波。如果把宇宙想象成一张巨大的橡皮膜,那么当黑洞、恒星这样的大质量天体剧烈运动时,就会在这张膜 ... 宇宙探索03-10
相关文章
- 探索宇宙奥秘:地球的起源与生成之旅🌍✨
- 探索未知宇宙苍穹
- 北京天文馆“宇宙探索营”开启\中国人民抗日战争纪念馆卢沟桥抗战半景画全新升级……本周最新博物馆资讯点击——
- 从《宇宙探索编辑部》到《坠落的审判》,他用60余张海报设计解码光影背后的“无序公式”
- 科学家追踪引力波,结果发现更离谱的宇宙事件
- 以光速的20%飞行:科学家展示“实用”光帆探索宇宙
- 看不见的宇宙:暗物质与暗能量的证据、理论与探索
- 美国太空部队:要有攻击中国卫星能力,探索部署攻击性轨道航天器
- “大航天时代”会加速人类探索宇宙的进程吗
- 三种“超光速”现象,告诉你宇宙远比想象疯狂
- 微积分:探索宇宙无限奥秘的钥匙
- 探索月相奥秘,揭示宇宙的奇妙!🌙✨
- 宇宙或许不是无限的,它的总质量已经被推算出来
- 探索宇宙的奇迹,太空站俯瞰地球!🌍✨
- 宇宙探索:人类的火星梦想与深空探测
- 从水火土到夸克 2500年物质探索 重塑宇宙认知
- 暗物质捕手+天文AI,中国科学家把宇宙探索“卷”出新高度
- 航天科技究竟是什么?它为什么能让我们仰望星空,探索宇宙奥秘?
- 未来宇宙探索:与外星文明首次接触,是友是敌?
- 宇宙“发动机”,探索未知的奥秘!🔭🌌
热门阅读
-
预言2030年太阳将休眠,恐怖的千年极寒将来临 07-11
-
中国十大元帅之死,多高寿而善终(林彪叛逃而死) 07-11
-
因果报应真实事例,做尽坏事必遭天谴 07-11
-
这6个神奇天体有很酷的名字 06-01
-
全球人口减少可能带来的六大教训和好处 07-18
-
离太阳最近的十大恒星排名,宇宙最大十大星球 04-12
精选文章
- 创生之柱是什么?(创生之柱给予了许多恒星生命)
- 中国51区秘密基地,窃密必被抓(抓住就杀头)
- 中国“天宫”空间站将在2022年前后建成 呈T字型有三个舱段最多可驻留6人 ...
- 新冠病患康复后,可能“精子减少或无精”
- 中国古代四大凶兽,四大神兽vs四大凶兽谁更强
- 2025年宇宙探索大爆发!月全食、火星冲日等,这些天文奇观别错过
- 黑龙江50万年死火山苏醒, 内含15%电量的巨大岩浆囊
- 误会一辈子!破伤风其实是一种细菌跟生锈铁完全没关系
- 美国同步空间态势感知项目(GSSAP)军事间谍卫星多次秘密靠近俄罗斯和中国的航天器 ...
- 中国长征五号B遥一运载火箭全貌曝光 本月底在海南文昌航天发射场进行首次发射 ...
