无限接近光速,无论多远的距离都可瞬间到达,哪怕是宇宙的边缘!
当人无限趋近于光速时,一触即达是可以实现的,不过人的运动速度是无法到达光速的。
自从爱因斯坦的《狭义相对论》出现之后,人类对于时间有了新的理解——我的时间并非是你的时间,即时间是相对的。时间的相对性跟观察对象的运动的速度有关。当有足够的能量使人无限接近于光速时,人就具有无限接近于光的属性,即时间凝固。(人能否成承受这里不考虑)先简单说一下再证明。
在我们看来太阳发出的一束光需要8分20秒才能到达地球,其实对于光来说仅仅只是一瞬间的事情。因为你所看到光到达地球,手表上指针走过的8分多钟,只是代表了你个人的时间流过了8分多钟,而光的“表”是不会走“字”的,并不是它的表坏了,而是它的一直处于凝固状态,或者说光的速度就是时空的标尺。如果人也拥有光的属性,那么对于人来说同样没有时间上的概念。在爱因斯坦的理念中,时间空间本为一体,所以就可以在一瞬间到达宇宙的任意一个角落。

下面我会从两方面入手,说一下“时间膨胀”是如何产生的:
(1)勾股定理证明速度时间膨胀效应。
(2)量子力学——被无视的光子
证明:光是如何做到的?
要说到有实验证据为依据,就要从1887年迈克尔逊-莫雷实验说起。这个实验很好理解,这两人弄了一个光的干涉仪(下图)。

(如下图所示)当一束光从光源射出之后,通过分光镜会分出另外一束垂直于原来方向的光,当垂直的光接触到镜面就会反射改为垂直向下。原来方向上的光,同样会接触到右侧镜面,反射之后返回时会经过分光镜,改变方向垂直向下。

因为同为光速,在仪器静止的时候路程也相等,所以这两束光会同时到达下端的干涉屏上,即图左。当仪器相对运动时,例如向右移动(上图右),在伽利略的相对性原理下,水平的光会产生速度的叠减:V(减少的蓝光) = u(原蓝光) - v(仪器移动速度),即蓝光的相对速度慢了,或者可以肉眼观察,仪器向右移动,蓝光的路程长了,所以蓝色光会晚到达。
然而在宇宙中并不存在绝对静止的情况,世界万物一直在动,如果万物不动,万物中的分子原子电子也在动,并且承载万物的星球也在轨道上移动,就像地球围着太阳动,所以这个实验的结果,应该是图右:不同时到达。然而实验结果却惊呆了众人,两束光同时达到,屏幕上没有形成干涉条纹(下图为结果)。

这个实验说明了光速并不会遵守伽利略的相对性原理,不会产生速度叠加或叠减。用一句话来总结就是:逆风的光不会更快,顺风的光也不会更慢,光速不变原理。
因此如果一艘飞船向右行驶,光在船中运动也不会产生向右的叠加速度。看下图,当光在飞船内由下到上,在飞船内的人看来它是直上直下的,而在飞船外的人看来光走的轨迹是斜线。

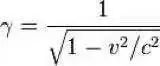
在一个三角形中,斜边与直角边,斜边更长。同样一个光子在飞船上的人看来,飞船的时间t(船)=s(直角边短)/c,在外人看来,地球上的钟表 t(地球)=s(斜边长)/c,因为光速c不变相同,所以可以判断出:
t(地球) > t(船),可见同一件事,在两个人看来发生的时间不一样,即两个人的时间流速不同。

我们把飞船运行的轨迹、光在飞船上的人眼里走过的轨迹、光在地球上人眼里走过的轨迹连成线,可以得到一个三角形,并由勾股定理得到地球上的时间与飞船的时间关系(很简单有兴趣可以自己算一下):

而两个时间的比值(t/t')则为下图部分,这部分叫做洛伦兹因子,因为是荷兰物理学家洛伦兹最先发表的。

也可以叫做修正因子,在相对论中除了时间的是不等的,质量、尺寸、速度都是相对的(如下图)。在质增效应中,可以发现v必须小于c,除非m0等于零,即静质量为0,速度才可以等于光速。然而人是有质量的,所以人无法达到光速(这个问题量子力学会重点说)。

