相对论,展现物理的绝对丨展卷
E=mc^2所谓的质能方程是影响世界最著名的方程之一,这在流行文化中可见一斑。爱因斯坦是从相对论出发深刻地阐述了理解质量-能量等价关系,尽管绝大部分人并不理解相对论真正所讨论的——“不仅相对论不是相对的,即使是这个标志性的方程,也不是它表面看起来的样子。”

本文经授权摘自《改变世界的17个方程》(人民邮电出版社·图灵新知)第13章《有一事绝对:相对论》,有删节,文中略有改动。前往“返朴”,点击“在看”并发表您的感想至留言区,截至4月23日我们会选出1条留言,赠书一本。
撰文 | 伊恩·斯图尔特(Ian Stewart)
翻译 | 劳佳
正如顶着惊人的“拖把头”的阿尔伯特·爱因斯坦是流行文化中极为典型的科学家一样,他的方程E=mc2也是最为典型的方程。人们普遍认为这个等式导致了核武器的发明,它源于爱因斯坦的相对论,而这个理论说的就是各种“相对的”东西。(很显然嘛!)事实上,许多社会相对主义者高兴地呼喊“一切都是相对的”,并认为这能和爱因斯坦扯上关系。
然而并没什么关系。爱因斯坦将他的理论称为“相对论”,是因为它修正了传统上牛顿力学使用的相对运动的规则,这个规则说运动确实是相对的,取决于观察它的参照系,非常简单直观。爱因斯坦不得不调整牛顿的相对论,才能理解一个令人困惑的实验发现:有一个特定的物理现象根本不是相对的,而是绝对的。由此,他得出了一种新的物理学:当物体运动得非常快时,物体会收缩,时间减慢到仿佛蜗牛爬行,而质量可以无限增加。结合对引力的拓展,我们对宇宙的起源和宇宙的结构有了迄今最好的理解。它基于空间和时间可以弯曲的想法。
相对论是真实的。GPS(用于汽车卫星导航等)只有在对相对论效应进行校正后才能工作。粒子加速器也是如此,例如大型强子对撞机。它目前正在寻找希格斯玻色子,这种粒子被认为是质量的起源。现代通信已变得如此之快,以至于市场交易者开始遇到相对论的限制:光速。这是任何消息(例如买卖股票的互联网指令)都可以传播的最快速度。有些人认为,这是一个比竞争对手早几纳秒达成交易的机会,但目前为止,相对论效应并没有对国际金融产生严重影响。然而,人们已经找到了设立新的股票交易所或券商的最佳位置。这只是时间问题。
无论如何,不仅相对论不是相对的,即使是这个标志性的方程,也不是它表面看起来的样子。当爱因斯坦第一次得出它所代表的物理观点时,他并没有把它写成我们熟悉的方程。它不是相对论的数学结果,但如果接受各种物理假设和定义,就可以从相对论得出它。最标志性的方程现在不是——过去也不是——它看似代表的东西,产生它的理论也不是。人类文化里可能有很多这种事情。哪怕是方程和核武器之间的关系也并不十分明确——比起爱因斯坦作为最为标志性的科学家的政治影响力,方程对于第一颗原子弹的历史影响都相形见绌。
“相对论”涵盖了两个截然不同但相关的理论:狭义相对论和广义相对论。我会用爱因斯坦的著名方程作为谈论两者的借口。狭义相对论是关于在没有引力的情况下的空间、时间和物质,广义相对论则考虑了引力。这两个理论都属于同一个大框架,但爱因斯坦辛苦工作了十年,才发现了如何修改狭义相对论来引入引力。牛顿物理学不能符合观测的难题使这两种理论都受到了启发,但这一标志性的方程出现在狭义相对论中。
在牛顿时代,物理学似乎相当简明、直观。空间是空间,时间是时间,泾渭分明。空间的几何是欧几里得几何。时间与空间无关,对于所有观察者来说都是一样的——只要他们的时钟同步。物体的质量和大小在运动时没有变化,时间在各处总是以相同的速度流逝。但是当爱因斯坦完成了物理学的重构之后,所有这些说法(非常直观,以至于很难想象它们中的任何一个都不能代表现实)都被证明是错误的。
当然,它们并非完全错误。如果真的是无稽之谈,那么牛顿的工作根本不会成功。牛顿对物理宇宙的描绘是一种近似,而不是精确的描述。只要所涉及的一切都在缓慢运动(在大多数日常情况下如此),这种近似就是非常准确的。在这个意义上,即使是以两倍于声速飞行的喷气式战斗机也是缓慢运动的。但是,日常生活中确实有一个东西运动得非常快,并为所有其他速度设定了标准:光。牛顿和他的后继者已经证明了光是一种波,麦克斯韦方程组确证了这一点。但光作为波的性质引发了一个新问题。海浪是水中的波,声波是空气中的波,地震是地球中的波。所以光波是……什么中的波?
