74年来,它一直在求解第6大数学难题
一
这世界,存在七大数学难题
这世界真的有最难的数学题吗?
有,而且每一个问题都被悬赏一百万美元。
公认的世界七大数学难题如下:
1、NP完全问题
简单讲是说一些非确定性问题,是否可以通过逻辑运算得出结果,有点“万物皆可计算”的感觉。
2、黎曼猜想
研究质数分布规律,伟大的黎曼故意来折腾人的,华裔科学家张益唐2022年仅仅因为往前推进了一步,就让全世界啧啧惊叹。
3、霍奇猜想
艰深的拓扑学难题,M理论的数学表达。去赚100w美金比证明这个容易多了。
4、BSD猜想
对有理域上的任一椭圆曲线,其L函数在1的化零阶等于此曲线上有理点构成的Abel群的秩。如果不是数学博士,建议躲得远远的。
5、杨-米尔斯存在性和质量缺口
证明量子Yang-Mills场存在,并存在一个质量间隙。杨振宁先生就因为这个bug,被泡利问得大汗淋漓。
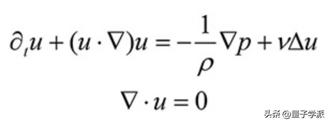
6、N-S方程
纳维-斯托克斯方程,描述粘性不可压缩流体动量守恒的运动方程:简称N-S方程。几代数学天才的接力,才有了今天这个经典公式。
7、庞加莱猜想
七大难题中唯一被证明的,证明的人是俄罗斯数学家格里戈里·佩雷尔曼。
如果没有逆天智商,这七道题如同天书,能理解看懂都是一件难事。
二
N-S方程,最难解的物理学方程
数学,它被称作是上帝描写自然的语言。
在描写自然(物理现象)的这些数学语言里,又有很多不同类型。
除此之外,还有一个领域的数学语言,神秘、深邃且遥远。
那就是N-S方程表达的流体力学,克雷数学研究所是这样描述:
“起伏的波浪伴随蜿蜒穿梭的小船,湍急的气流和喷气式飞机伴飞。数学家和物理学家深信,无论是微风还是湍流,都可以通过理解N-S方程的解,来对它们进行解释和预言。数学理论若要前行,就是要解开隐藏在N-S方程中的奥秘。”

人类得到N-S方程的过程并不容易:
第一数学家族的伯努利开始提出“伯努利方程1.0”;
大数学家欧拉引入微积分进行升级改造;
数学天才柯西接着提出“九维张量方程”;
1845年,才最终有了现在完整的“伯努利方程4.0(N-S方程)”。
将N-S方程的参数部分展开,它是一个非线性偏微分方程,求解非常困难和复杂。
流体力学和空气动力学的求解,只能通过简化方程而得到近似解。
三
三大流派,都在求解N-S方程
不管N-S方程的求解有多难,总有很多人去追求答案。
这与100万奖金没有关系,因为这个方程对人类太重要。
因为有水和空气的地方就有流体力学,宇宙万物皆流动。
对于科学家来说,不找出流体运动的规律,科学就少了一块重要拚图。
所以,无数科学家一直在寻求答案,致力求解流体力学的精确解。
屈指算来,主要分为三大流派。
第一个流派是科学派。
这一派主要以大科学家为主,这些人相信凭借自己大脑就可以找到通用公式。
1859年,麦克斯韦提出速度分布方程,把三维问题降低到一维问题。
玻尔兹曼则从微观世界入手,基于统计力学架起一座连接微观与宏观的介观尺度桥梁:玻尔兹曼方程。
他们试图从微观世界寻求宏观世界的运动轨迹,破解不可预测的流体之谜。

第二个流派是实验派。
他们通过建立数学模型求解,什么样的流体就用什么样的模型来计算,这世界没有实验解决不了的问题。
著名实验派包括以下:
❶雷诺实验
将瞬间速度分解成随时间统计平均速度和脉动速度。
❷RANS模型
假设漩涡具有粘性特质,并且假设九维张量等于漩涡粘性乘以流体的变形量。
❸涡粘模型
用涡粘性系数的方法来模拟湍流流动,通过涡粘度将雷诺应力和平均流场联系起来。

