太阳能有多亮?探索爱丁顿极限背后的恒星奥秘
恒星的发光是由核聚变产生的,它们把轻元素(比如氢)变成重元素(比如氦),同时释放出大量的能量。这些能量以光和热的形式从恒星内部向外辐射,形成了我们看到的恒星光芒。

但是,恒星并不是一直平静地进行核聚变。它们还要面对一个很大的问题,那就是引力。恒星是由巨大的气体云团压缩而成的,所以它们有很强的引力。这个引力会让恒星内部的物质不断地向中心塌缩,使得恒星变得更小更密。如果没有什么东西来抵抗这个引力,那么恒星就会一直塌缩下去,直到变成一个黑洞。
那么,有什么东西可以抵抗引力呢?答案就是辐射压力。辐射压力是由光子对物质的作用力。你可以想象,当光子从恒星内部向外射出时,它们会撞到恒星表面的物质上,给它们一个向外的推力。这个推力就像一个气垫,可以阻止物质向内塌缩。当辐射压力和引力达到平衡时,恒星就可以保持稳定。
但是,并不是所有的恒星都能达到这种平衡。有些恒星太大太亮了,它们产生的辐射压力太强了,以至于超过了引力。这样一来,恒星表面的物质就会被辐射压力吹走,形成一股强烈的恒星风。这种情况下,恒星就不能保持稳定了,它会不断地失去质量和能量。

那么,有没有一个极限值,可以告诉我们一个恒星能有多大多亮呢?答案就是爱丁顿极限。爱丁顿极限是一个理论上计算出来的值,它表示了在球对称前提下天体的辐射压力不超过引力时的光度上限值。也就是说,如果一个天体的光度超过了爱丁顿极限,那么它就会被自己的辐射压力撕裂。
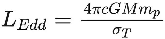
爱丁顿极限具体是多少呢?我们可以用一个公式来表示:

其中,G是万有引力常数,M是天体的质量,m_p 是质子的质量,c是光速,σ_T是电子的汤姆孙散射截面 。这些都是一些物理常数,你不用太在意它们的具体数值。你只要知道,这个公式告诉我们,爱丁顿极限和天体的质量成正比。也就是说,天体质量越大,它能发出的最大光度就越大。
那么,我们可以用这个公式来计算一下太阳的爱丁顿极限吗?答案是可以的。太阳的质量大约是2×10^30 千克,把它代入公式,我们可以得到:

它表示了太阳能发出的最大光度,也就是每秒钟能释放出的最大能量为1.3×10^31焦耳。为了方便比较,我们可以用太阳目前的光度来做一个参照。太阳目前的光度大约是3.8×10^26瓦特,这也就意味着,太阳现在每秒发出的能量只是它能发出的最大能量的千分之一左右。这说明太阳还很稳定,它不会被自己的辐射压力吹散。
那么,有没有什么天体会超过爱丁顿极限呢?答案是有的。如果一个恒星在核反应过程中增加了自己的亮度,并超过了自己的爱丁顿极限,那么它就会失去平衡,抛出大量的物质,形成恒星风。这样就会减小恒星的质量和亮度,使得它重新回到平衡状态,这种现象在一些变星中可以观察到。