在数学上,光是电磁场中的波,而我们认为电磁场遍布整个空间。当电磁场被激发,也就是被迫产生电和磁时,我们就观察到了波。但是当电磁场没有被激发时会发生什么?没有波,海洋仍然是海洋,空气仍然是空气,地球仍然是地球。类似地,电磁场仍然是……电磁场。但如果没有电或磁,你就无法观察到电磁场。如果你观察不到它,它是什么?它是不是根本不存在?
除了电磁场之外,物理学中所有已知的波都是有形的波。所有三种类型的波——水、空气、地震——都是运动波。介质上下运动或左右摇晃,但通常不随波浪行进(将一根长绳系在墙上并甩动一端:波沿着绳子传播。但是绳子不会沿着绳子运动)。也有例外:当空气与波一起行进时,我们称之为“风”;当海浪撞到海滩上时,海浪会将水推到海滩上。但即使我们将海啸描述为移动的水墙,它也不会像在球场滚动的足球一样滚过海洋的顶部。大多数情况下,任何给定位置的水都是上下运动的。前进的其实是波峰的位置。直到水靠近岸边,你看到的东西才更像一堵移动的墙。
光和一般的电磁波似乎没有任何有形的波。在麦克斯韦的时代,以及之后五十年或更长的时间里,这一点令人不安。牛顿的万有引力定律长期以来一直受到批评,因为它意味着引力以某种方式“超距作用”,这在哲学原则上看来是个奇迹,就像你坐在看台上,却将球踢进球门一样。说它由“引力场”传播,并没有真正解释发生了什么。电磁学也是如此。因此,物理学家们认为有一些媒介——没有人知道它们是什么,于是他们说,支持电磁波的是“发光的以太”,或者简称“以太”。介质越坚硬,振动传播得就越快,光速确实非常快,因此以太必须非常坚硬。然而,行星可以毫无阻力地穿过它。为避免被轻易探测到,以太必须没有质量,没有黏度,不可压缩,并且对所有形式的辐射都是完全透明的。
这一套性质的组合让人泄气,但几乎所有的物理学家都认为以太存在,因为光显然做了光做的那些事。总得有些什么来承载波。此外,原则上可以检测到以太的存在,因为光的另一个特征提示了一种观察它的方法。在真空中,光以固定的速度c运动。牛顿力学教会了每个物理学家去问:相对于什么的速度?如果你在两个相对运动的不同参照系中测量速度,则会得到不同的答案。光速的恒定有一个明显的解释:相对于以太。但这个答案有点儿轻率,因为两个参照系如果彼此之间有相对运动,就无法同时相对于以太静止。
当地球掠过以太时(奇迹般地没有阻力),它围绕着太阳运转。在轨道的相对点处,它朝着相反的方向运动。因此,按照牛顿力学,光速的变化范围应该在两个极端之间:c加上地球相对于以太运动的贡献,以及c减去这一贡献。测量光速,六个月后再测一次,求出差异。如果有差异,则证明以太存在。在19世纪后期,人们沿着这些方向进行了许多实验,但结果没有定论。要么没有差异,要么有差异,但实验方法不够准确。更糟糕的是,地球可能会拖着以太一起走。这将同时解释为什么地球可以在没有阻力的情况下穿过这样一个刚性介质,并且意味着你不应该看到光速的任何差异。地球相对于以太的运动总是不存在。