第三个就是工程派。
这一派是站在实验派的肩膀之上,直接用产品进行验证求解。
他们动手能力极强,通过创造具体的科学具象来提供大数据,然后归纳反向验证N-S方程。
工程派里最具标志性的行业之一就是汽车行业,而汽车工程中最值得一提的品牌要属路特斯。

路特斯创始人 柯林·查普曼
1948年,柯林·查普曼打造了第一台赛车,迄今已有74年。
路特斯是N-S方程的优秀解题者。
路特斯将空气动力学运用到了极致,创造了完美驭风的赛车,让多数人实现了在地面“飞行”的梦想。
路特斯究竟是如何做到的?
四
“速度与激情”之两大原理
工程学的本质,就是向科学和数学的无限接近。
路特斯作为赛车制造者,它要追求的是赛车的超级性能。
对于赛车来讲,因为要尽可能提高速度,最终要解决的问题就与流体力学相关。
因此,从物理学上必须考虑两大原理:
第一原理是牛顿第二定律f=ma,也就是加速度与质量成反比。
第二原理是物体在速度V时风中的受力F与粘度和湍流有关。
这两大原理都和N-S方程有关,
要获得极致的“速度与激情”,就要根据原理做出科学应对。
首先是第一原理,牛顿第二定律f=ma。
其实f=ma可以看作是N-S方程的一个特殊极简化版,而N-S方程也可以看作是牛顿第二定律的流体版本。
牛顿第二运动定律告诉我们:
质量x加速度 = 力
它描述了物体的速度在外力作用下会如何改变在N-S方程中,等式左右两边各参数的变化。

从第一原理可以看出,如果动力不变的情况下,赛车要获得好的性能,轻量化是必要条件。
重量更轻,不仅能跑得更快,也能更好地操控车的行驶。
而在伦敦大学学习结构工程专业的柯林·查普曼,对这一理论有更深入的理解,这个天才工程师在这一方面下足了功夫,将这一大原理巧妙地应用在汽车设计与生产过程中。
自创立以来,路特斯出产的每一辆车,都践行着轻量化的理念。
1957年,第一款量产公路跑车Elite,采用玻璃纤维轻量化复合材料打造的单体壳车身;
1962年,引领“跳灯”风潮的Elan,是路特斯第一款采用玻璃钢车身配合骨干式车架底盘的公路跑车;
1974年,4座GT跑车Elite,其玻璃纤维混合车身使用真空辅助树脂填充(VARI)技术,在实现减重方面再度精进;
……

路特斯Elite
这些在经典跑车上采用的所有新材料,进行的所有减重设计,都体现了路特斯对极致驾控的追求以及所付出的努力。
同时,这些追求简单而优雅的设计,也是路特斯极简设计的创新表达。
创始人柯林·查普曼曾说:
“Simplify, then add lightness”。
极简,然后才是轻量化。
Type 25上将底盘骨架融于车身的单体壳设计;
Type 49上将发动机作为受力结构部分的创新设计;
Type 78将车身化为地面效应的“文氏管”设计。
这些领先时代的极简化设计,在演绎路特斯性能美学的同时,更核心的目的是为实现极致驾控。
五
路特斯的进化之路:第一原理与极致驾控
路特斯在“轻量化”方面,一直严格遵循第一原理。
这也是在燃油车赛车时代,路特斯创下辉煌成绩的重要原因。
不过对于路特斯而言,轻量化只是手段,极致驾控才是目的。