在实际观测中,我们还可以看到一些超大质量恒星稳定存在。这些恒星的质量可以达到几百倍甚至上千倍太阳质量 ,这样一来,它们产生的核聚变能量就非常巨大,以至于超过了爱丁顿极限。这样的恒星是如何存在的,目前还没有一个完整的解释,可能有一些未知的因素能突破爱丁顿极限。
科学家猜测可能的原因有:恒星内部存在不同层次的对流区域,这些区域可以传递能量和物质,降低辐射压力;恒星表面存在强烈的磁场,这些磁场可以抵抗辐射压力;恒星周围存在伴星,它可以提供额外的引力来稳定恒星。总之,超过爱丁顿极限的恒星是天文学中一个有趣而复杂的问题,需要更多的观测和理论来探索。
大家都在看
-
为何天上有颗“深圳星”?深圳科技馆馆长跟你聊宇宙探索、讲科学故事 开栏语星河浩瀚,藏着无尽奥秘。今起,本报推出“馆长唠科”专栏,由深圳科学技术馆馆长郑永春先生执笔,以天地为视野,聊宇宙探索,讲科学故事。首期,我们一同走近“深圳星”,看看这颗镌刻着鹏城名字的星星藏着哪 ... 宇宙探索03-24
-
从量子科技到元宇宙的崭新探索:中国科技为何引起全球瞩目? 合肥的实验室中,当光量子芯片在-271℃的超低温环境下闪烁着神秘的幽蓝光芒,显示着我国在前沿科技领域的前沿探索;在深圳,柔性屏幕薄如蝉翼,如同丝绸般可卷曲,展现了我国在新材料领域的创新实力;而在上海的生物 ... 宇宙探索03-23
-
显微镜下的奇妙世界:探索微观宇宙的无限奥秘 在我们的日常生活中,眼睛所能看到的世界仅仅是浩瀚宇宙的冰山一角。无数精妙的细节与宏大的结构,往往隐藏在肉眼无法触及的微观尺度之下,静默地运转着。而显微镜的发明,宛如一把神奇的钥匙,为我们打开了一扇通往 ... 宇宙探索03-23
-
《宇宙探索编辑部》追了半生宇宙,才懂平凡人间,才是终极答案 作为看遍各类科幻与现实题材的影评人,很少有一部电影能像《宇宙探索编辑部》这样,没有炫酷特效,没有惊天反转,却用最笨拙、最赤诚的理想主义,戳中无数人心里最软的地方。我们都曾像主角唐志军一样,抱着一份不被 ... 宇宙探索03-22
-
一个国家插入另一个国家? 一个国家插入另一个国家腹地会有什么影响?就像位于西非的冈比亚和塞内加尔。冈比亚占据冈比亚河下游两岸的狭长地带,犹如一把匕首插入塞内加尔中。冈比亚河是西非唯一通航海船的河流,由于冈比亚控制了主航道,内陆 ... 宇宙探索03-22
-
探索微观宇宙,见证科技奇迹!🔍🔬✨ 在这个由精密齿轮构成的微观宇宙里,每个细节都决定着系统的命运。一个微小的错位就能让整个系统陷入停滞,这就是系统的脆弱性,对细节的敏感度超乎想象。而点滴的校准是引导能量流向的关键。当细节被精准把控,能量 ... 宇宙探索03-22
-
第十九章:万灵共振,探索宇宙的奥秘,见证生命的奇迹!🚀✨ 唤醒生机之种的过程成了全银河生灵的共同使命。联盟向所有星球发出号召,用最纯粹的希望与勇气向枯寂星传递意念这两种情感。在法则层面恰是光的存续与暗的革新最鲜活的体现。·一、时间新银河的每一颗星球上,无论是 ... 宇宙探索03-21
-
探索宇宙的奥秘,揭开宇宙的神秘面纱!🔍🔬 宇宙究竟是平坦的还是弯曲的?这个问题让无数科学家和天文迷争论不休,真相究竟是什么?宇宙是否平坦一直是天文学界的一个热门话题。根据广义相对论,如果宇宙是平坦的,那么光线在宇宙中就能直线传播,不会发生弯曲 ... 宇宙探索03-19
-
太空探索:人类如何一步步走出地球,开启宇宙之旅 说起太空探索,很多人脑海里浮现的可能是宇航员穿着厚厚的宇航服,驾驶飞船飞向月球或者火星的画面。但其实,太空探索的故事远比这些画面更精彩、更复杂,也更充满了人类的智慧和勇气。今天咱们就来聊聊,这场人类走 ... 宇宙探索03-18
-
探索宇宙的奥秘,从大爆炸到黑洞,带你走进神秘的星空世界! 先说大爆炸吧。想象一下,138亿年前,整个宇宙其实是一个极其炽热、密度超高的“火球”,比太阳还要热千万倍,空间几乎没有。突然,这个“火球”开始疯狂膨胀,速度快得难以想象,这就是大爆炸。别误会,这不是普通 ... 宇宙探索03-18
相关文章
- 探索宇宙的奥秘,从大爆炸到黑洞,带你走进神秘的星空世界!
- 探索宇宙奥秘:地球的起源与生成之旅🌍✨
- 探索未知宇宙苍穹
- 北京天文馆“宇宙探索营”开启\中国人民抗日战争纪念馆卢沟桥抗战半景画全新升级……本周最新博物馆资讯点击——
- 从《宇宙探索编辑部》到《坠落的审判》,他用60余张海报设计解码光影背后的“无序公式”
- 科学家追踪引力波,结果发现更离谱的宇宙事件
- 以光速的20%飞行:科学家展示“实用”光帆探索宇宙
- 看不见的宇宙:暗物质与暗能量的证据、理论与探索
- 美国太空部队:要有攻击中国卫星能力,探索部署攻击性轨道航天器
- “大航天时代”会加速人类探索宇宙的进程吗
- 三种“超光速”现象,告诉你宇宙远比想象疯狂
- 微积分:探索宇宙无限奥秘的钥匙
- 探索月相奥秘,揭示宇宙的奇妙!🌙✨
- 宇宙或许不是无限的,它的总质量已经被推算出来
- 探索宇宙的奇迹,太空站俯瞰地球!🌍✨
- 宇宙探索:人类的火星梦想与深空探测
- 从水火土到夸克 2500年物质探索 重塑宇宙认知
- 暗物质捕手+天文AI,中国科学家把宇宙探索“卷”出新高度
- 航天科技究竟是什么?它为什么能让我们仰望星空,探索宇宙奥秘?
- 未来宇宙探索:与外星文明首次接触,是友是敌?
热门阅读
-
预言2030年太阳将休眠,恐怖的千年极寒将来临 07-11
-
中国十大元帅之死,多高寿而善终(林彪叛逃而死) 07-11
-
因果报应真实事例,做尽坏事必遭天谴 07-11
-
这6个神奇天体有很酷的名字 06-01
-
全球人口减少可能带来的六大教训和好处 07-18
-
离太阳最近的十大恒星排名,宇宙最大十大星球 04-12
精选文章
- 创生之柱是什么?(创生之柱给予了许多恒星生命)
- 中国51区秘密基地,窃密必被抓(抓住就杀头)
- 中国“天宫”空间站将在2022年前后建成 呈T字型有三个舱段最多可驻留6人 ...
- 新冠病患康复后,可能“精子减少或无精”
- 中国古代四大凶兽,四大神兽vs四大凶兽谁更强
- 2025年宇宙探索大爆发!月全食、火星冲日等,这些天文奇观别错过
- 黑龙江50万年死火山苏醒, 内含15%电量的巨大岩浆囊
- 误会一辈子!破伤风其实是一种细菌跟生锈铁完全没关系
- 美国同步空间态势感知项目(GSSAP)军事间谍卫星多次秘密靠近俄罗斯和中国的航天器 ...
- 中国长征五号B遥一运载火箭全貌曝光 本月底在海南文昌航天发射场进行首次发射 ...