可以说修正因子是体现高速运动物体,物理性质发生改变的问题,修正因子的曲线如下图所示。

由图可知,当物体运动速度无限趋近于光速时,而两个地方时间的比值(t/t')也趋近于无穷大,所以当飞船的速度无限趋近于光速,则t'(t船)无穷小,时间无限小则为无限接近时间凝固,拥有了光子的属性,无论哪里一触即达。
例如:当t=190亿光年时,地球上的人认为即使是光速需要花190亿年才能到达的地方,对于飞船来说,t'无限小,为无穷小的时间,也就是一瞬间到达。
量子力学证明
在爱因斯坦的《广义相对论》中,描述了质量可以使时空弯曲,产生了引力场,而光走的是类光测地线,也会跟随弯曲,所以引力弯曲的时空时间流速也会改变。(这里不赘述了)

在宇宙各处中存在一种场,叫做希格斯场,2012年科学家通过实验发现了希格斯玻色子的存在,于是确认了这种场的存在,希格斯玻色子也叫做质量之源,因为它赋予了基本粒子的质量。

正常来说基本粒子是没有质量的,而当它们在希格斯场中运动时,与场产生了相互作用,具备了一定的势能,于是粒子便有了质量。

有一种粒子除外,就是光子。光子不与希格斯场发生作用,所以光子的静质量为0,因此除了引力,它也不会受任何有质量的物体的影响。

同理,一个物质想要一触即达,也要免疫空间中的希格斯场的束缚。而人是由原子构成的,原子又是由原子核电子构成的,电子核又是由质子和中子构成的,质子中子又是由夸克构成的,夸克本身的质量又是在希格斯场中获得的势能,所以人无法到达光速,因为组成人的粒子一定受到束缚,想不受束缚除非不是人,改由光子构成。