但时代已经变了,燃油车不再统治一切,电动车时代扑面而来。
无论是赛车还是跑车,都不得不面对这个历史转折。
电动车时代来临,超跑新赛道开始了。

路特斯秉承一贯的创新气质,主动切换到电车新赛道。
在电车时代,决定路特斯能否达到“极致驾控”的核心,依旧离不开轻量化。
在不少人看来,受限于电池包与电动机等部件的自身质量,轻量化一直是纯电动汽车无法提及的痛。
但纯电超跑SUV路特斯Eletre,完全传承了路特斯追求的造车艺术,它将轻量化和空气动力学发挥到一种新的极致:
1、车身轻量化:整车减重8%,白车身减重10%,底盘减重30%;
2、轻薄羽翼主题:内饰通过超薄设计和1K碳纤维材质最大限度的体现出视觉轻量化理念;
3、沿袭千万级纯电超跑Evija的孔隙设计理念,为Eletre打造7组Race-Aero风道;
在以上这些所有能力的应用下,路特斯Eletre整车达到了336.49的推重比,傲视同级双电机车型和4.0T燃油车。
孔隙设计理念,让路特斯Eletre实现了驭风降阻与性能美学的平衡。
六
全球首款纯电超跑SUV:第二原理与数学解
第二原理是物体在速度V时风中的受力F与粘度和湍流有关。
按照流体力学,
F可分解为外部常量和无量纲量的乘积:F=1/2ρV2SCD
其中CD与N-S方程中的湍流和粘度密切相关。
基于N-S方程的第一原理与第二原理的结合,才能成就新的工程学奇迹。
雨燕的飞跃,猎豹的奔跑,旗鱼的滑翔。
这些动物既不是最轻的,也不是动力最强的,
只是它们在进化中寻找到了最优的数学解。
那是自然世界里最美妙的均衡,所以它们在驾驭自己时能达到一种美和速度的极致。
与代数中的数学解不一样,工程学的数学解往往由很多因素综合决定。
以纯电超跑SUV路特斯Eletre为例,
它工程学的数学解由增强动力,减少质量,弱化阻力,协调性、安全性这些来综合决定。
路特斯Eletre的气动仿真计算,刷新了汽车行业计算量的极限。
路特斯空气动力学团队历时4年,与设计团队共同打磨不断调整细节,并通过反复计算、验证,才有了如今路特斯Eletre的顶尖空气动力学性能。
路特斯Eletre在追寻轻量化的同时,革新了量产纯电SUV领域在空气动力学上的设计应用。
首先,它将一切“风中的灵感”,化为前行的引擎。
主动尾翼、主动进气格栅、分体式破风尾翼、7组Race Aero风道,组成了一身“驭风套装”。
这身“驭风套装”,本质上就是在化解F=1/2ρV2SCD的阻力系数。
同时也给路特斯Eletre提供了超越同级的极致净下压力。
路特斯Eletre能够实现在日常驾驶中0.26的超低风阻系数和最大90Kg的净下压力。相比传统豪华运动型SUV均值,风阻系数提升21.2%,下压力提升202%。
其次,对超跑来说,除了提升性能给车辆提供足够强大的动力,他们同样追求强劲的加速度。
根据第一原理,就需要实现轻量化,这就需要尽可能优异的重量分配、超低重心、以及高下压力。
轻量化的车身、超薄仪表台实际、钢铝混合材料……,
都是路特斯Eletre为得到更强劲的加速度所做的努力。
同时,减少车身向两侧产生的涡流与湍流,尽量让第二原理对车的运动减少影响。
文丘里效应表明,在高速流动的气体附近会产生低压,从而产生吸附作用,这也是制作“文氏管”的基本原理。
路特斯Eletre整车都可以看成是一个大号的“文氏管“:破风造型的前脸、流体设计的线条、平整化的车底……

这些设计,能让路特斯Eletre在行驶时牢牢地“吸”在地面上,实现更稳定的操控。
可以说,路特斯Eletre近乎完美地应用了空气动力学设计。
正是由于对第一原理与第二原理的结合,
路特斯利用空气动力学实现了极致驾控。
而实现极致驾控背后,其实是在寻求最合适的数学解。
相比赛车,超跑在性能层面注重安全和效率,以及更好的可操控性。
“速度”这项性能指标,只是在实现这一切性能诉求之后自然而然的综合结果。
从数学的角度出发,如果真的没有办法找到完美答案,那就寻找一个近似解。
工程虽然与数学本身有一定距离,但本质上两者是相通的。
谁读懂了N-S方程,谁就可能造出最优秀的产品。
谁造出最优秀的产品,谁就可能是N-S方程的最优解。
它们的优雅和美,是一致的。
七
路特斯Eletre的超跑之路:顶级配置
延续极致驾控之魂,是路特斯一直坚守的信条。
一直以来,路特斯坚持不懈地求解最难的题,只为做出最优秀的产品。
通过遵循第一原理和第二原理,路特斯Eletre在整体空气动力学性能上实现了有效提升。
而在电动化时代,路特斯为这道最难的数学题做出了新的答案。
全球首款纯电超跑SUV ,路特斯Eletre以无可争议的顶级配置刷新纯电SUV驾控、性能认知,它的每一点都很能打。

