高中物理平抛运动 飞机投放导弹的原理
物理这一门学问是人们日常生活中非常实用的一门学问,这门学问让人们在生活中遇到的一些问题都非常轻易简单的就给解决了。今天小编我就为大家讲解一下物理学中的平抛运动,战争时期飞机轰炸敌人就是运用的这个平抛运动,话不多说,请看文中小编的详细介绍。
平抛运动

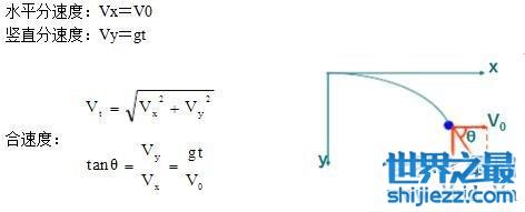
物体以一定的初速度水平方向抛出,如果物体仅受重力作用,这样的运动叫做平抛运动。平抛运动可看作水平方向的匀速直线运动以及竖直方向的自由落体运动的合运动。

平抛运动的物体,由于所受的合外力为恒力,所以平抛运动是匀变速曲线运动,平抛物体的运动轨迹为一抛物线。平抛运动是曲线运动 平抛运动的时间仅与抛出点的竖直高度有关;物体落地的水平位移与时间(竖直高度)及水平初速度有关。,其速度变化的方向始终是竖直向下的。

平抛运动可视为以下两个运动的合运动:(1)物体在水平方向上不受外力,由于惯性而做初速度不变的匀速直线运动(2)物体在竖直方向上初速度为零,只受重力作用而做的自由落体运动。这两个分运动各自独立,又是同时进行,具有分运动的独立性和等时性。
类平抛运动

类平抛运动是一种变速运动。在水平方向上不受力,维持初速度不变;在竖直方向上,存在一个恒力(区别于平抛运动的重力)。

物体水平抛出后,在水平方向上作匀速直线运动(不计空气阻力)(与平抛运动一样),而在竖直方向上的运动,不仅受到重力作用,还受到竖直方向上的其他力的作用。类平抛运动与平抛运动相似

比如:带电粒子在垂直于场强时,做的平抛运动,就称为类平抛运动。它在竖直方向上一方面受到重力作用,另一方面又受到同样位于竖直方向上的电场力的作用。
平抛运动和类平抛运动的区别