1887年,阿尔伯特·迈克耳孙(Albert Michelson)和爱德华·莫雷(Edward Morley)进行了有史以来最著名的物理实验之一。他们的设备被设计用于检测两个彼此垂直的方向上光速的极小变化。不管地球相对于以太如何运动,它无法在两个不同的方向上以相同的相对速度运动……除非碰巧沿着这两个方向的角平分线运动,真是这样的话,你只需稍稍旋转设备,再试一次。
这个设备(图1)小到足以放在实验室的桌子上。它使用半镀银镜将一束光分成两部分,一部分穿过镜子,另一部分反射后转一个直角。每个单独的光束都会沿其路径反射回来,两个光束再次组合击中探测器。调整设备,以使路径长度相同。原始光束被设置为相干光,意味着两个波彼此同步——所有波都具有相同的相位,波峰对波峰。两个光束各自方向上的光速之间的任何差异,都将导致相位相对移动,波峰将会错开。这会让两个波之间出现干涉,从而产生“干涉条纹”图案。地球相对于以太的运动会导致条纹移动。它的效果很小:根据已知地球相对于太阳的运动,干涉条纹将偏移条纹宽度的4%左右。利用多次反射,可以将其增加到40%,这样就可以检测到条纹了。为了避免地球恰好沿着两条光束的平分线运动的巧合情况,迈克耳孙和莫雷使设备漂浮在水银浴上,以便其轻松、快速地旋转。这样,就应该可以观察到条纹同样快速地移动。

图1 迈克耳孙–莫雷实验示意图
这是一个精心完成的精确实验。其结果完全是否定的。条纹没有偏移其宽度的40%。所有人都可以肯定地说,条纹根本没有动。后来的实验能够检测到条纹宽度偏移0.07%,也给出了否定的结果。以太不存在。
这个结果不仅仅否定了以太,也威胁到麦克斯韦的电磁学理论。这意味着光不以牛顿的方式相对于运动参照系行事。这个问题可以追溯到麦克斯韦方程组的数学性质,以及它们如何相对于运动参照系进行变换。爱尔兰物理学家兼化学家乔治·菲茨杰拉德(George FitzGerald)和荷兰物理学家亨德里克·洛伦兹(Hendrik Lorenz)各自独立(分别于1892年和1895年)提出了一个解决问题的大胆方法。如果一个运动的物体在其运动方向上稍微收缩(还要恰好适量),那么迈克耳孙–莫雷实验期待检测到的相位变化,将被光线所走过的路径的长度变化完全抵消。洛伦兹证明了,这种“洛伦兹–菲茨杰拉德收缩”也解决了麦克斯韦方程组面临的数学困难。这一联合发现表明,包括光在内的电磁学实验结果不依赖于参照系的相对运动。庞加莱也一直在沿着类似的思路工作,为这个想法加入了他令人信服的智慧。
现在轮到爱因斯坦登场了。1905年,他在论文《论运动物体的电动力学》中发展并扩展了先前关于相对运动新理论的推测。他的工作在两个方面超越了前辈。他证明了需要对相对运动的数学公式做出必要的改变,这不仅仅是解决电磁学问题的一个技巧,而且是所有物理定律所必需的。因此,新的数学必须是对现实的真实描述,具有与通行的牛顿描述相同的哲学地位,却与实验吻合得更好。这是真正的物理学。