赛道灵魂
提供S+、R+两种动力版本,毫不妥协的空气动力学,均匹配四驱系统。其中S+版本最大功率612Ps,最大扭矩710N·m,R+版本最大功率达到了918Ps,最大扭矩985N·m。
驾驭极致
都市、赛道、山路全地貌从容应对,智能防侧倾控制,电子主动稳定杆实时计算仅需2毫秒,主动后轮转向,空气悬架+CDC连续阻尼可调减震器带来更高舒适感,智能动态控制系统实现真正的人车合一驾控体验。
智控未来,五感提升
专属EPA架构,4颗激光雷达+双英伟达超算芯片,双第三代骁龙座舱平台+Unreal 3D虚幻引擎,HMI,全系标配英国顶级KEF音响,全系标配PDLC智能全景天幕。
更强大的动力系统,更智能的控制系统,当然也能带来更极致的驾控体验。
路特斯的一切都是为了纯粹驾驶,为了驾驶者在公路上、赛道上都能获得更极致的驾控体验。
八
N-S方程与驾控之美
在我们身边,有一个看不见的平行时空。
她神秘深邃,但与我们生活却息息相关。
这个平行世界,就是抽象至美的数学世界。
数学无处不在:
飞驰而过如羚羊挂角一样完美的赛车弧线,那些在天空中飞行的民航客机,还有足球运动员踢出的弧线球。
这些现象背后,其实都能与数学联系起来。

N-S 方程是一组确定性方程,它的解也是由初始条件和边界条件唯一确定的。
而造成看似不确定的因素,在于 N-S 方程是一个混沌系统。
任何对初始条件的有限精度的测量,都会造成最后预测上巨大的差异。
那它到底没有确定解呢?
我们现在并不知道,但有一点可以确定。
越优雅的超级跑车,它越是最美的数学解。
爱因斯坦说过,纯数学使我们能够发现概念和联系这些概念的规律,这些概念和规律给了我们理解自然现象的钥匙。
N-S方程展现出一种无与伦比的美——简单、深邃与纯粹。
这是数学本身散发出来的那份优雅,它勾勒出纯电超跑SUV路特斯Eletre一样令人目眩神迷的弧线。
同样,那如飞矢一样驰骋在赛道里的超级跑车,它本身也就是第六大数学难题N-S方程的优秀答案。