当物体拥有巨大的能量来抵抗自身粒子受到的各种场的束缚,就可以无限趋近于光速,便可瞬息移动、一触即达,但是会不会“散架”就不好说了。
大家都在看
-
为何天上有颗“深圳星”?深圳科技馆馆长跟你聊宇宙探索、讲科学故事 开栏语星河浩瀚,藏着无尽奥秘。今起,本报推出“馆长唠科”专栏,由深圳科学技术馆馆长郑永春先生执笔,以天地为视野,聊宇宙探索,讲科学故事。首期,我们一同走近“深圳星”,看看这颗镌刻着鹏城名字的星星藏着哪 ... 宇宙探索03-24
-
从量子科技到元宇宙的崭新探索:中国科技为何引起全球瞩目? 合肥的实验室中,当光量子芯片在-271℃的超低温环境下闪烁着神秘的幽蓝光芒,显示着我国在前沿科技领域的前沿探索;在深圳,柔性屏幕薄如蝉翼,如同丝绸般可卷曲,展现了我国在新材料领域的创新实力;而在上海的生物 ... 宇宙探索03-23
-
显微镜下的奇妙世界:探索微观宇宙的无限奥秘 在我们的日常生活中,眼睛所能看到的世界仅仅是浩瀚宇宙的冰山一角。无数精妙的细节与宏大的结构,往往隐藏在肉眼无法触及的微观尺度之下,静默地运转着。而显微镜的发明,宛如一把神奇的钥匙,为我们打开了一扇通往 ... 宇宙探索03-23
-
《宇宙探索编辑部》追了半生宇宙,才懂平凡人间,才是终极答案 作为看遍各类科幻与现实题材的影评人,很少有一部电影能像《宇宙探索编辑部》这样,没有炫酷特效,没有惊天反转,却用最笨拙、最赤诚的理想主义,戳中无数人心里最软的地方。我们都曾像主角唐志军一样,抱着一份不被 ... 宇宙探索03-22
-
一个国家插入另一个国家? 一个国家插入另一个国家腹地会有什么影响?就像位于西非的冈比亚和塞内加尔。冈比亚占据冈比亚河下游两岸的狭长地带,犹如一把匕首插入塞内加尔中。冈比亚河是西非唯一通航海船的河流,由于冈比亚控制了主航道,内陆 ... 宇宙探索03-22
-
探索微观宇宙,见证科技奇迹!🔍🔬✨ 在这个由精密齿轮构成的微观宇宙里,每个细节都决定着系统的命运。一个微小的错位就能让整个系统陷入停滞,这就是系统的脆弱性,对细节的敏感度超乎想象。而点滴的校准是引导能量流向的关键。当细节被精准把控,能量 ... 宇宙探索03-22
-
第十九章:万灵共振,探索宇宙的奥秘,见证生命的奇迹!🚀✨ 唤醒生机之种的过程成了全银河生灵的共同使命。联盟向所有星球发出号召,用最纯粹的希望与勇气向枯寂星传递意念这两种情感。在法则层面恰是光的存续与暗的革新最鲜活的体现。·一、时间新银河的每一颗星球上,无论是 ... 宇宙探索03-21
-
探索宇宙的奥秘,揭开宇宙的神秘面纱!🔍🔬 宇宙究竟是平坦的还是弯曲的?这个问题让无数科学家和天文迷争论不休,真相究竟是什么?宇宙是否平坦一直是天文学界的一个热门话题。根据广义相对论,如果宇宙是平坦的,那么光线在宇宙中就能直线传播,不会发生弯曲 ... 宇宙探索03-19
-
太空探索:人类如何一步步走出地球,开启宇宙之旅 说起太空探索,很多人脑海里浮现的可能是宇航员穿着厚厚的宇航服,驾驶飞船飞向月球或者火星的画面。但其实,太空探索的故事远比这些画面更精彩、更复杂,也更充满了人类的智慧和勇气。今天咱们就来聊聊,这场人类走 ... 宇宙探索03-18
-
探索宇宙的奥秘,从大爆炸到黑洞,带你走进神秘的星空世界! 先说大爆炸吧。想象一下,138亿年前,整个宇宙其实是一个极其炽热、密度超高的“火球”,比太阳还要热千万倍,空间几乎没有。突然,这个“火球”开始疯狂膨胀,速度快得难以想象,这就是大爆炸。别误会,这不是普通 ... 宇宙探索03-18
相关文章
- 探索宇宙的奥秘,从大爆炸到黑洞,带你走进神秘的星空世界!
- 探索宇宙奥秘:地球的起源与生成之旅🌍✨
- 探索未知宇宙苍穹
- 北京天文馆“宇宙探索营”开启\中国人民抗日战争纪念馆卢沟桥抗战半景画全新升级……本周最新博物馆资讯点击——
- 从《宇宙探索编辑部》到《坠落的审判》,他用60余张海报设计解码光影背后的“无序公式”
- 科学家追踪引力波,结果发现更离谱的宇宙事件
- 以光速的20%飞行:科学家展示“实用”光帆探索宇宙
- 看不见的宇宙:暗物质与暗能量的证据、理论与探索
- 美国太空部队:要有攻击中国卫星能力,探索部署攻击性轨道航天器
- “大航天时代”会加速人类探索宇宙的进程吗
- 三种“超光速”现象,告诉你宇宙远比想象疯狂
- 微积分:探索宇宙无限奥秘的钥匙
- 探索月相奥秘,揭示宇宙的奇妙!🌙✨
- 宇宙或许不是无限的,它的总质量已经被推算出来
- 探索宇宙的奇迹,太空站俯瞰地球!🌍✨
- 宇宙探索:人类的火星梦想与深空探测
- 从水火土到夸克 2500年物质探索 重塑宇宙认知
- 暗物质捕手+天文AI,中国科学家把宇宙探索“卷”出新高度
- 航天科技究竟是什么?它为什么能让我们仰望星空,探索宇宙奥秘?
- 未来宇宙探索:与外星文明首次接触,是友是敌?
热门阅读
-
预言2030年太阳将休眠,恐怖的千年极寒将来临 07-11
-
中国十大元帅之死,多高寿而善终(林彪叛逃而死) 07-11
-
因果报应真实事例,做尽坏事必遭天谴 07-11
-
这6个神奇天体有很酷的名字 06-01
-
全球人口减少可能带来的六大教训和好处 07-18
-
离太阳最近的十大恒星排名,宇宙最大十大星球 04-12
精选文章
- 创生之柱是什么?(创生之柱给予了许多恒星生命)
- 中国51区秘密基地,窃密必被抓(抓住就杀头)
- 中国“天宫”空间站将在2022年前后建成 呈T字型有三个舱段最多可驻留6人 ...
- 新冠病患康复后,可能“精子减少或无精”
- 中国古代四大凶兽,四大神兽vs四大凶兽谁更强
- 2025年宇宙探索大爆发!月全食、火星冲日等,这些天文奇观别错过
- 黑龙江50万年死火山苏醒, 内含15%电量的巨大岩浆囊
- 误会一辈子!破伤风其实是一种细菌跟生锈铁完全没关系
- 美国同步空间态势感知项目(GSSAP)军事间谍卫星多次秘密靠近俄罗斯和中国的航天器 ...
- 中国长征五号B遥一运载火箭全貌曝光 本月底在海南文昌航天发射场进行首次发射 ...