牛顿所采用的相对运动的观点甚至可以追溯到伽利略。在其1632年的《关于两个主要世界体系的对话》(Dialogo sopra i due massimi sistemi del mondo)中,伽利略讨论了一艘在一片完全平坦的海面上以恒定速度行进的船,并称在甲板下面进行的任何力学实验都无法发现船在运动。这是伽利略的相对性原理:在力学中,在两个相对于彼此匀速运动的参照系中进行的观察并无区别。特别是,没有一个“静止”的特殊参照系。爱因斯坦的出发点是相同的原则,但还加上了一个转折:它不仅适用于力学,而且适用于所有物理定律——其中当然包括麦克斯韦方程组和光速的恒定性。
对于爱因斯坦来说,迈克耳孙–莫雷实验只是一小部分额外的证据,却没有证明主要的问题。他的新理论成立的证明基于其扩展的相对性原理,以及这个原理对物理定律的数学结构的影响。如果你接受了这个原理,其他一切就是自然而然的了。这就是为什么这个理论被称为“相对论”——不是因为“一切都是相对的”,而是因为你必须考虑到这一切是以何种方式相对的。而这会出乎你的意料。
这个版本的爱因斯坦理论被称为“狭义相对论”,因为它仅适用于相对于彼此匀速运动的参照系。其结果包括洛伦兹–菲茨杰拉德收缩,现在人们把它解释为时空的一个必要性质。事实上,有三个相关的效应。如果一个参照系相对于另一个参照系匀速运动,那么在该参照系中测量的长度会沿着运动方向收缩,质量增加,并且时间流逝得更慢。这三种效应由能量和动量的基本守恒定律联系在一起;一旦你接受了其中一个,其他的就是合乎逻辑的结果。
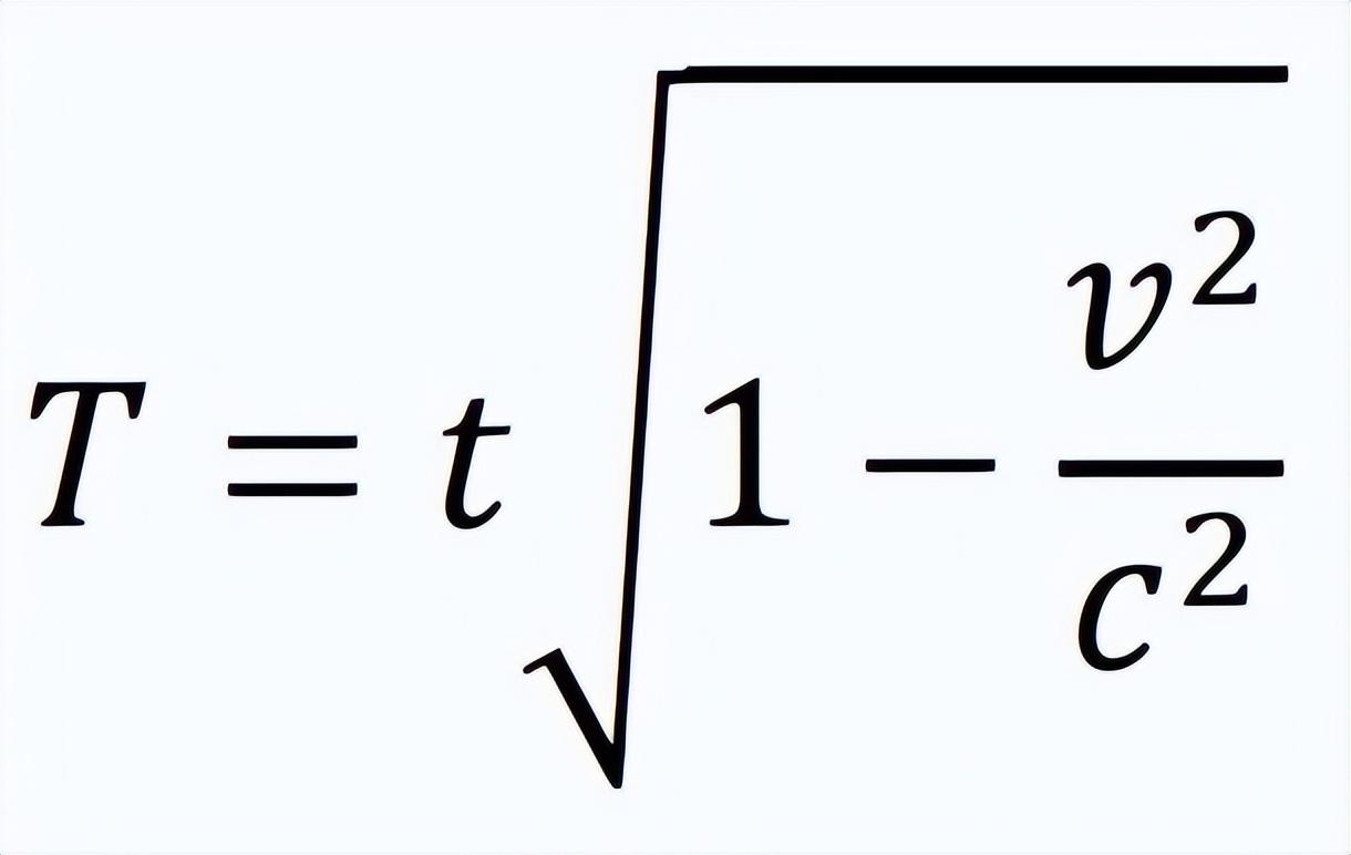
这些效应的专业表达,就是描述两个参照系中的量度之间关系的公式。概括一下就是:如果物体可以接近光速运动,那么它的长度将变得非常小,时间会慢慢爬行,而质量会变得非常大。我在这里稍稍讲一些数学的东西:物理描述不应该理解得太字面化,而要用正确的语言表述它就得讲太多了。这一切都来自……毕达哥拉斯定理。科学中最古老的方程之一,带来了最新的方程之一。
假设宇宙飞船从头顶上以速度v飞过,并且机组人员做了一个实验。它们从机舱地板向舱顶发出一个光脉冲,测量时间为T。与此同时,地面观察员通过望远镜观察实验(假设宇宙飞船是透明的),测量时间为t。
图2(左)展示了从机组人员的视角看实验的几何关系。对他们来说,光是垂直向上的。因为光的速度为c,所以行进的距离就是cT,用虚线箭头表示。图2(右)展示了从地面观察者的视角看实验的几何关系。宇宙飞船已运动了距离vt,因此光线沿斜线运动。由于光相对于地面观察者也以速度c行进,因此斜线的长度为ct。但虚线的长度与左图中虚线箭头的长度相同,即cT。根据毕达哥拉斯定理,

我们求解T,得到

它小于t。

图2 左:机组人员参照系中的实验。右:地面观察者参照系中的同一实验。灰色表示当光束开始行进时,从地面看到的飞船的位置;黑色表示光束完成旅程时飞船的位置
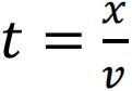
为了得出洛伦兹–菲茨杰拉德收缩,我们现在想象宇宙飞船以速度v行进到距离地球x的行星。于是经过的时间是

。但是之前的公式表明,对于机组人员来说,所用的时间是T而不是t,而距离X必须满足