平抛运动的条件是1物体只收到重力2水平方向上有初速度。类平抛运动1在某一方向上受到恒力作用2与这个方向垂直的方向上有初速度。区别是a 平抛运动的受力方向竖直向下,类平抛可以是任何方向,b.类平抛运动所受的恒力,也可以是几个力合力 或者是某个力的分力 c 类平抛运动的加速度不一定等于g,可能是其它的数值,d 对应的平抛距离和竖直高度 方向发生变化,
大家都在看
-
AI眼镜爆发的真相:购买容易配镜难,线下渠道成了“最后一公里” 日前,智能眼镜鼻祖谷歌在Google Glass面世13年后,再度入局智能眼镜赛道。在一次小型活动上,谷歌展示了与XREAL合作开发的Project Aura。这款全球首款搭载Android XR平台以及Gemini AI的消费级AR眼镜产品,将于2026 ... 科技之最12-10
-
创新开放,倪飞回应豆包手机,句句都在向行业“开枪” 最近,努比亚 M153成为了科技行业最轰动的产品,更多的人习惯叫它豆包手机。自12月1日发布起,这款手机带着巨大的流量席卷各大平台。一时间各路大佬评论站台,极客们求F码。各家APP也反应不一。图片来源:豆包手机助 ... 科技之最12-10
-
黄仁勋语出惊人!CPU将成时代弃儿,英伟达靠GPU制霸未来? 日前美国政府宣布,将允许英伟达向中国和其他地区的“获准客户”销售其H200人工智能芯片,条件是美国政府将获得英伟达在这些地区H200销售额的 25% 的分成。GPU计算再度受到关注。就在前几天,黄仁勋在一场公开活动上 ... 科技之最12-10
-
在潮汕,撕开一条科技的“缝” (来源:硅星人)人工智能、大模型、极客精神,这些词离人们印象中的“潮汕”很远。传统大家族、经商头脑,乃至手打牛肉丸和牛肉火锅,似乎都更声名在外。“潮汕”与“科技”,向来不常被联系到一起。然而在沉默跋涉 ... 科技之最12-09
-
谷歌HOPE架构来了!突破大模型长期记忆难题,智能体要爆发? 日前,Google在其发布的论文《Nested Learning: The Illusion of Deep Learning Architectures》中,提出了一个名为 HOPE 的新框架试图解决大模型长期记忆的问题。这一架构备受关注,因为长期记忆一直困扰着大模型的 ... 科技之最12-09
-
2025自主五常冰与火之歌:比亚迪赢麻,但吉利才是大赢家? 2025年即将结束,中国车市在新能源渗透率突破50%的里程碑后,并未迎来预期中的狂欢,反而进入了一场更为残酷的中场清算。补贴退坡、资本冷静、市场从增量转向存量,过去靠速度掩盖的问题,今年悉数摆上了桌面。自主 ... 科技之最12-09
-
金石为开:中华文明的铜筋铁骨 在文明的长河中,金属,是定义时代的材料。它深藏于大地,却具备顺从人意、可熔可铸的秉性。从青铜铸就的礼乐重器,到钢铁铸造的帝国基石,金属的变革之力,深刻塑造了中华文明的进程。系列科学文化纪录片《格物志: ... 科技之最12-08
-
一加Ace 6T 24小时极限挑战:我能把这块8300mAh电池用光吗? 啧啧,这2025年的一加,真有点高产似那啥。仔细想来,去年全年,一加也就发布了4-5款产品。结果到了今年,单论上半年发布的产品就不止这个数,进入下半年后,10月底就发布了搭载最新旗舰第五代骁龙8至尊版的一加15, ... 科技之最12-08
-
易经藏玄机,科学奔赴的未来,竟是“神之境” 当科学撕开宇宙的一角,我们窥见的,是理性的边疆,还是神性的开端?几千年前,《易经》以阴阳八卦推演天地玄机,预言着万物变化的规律;今天,当科学家们以基因编辑改写生命密码,用纳米机器巡游人体血管时,我们突 ... 科技之最12-08
-
阿基米德:古希腊的力学之父,开启科学的黄金时代 在漫长的人类历史长河中,有一些伟大的科学家,他们的思想和发明不仅改变了当时的世界,更为后世的科技发展奠定了坚实的基础。古希腊的阿基米德,便是其中最璀璨的一颗明星。他被誉为“力学之父”,不仅在静力学和流 ... 科技之最12-08
相关文章
- 2025自主五常冰与火之歌:比亚迪赢麻,但吉利才是大赢家?
- 金石为开:中华文明的铜筋铁骨
- 一加Ace 6T 24小时极限挑战:我能把这块8300mAh电池用光吗?
- 易经藏玄机,科学奔赴的未来,竟是“神之境”
- 阿基米德:古希腊的力学之父,开启科学的黄金时代
- 从“两种文化”到“主体性黄昏”,刘慈欣王晋康谈科技与人文
- 1350元!我买了台5年前的华为系游戏本,今天仍是大学生神机?
- 国产崛起!苹果2025年度App奖项出炉:腾讯斩获年度最佳
- 他们,经得起“一镜到底”
- 闪存巨头壮士断腕!美光放弃消费者市场,国产机会来了?
- 2399元起!「性能旗舰新选择」一加 Ace 6T发布:同档找不到对手
- 13亿欧元的败笔:科学史上最昂贵的实验
- 华为日照金山路由器评测:路由器有颜了,对得起1299元的价格
- 口出狂言?初代网红罗永浩:我不会被限流,除非我「死」了
- CES官方剧透来了!AI成“绝对焦点”,AI硬件成全场主角
- 科学元典:科技创新的“思想压舱石”
- 华为Mate 80 实测称王:无惧户外强光,中国屏亮天下
- 火药味十足!荣耀高管犀利点评豆包手机:并不看好,撑不过三代
- 下周,科技板块最受投资者关注!
- 学习规划建议每日问答丨为什么要强化科学研究、技术开发原始创新导向
热门阅读
-
万事胜意不能乱说的原因?告诉你万事胜意该对谁说 12-09
-
科威特第纳尔为什么那么值钱?比美元值钱的货币盘点 12-22
-
撕心裂肺十大催泪情歌,10首哭到崩溃的歌曲 12-24
-
不敢公布马航真实原因,内幕曝光简直太惊人! 12-25
-
陈百强什么原因怎么走的,陈百强85事件是什么 01-05
-
麻将公式一定要背下来,麻将手气背转运小妙招 01-19