大家都在看
-
颠覆认知!这6个自然形成的世界之最,看完直呼地球太会“整活” 你知道吗?地球藏着太多鬼斧神工的自然奇迹,它们不用一砖一瓦,全靠时光和地质运动雕琢,每一个都让人忍不住惊叹“这居然是自然形成的?”珠穆朗玛峰珠穆朗玛峰绝对是地球的“身高天花板”!海拔8848.86米,矗立于 ... 自然之最11-11
-
世界上最危险的5个景点,珠峰首当其冲,心脏不好的千万别去 有没有好玩儿但不花钱的旅游项目?当然有!客厅一日游了解一下。开个玩笑,旅游嘛,最重要的就是享受当下,花点钱也没啥!可如果迎来的不是惊喜,而是惊吓,你会不会想直接打开国家反诈?今天咱们就来看一看世界上最 ... 自然之最10-17
-
大冶之最,你知道多少? 一、矿冶历史与考古之最1. 铜绿山古铜矿遗址:五项世界顶级纪录持续采冶时间最长:从夏代(距今 4000 余年)延续至汉代,开采历史超 1000 年,入选中国百年百大考古发现。开采规模最大:已发掘井巷总长度约 8000 米 ... 自然之最10-16
-
地球 20 个自然之最:藏在星球里的神奇 感谢关注,持续为您提升阅读体验!地球历经亿万年演变,孕育出无数令人惊叹的自然奇观。以下 20 个 “地球之最”,每一个都藏着独特的神奇之处,用简单语言带你认识星球的别样风貌:1.马里亚纳海沟是地球最深海沟, ... 自然之最09-07
-
清代诗人的一首小诗,想象奇特,富有情趣,后两句可谓神来之笔! 季节的转身总藏在风的褶皱里。或许是黎明时分,窗帘缝漏进的第一缕风忽然带了凉意,像谁悄悄掖了掖被角;又或许是午夜梦回,檐下的雨丝斜斜掠过窗纱,把蝉鸣洗得淡了三分。它从不是仓促的告别,而是踮着脚走过青石板 ... 自然之最08-24
-
世界上降雪最多的地方 常年白雪覆盖(帕拉代斯山) 位于美国华盛顿州的帕拉代斯山,是世界上降雪量最多的地方之一。在地球上有些地方每年都会迎来大量的降雪,形成一片银装素裹的景象,而帕拉代斯山就是下雪量最多的地方,这个地方每年的降雪量可达11米以上,有些年份 ... 自然之最08-19
-
世界上降水量最大的地方 几乎每天都在下雨(毛辛拉姆) 印度毛辛拉姆的年降水量467英寸是降水量最大的地方。在我们的地球上,有些地方每年的降水量令人惊叹。毛辛拉姆这个神秘的地方每年都会吸引着无数探险者和自然爱好者的目光。印度毛辛拉姆位于印度的东北部,靠近孟加 ... 自然之最08-19
-
世界上最面积最小的大陆 面积850万平方公里(澳洲) 澳洲是世界七个大陆中面积最小的大陆。在地球上有七个大洲,分别是亚洲、非洲、北美洲、南美洲、欧洲、大洋洲和南极洲。其中面积最小的大陆是澳洲大陆。澳洲大陆位于南半球,是地球上最古老的大陆之一,也是唯一一个 ... 自然之最08-19
-
世界上温度最高的地方 沙漠中的热极(美国死亡谷) 美国死亡谷的温度可来到57.8摄氏度。美国死亡谷位于美国加利福尼亚州东南部,是北美洲最热、最干燥的地方。这里的气候极端炎热,夏季气温常常超过40摄氏度。在2012年,死亡谷的最高气温达到了56.7摄氏度,这是有记录 ... 自然之最08-19
-
世界上风力最强的地方 风俗超过300km/h(联邦海湾) 南极联邦海湾位于南极洲东北部,是世界上风力最强的地方。这里常年被强大的风力所笼罩,平均风速达到每小时200公里以上,最大风速可达每小时300公里左右。南极联邦海湾的风力之强,令人惊叹不已。风力形成原因 南极 ... 自然之最08-19
相关文章
- 世界上风力最强的地方 风俗超过300km/h(联邦海湾)
- 世界上最活跃的火山 基拉韦厄火山(活跃火山)
- 世界上最寒冷的人类居住地在哪儿
- 世界上最大的海是什么海(珊瑚海)
- 世界上黄金产量最多是哪个国家
- 世界上最安静的地方在哪儿
- 中国地理之最:从世界之巅到秘境奇观
- 写作写什么?最自然的东西才最有保存价值
- 世界母乳喂养日:生命之初,自然之乳
- 宁阳县第一人民医院母乳喂养宣传日丨生命之初的自然之爱,给宝宝最珍贵的“礼物”
- 沉沉醉山水间,邂逅自然诗情画意
- 刘亦菲38岁素颜自拍照流出,于无妆中邂逅纯粹自然之美
- 全国母乳喂养日丨生命之初,自然之乳
- 生命之初 自然之乳丨这场“全国母乳喂养宣传日”活动有料又有爱
- 甘肃之美:推荐5个最具特色自然景观。
- 凤翔峡原始生态旅游区探索自然之旅
- 嘉峪关最有灵性的5座山!您都去过吗?
- 国际博物馆日:德基艺术博物馆推出特别活动
- 自然分娩与剖腹产:哪个更好
- 520邂逅自然之爱 “山间动物的浪漫情书”邀你赴生态之约
热门阅读
-
张译和张铎,你真的能分清楚吗? 07-13
-
三年自然灾害毁灭了多少的东西,实属可怕 07-13
-
丹霞山阴阳石酷似男女生殖器,羞涩的人真的看不下去 07-13
-
世界上最高的十大山峰,珠穆朗玛峰稳居第一 07-13
-
俄罗斯十大城市排名:莫斯科第一,圣彼得堡第二 08-01
-
世界十大最缺水的国家排行榜,索马里位列第一 08-12