。因此

它小于x。
质量变化的推导稍微复杂一些,它取决于对质量的特定解释——“静质量”m0,这里我就不详细说明了。公式是

它大于m 。
这些方程告诉我们关于光速(实际上是光)的一些非常特殊的东西。这种形式的一个重要结果是,光速是一个难以逾越的障碍。如果一个物体一开始比光慢,我们就无法把它加速到大于光的速度。2011年9月,在意大利工作的物理学家宣布,一种称为中微子的亚原子粒子似乎比光更快。他们的观察是有争议的,但如果得到证实,那么它将带来重要的新物理学。(编者注:后被证明是因为与GPS接收器连接的光纤电缆没有完全拧紧而造成的误差。)
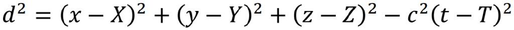
毕达哥拉斯也以某种形式在相对论中出现了。一个是赫尔曼·闵可夫斯基(Hermann Minkowski)最先以时空几何学表达的狭义相对论。我们可以这样在数学上表达普通牛顿空间:让空间中的点对应于三个坐标(x, y, z),并使用毕达哥拉斯定理定义这一点与另一个点(X, Y, Z)之间的距离d:

对该方程开平方就得到了d。闵可夫斯基时空也与此类似,但它有四个坐标(x, y, z, t),三个空间坐标加上一个时间坐标,而其中的点称为“事件”——在特定时间观察到的空间位置。距离公式非常类似:

系数c2只是测量时间的单位造成的,但前面的负号至关重要。“距离”d称为“间隔”,只有当方程的右侧为正时,平方根才是实数。这归结为两个事件之间的空间距离要小于时间差异(分别以正确的单位,例如光年和年)。这反过来意味着,物体原则上可以在第一时刻从太空中的第一个点出发,并在第二时刻到达太空中的第二个点,而速度不会超过光速。
换句话说,原则上说,当且仅当在物理上可能在两个事件之间行进时,间隔才是实数。当且仅当光可以在两个事件之间传播时,间隔为零。这个物理上可以到达的区域被称为事件的光锥,它分为两部分:过去和未来。图3展示了空间约减到一维时的几何形状。

图3 闵可夫斯基时空,空间显示为一维
我已经给你看了三个相对论方程,并简述了它们是如何得出的,但它们都不是爱因斯坦的标志性方程。然而,如果我们再认识一项20世纪早期的物理学创新,就可以了解爱因斯坦的方程是怎么导出的了。我们已经看到,物理学家之前曾进行过实验,确切地证明了光是一种波,而麦克斯韦证明它是电磁波。然而,到了1905年,越来越清楚的一点是,尽管光的波动性有很强的证据,但在某些情况下,它的行为就像一个粒子。在那一年,爱因斯坦用这个想法来解释光电效应的一些特征,即用光照射合适的金属会产生电。他认为,要让实验说得通,光必须是一个个离散的小包裹,也就是粒子。这种粒子现在被称为光子。
这个令人费解的发现是通往量子力学的关键步骤之一,我将在下一章中详细说明。有意思的是,这种典型的量子力学思想对于爱因斯坦形成相对论至关重要。为了得出他的质能方程,爱因斯坦思考了发射一对光子的物体会发生什么。为了简化计算,他将注意力限制在一个空间维度上,以便让物体沿着直线运动。这种简化不会影响答案。基本思想是在两个不同的参照系中思考这个系统。一个参照系与物体一起运动,使物体在那个参照系中看起来是静止的。另一个参照系相对于物体以小的非零速度运动。我把它们分别称为静止参照系和运动参照系。它们就像宇宙飞船(在它自己的参照系中是静止的)和地面观察者(在他看来,飞船是运动的)。
爱因斯坦假定这两个光子具有同样的能量,但发射方向相反。它们的速度相等且相反,因此当发射光子时,物体的速度(在任一参照系中)都不会改变。他计算了物体发射这一对光子之前系统的能量,然后计算发射后的能量。通过假定能量必须守恒,他得出了一个表达式,将发射光子引起的物体能量变化与其(相对论)质量的变化联系起来。其结果是:
能量变化 = 质量变化×c^2
合理地假设零质量物体具有零能量,即可得出
能量= 质量×c^2
这当然就是那个著名的公式,其中能量用E表示,质量用m表示。
除了进行计算之外,爱因斯坦还得解释它的含义。特别是,他认为在物体静止的参照系下,公式给出的能量应该被认为是它的“内部”能量,因为物体是由亚原子粒子构成的,每个粒子都有它自己的能量。在运动的参照系中,还存在动能的贡献。还有数学上的其他微妙之处,例如使用小速度和精确公式的近似。
人们常常说,爱因斯坦意识到了原子弹会释放出巨大的能量。当然,《时代》杂志在1946年7月给人留下了这样的印象:当时爱因斯坦的脸上盖着原子弹的蘑菇云,背景是他的标志性方程。方程与巨大爆炸之间的联系似乎很清楚:方程告诉我们,任何物体固有的能量都是质量乘以光速的平方。由于光速很大,它的平方就更大,也就是少量物质中有大量能量。1克物质的能量为90兆焦耳,相当于核电站约一天的电力输出。

图3 1946年TIME封面
然而,事情并非如此。原子弹释放的能量只是相对论静质量的一小部分,而物理学家已经通过实验意识到某些核反应会释放出大量的能量。主要的技术问题是,将一堆合适的放射性物质放在一起足够长时间,以产生链式反应,即一个放射性原子的衰变使其发射辐射,并在其他原子中引发相同的效应并呈指数增长。尽管如此,爱因斯坦的方程迅速成为公众心目中的原子弹的前奏。美国政府发布的解释原子弹的美国政府文件“史迈斯报告”将这个方程放在了第二页。我怀疑这个东西就是杰克·科恩和我所说的“给儿童的谎言”——为合理的目的而讲的简化版故事,为更准确的启蒙铺平了道路。教育就是这样的:完整的故事对于任何非专业人士而言都太复杂了,而专家则知道得太多,以至于他们不相信大部分故事。
但我们也不能随随便便地对爱因斯坦的方程不屑一顾。它确实在核武器的发展中发挥了作用。为原子弹提供能量的核裂变这一概念,源于纳粹德国的物理学家莉泽·迈特纳(Lise Meitner)和奥托·弗里施(Otto Frisch)在1938年所做的讨论。他们试图了解将原子固定在一起的力,这有点儿像液体的表面张力。他们外出散步,讨论物理学,并且运用爱因斯坦的方程来研究裂变在能量上是否可能。弗里施后来写道:
我们都坐在一根树干上,开始在小纸片上计算…… 当两滴分开时,它们将因电排斥而分离,总共约200 MeV。幸运的是,莉泽·迈特纳记得如何计算原子核的质量…… 并算出来形成的两个核…… 质量会减少质子质量的大约五分之一。根据爱因斯坦的公式E=mc2,质量相当于200 MeV。这一切都吻合!
虽然E=mc^2没有直接带来原子弹,但它是物理学中的重大发现之一,让人们有效地从理论上理解了核反应。
作者简介

伊恩·斯图尔特(Ian Stewart),英国沃里克大学数学系荣退教授,英国皇家学会会员。曾获英国皇家学会的法拉第奖章,美国科学促进会的“公众理解科学技术奖”和英国伦敦数学学会与英国数学及应用研究院颁发的“赛曼奖章”。斯图尔特著作颇丰,特别是在科普方面,《不可思议的数》《谁在掷骰子:不确定的数学》,Fearful Symm
大家都在看
-
AI眼镜爆发的真相:购买容易配镜难,线下渠道成了“最后一公里” 日前,智能眼镜鼻祖谷歌在Google Glass面世13年后,再度入局智能眼镜赛道。在一次小型活动上,谷歌展示了与XREAL合作开发的Project Aura。这款全球首款搭载Android XR平台以及Gemini AI的消费级AR眼镜产品,将于2026 ... 科技之最12-10
-
创新开放,倪飞回应豆包手机,句句都在向行业“开枪” 最近,努比亚 M153成为了科技行业最轰动的产品,更多的人习惯叫它豆包手机。自12月1日发布起,这款手机带着巨大的流量席卷各大平台。一时间各路大佬评论站台,极客们求F码。各家APP也反应不一。图片来源:豆包手机助 ... 科技之最12-10
-
黄仁勋语出惊人!CPU将成时代弃儿,英伟达靠GPU制霸未来? 日前美国政府宣布,将允许英伟达向中国和其他地区的“获准客户”销售其H200人工智能芯片,条件是美国政府将获得英伟达在这些地区H200销售额的 25% 的分成。GPU计算再度受到关注。就在前几天,黄仁勋在一场公开活动上 ... 科技之最12-10
-
在潮汕,撕开一条科技的“缝” (来源:硅星人)人工智能、大模型、极客精神,这些词离人们印象中的“潮汕”很远。传统大家族、经商头脑,乃至手打牛肉丸和牛肉火锅,似乎都更声名在外。“潮汕”与“科技”,向来不常被联系到一起。然而在沉默跋涉 ... 科技之最12-09
-
谷歌HOPE架构来了!突破大模型长期记忆难题,智能体要爆发? 日前,Google在其发布的论文《Nested Learning: The Illusion of Deep Learning Architectures》中,提出了一个名为 HOPE 的新框架试图解决大模型长期记忆的问题。这一架构备受关注,因为长期记忆一直困扰着大模型的 ... 科技之最12-09
-
2025自主五常冰与火之歌:比亚迪赢麻,但吉利才是大赢家? 2025年即将结束,中国车市在新能源渗透率突破50%的里程碑后,并未迎来预期中的狂欢,反而进入了一场更为残酷的中场清算。补贴退坡、资本冷静、市场从增量转向存量,过去靠速度掩盖的问题,今年悉数摆上了桌面。自主 ... 科技之最12-09
-
金石为开:中华文明的铜筋铁骨 在文明的长河中,金属,是定义时代的材料。它深藏于大地,却具备顺从人意、可熔可铸的秉性。从青铜铸就的礼乐重器,到钢铁铸造的帝国基石,金属的变革之力,深刻塑造了中华文明的进程。系列科学文化纪录片《格物志: ... 科技之最12-08
-
一加Ace 6T 24小时极限挑战:我能把这块8300mAh电池用光吗? 啧啧,这2025年的一加,真有点高产似那啥。仔细想来,去年全年,一加也就发布了4-5款产品。结果到了今年,单论上半年发布的产品就不止这个数,进入下半年后,10月底就发布了搭载最新旗舰第五代骁龙8至尊版的一加15, ... 科技之最12-08
-
易经藏玄机,科学奔赴的未来,竟是“神之境” 当科学撕开宇宙的一角,我们窥见的,是理性的边疆,还是神性的开端?几千年前,《易经》以阴阳八卦推演天地玄机,预言着万物变化的规律;今天,当科学家们以基因编辑改写生命密码,用纳米机器巡游人体血管时,我们突 ... 科技之最12-08
-
阿基米德:古希腊的力学之父,开启科学的黄金时代 在漫长的人类历史长河中,有一些伟大的科学家,他们的思想和发明不仅改变了当时的世界,更为后世的科技发展奠定了坚实的基础。古希腊的阿基米德,便是其中最璀璨的一颗明星。他被誉为“力学之父”,不仅在静力学和流 ... 科技之最12-08
相关文章
- 1350元!我买了台5年前的华为系游戏本,今天仍是大学生神机?
- 国产崛起!苹果2025年度App奖项出炉:腾讯斩获年度最佳
- 他们,经得起“一镜到底”
- 闪存巨头壮士断腕!美光放弃消费者市场,国产机会来了?
- 2399元起!「性能旗舰新选择」一加 Ace 6T发布:同档找不到对手
- 13亿欧元的败笔:科学史上最昂贵的实验
- 华为日照金山路由器评测:路由器有颜了,对得起1299元的价格
- 口出狂言?初代网红罗永浩:我不会被限流,除非我「死」了
- CES官方剧透来了!AI成“绝对焦点”,AI硬件成全场主角
- 科学元典:科技创新的“思想压舱石”
- 华为Mate 80 实测称王:无惧户外强光,中国屏亮天下
- 火药味十足!荣耀高管犀利点评豆包手机:并不看好,撑不过三代
- 下周,科技板块最受投资者关注!
- 学习规划建议每日问答丨为什么要强化科学研究、技术开发原始创新导向
- 为什么要强化科学研究、技术开发原始创新导向
- 中国基建再出王炸,香山大桥创下3项世界之最,老外直呼不可能
- 科技前线
- “开路小工”,科技强国大有作为!
- 红色地标上新+2!快来预约吧!
- “欧拉:数学界的天才魔术师,开启科学黄金时代的奇幻之旅”
热门阅读
-
万事胜意不能乱说的原因?告诉你万事胜意该对谁说 12-09
-
科威特第纳尔为什么那么值钱?比美元值钱的货币盘点 12-22
-
撕心裂肺十大催泪情歌,10首哭到崩溃的歌曲 12-24
-
不敢公布马航真实原因,内幕曝光简直太惊人! 12-25
-
陈百强什么原因怎么走的,陈百强85事件是什么 01-05
-
麻将公式一定要背下来,麻将手气背转运小妙招 01-19
