如果以光速飞行,无论多远都会瞬间到达,真的这样吗?
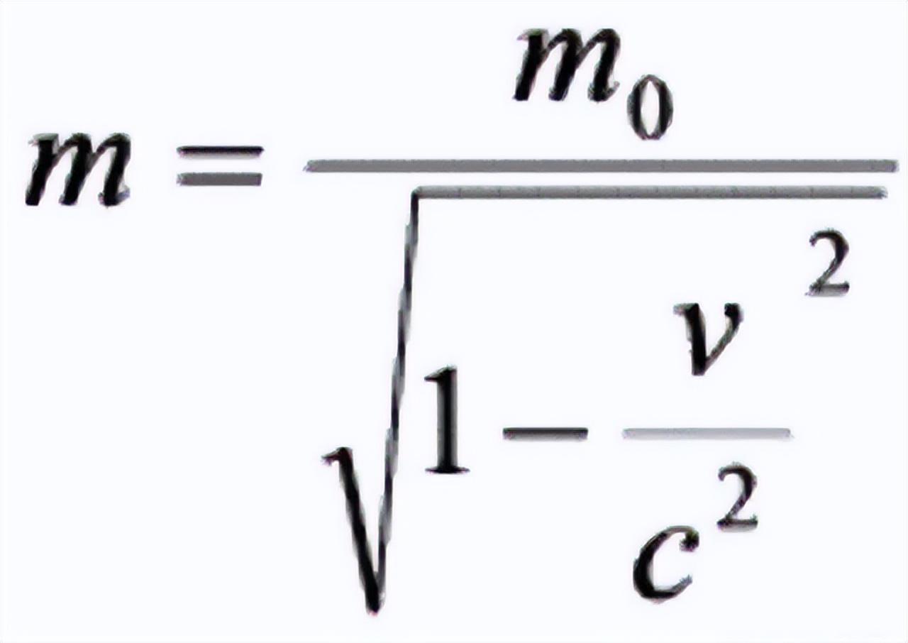
首先强调一点,人是不可能达到光速的,实际上不只是人,只要有静止质量的任何物质都不可能达到光速。相对论的质量效应公式说的很清楚:

其中m为运动物体的质量,m0为物体的静质量,V是物体的运动速度,C是光速,当V→C时,根式→0,则m→+∞,即质量会变得无穷大,也就是说如果物质运动速度想达到光速,全宇宙的能量用来对这个物体加速都不够。因而有静质量的物体是不可能达到光速的。
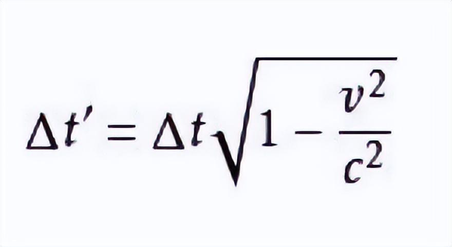
按照狭义相对论,物质随着速度逐渐接近光速,它的时间会过得很慢(这个慢不是感觉上的慢,而是流逝的慢,感觉上是感不到的)。这里有个公式可以清楚的表达:

其中△t′为运动物体的时间间隔,△t为相对(地球)静止的观察者的时间间隔,
V是物体的运动速度,C为光速。Ⅴ→C,则根式→0,则△t′→0。由此可见,时间的同时性具有相对性。地面观察者经历的一段很长的时间,在地面观察者看来高速运动物体上相对应地只过了很
短的一段时间。另外在高速运动物体上的观察者看来,前方的距离L也变短了,即

其中L0为地面观察者测量的距离,这样高速运动物体上的观察者尽管自己感觉
时间并没有变慢,但由于前方距离变短了,所以感觉用很短的时间就到达前方目的地了。而在地面观察者看来,这段距离并没有变短,而是高速运动的物体上的时间变慢了。反正不管怎么说,高速运动物体的确用了很短的时间就到达目的地,上面的观察者感觉上确实用了很短的时间,并且物体的速度越大,这种效应越明显,感觉用的时间越短……
假如咱们违反一下相对论的光速限制原理,这个人(高速运动物体)真达到光速了,会如何呢?咱们谈谈看法。
这也是很多人的想法
很多人会想物体运动速度越接近光速,其时间流逝的越慢。达到光速,那时间肯定就静止了,或者说为0了,因为根据上面相对论的钟慢尺缩公式也会得出这个结论。V=C时,根式=0,则△t′和L均变为0了,即无论“多远”的距离,在这个光速人看来距离都是0,距离为0,又怎么会用时间呢?又怎么能不感觉快呢?他甚至连“瞬间”也不用,因为“瞬间”还是个时间段,大小为0.36秒。而在地面观察者看来,这个光速人无论飞跃多远的距离,这个光速人没用一点时间,地面观察者看到这个光速人以达到光速那一刻的动作静止不动了。

实际上上述的情况只是人的一厢情愿,因为这已超出相对论的前提和范围了,还怎么能用相对论的结论?而事实上又如何呢?下面我们试着描述一下。
人如果达到光速了,人也就成为光了,
光速是时空脱离的界限,因此不再需要时间了。这句话的意思就是人达到光速,不是时间静止,而是不存在时间了,光速物质(包括这个光速人)不以时空方式存在了,而是以别的我们还不知的方式存在(比如宇宙大爆炸的“奇点”),宇宙时空对于这个人来说崩塌了。这个人成为了一个真正的宇宙自由者,一个已经没有躯壳的“神”。到了那个地步,就不是感觉瞬间到达,而是压根没有“感觉”了。你如果觉得神,觉得不能接受,那就不要动不动就达到光速飞行了。
最后再强调一下相对论中的“时间膨胀原理”,这个原理已经在我们生活中得到验证,起码有两个实验可以验证:
一个是电子钟实验。科学家们把两个非常精确的电子钟放到一架飞机上,另一个放在地面上静止,将两个电子钟的时间调到完全一致。放在飞机上的电子钟随着飞机环绕地球一圈,回来时把两个时钟指示的时间进行对比,发现飞机上的电子钟显示的时间,要比地面上的时钟出现了微小的变慢现象。
第二是原子钟实验。科学家利用锂原子的电子跃迁频率制作原子钟,一个在常态下测试电子跃迁频率,另一个对锂原子进行加速,测试在加速状态下电子的跃迁频率,结果发现被加速的锂原子电子的跃迁频率出现了负时移现象,也就是显示的时间变慢了。
大家都在看
-
从量子科技到元宇宙的崭新探索:中国科技为何引起全球瞩目? 合肥的实验室中,当光量子芯片在-271℃的超低温环境下闪烁着神秘的幽蓝光芒,显示着我国在前沿科技领域的前沿探索;在深圳,柔性屏幕薄如蝉翼,如同丝绸般可卷曲,展现了我国在新材料领域的创新实力;而在上海的生物 ... 宇宙探索03-23
-
显微镜下的奇妙世界:探索微观宇宙的无限奥秘 在我们的日常生活中,眼睛所能看到的世界仅仅是浩瀚宇宙的冰山一角。无数精妙的细节与宏大的结构,往往隐藏在肉眼无法触及的微观尺度之下,静默地运转着。而显微镜的发明,宛如一把神奇的钥匙,为我们打开了一扇通往 ... 宇宙探索03-23
-
《宇宙探索编辑部》追了半生宇宙,才懂平凡人间,才是终极答案 作为看遍各类科幻与现实题材的影评人,很少有一部电影能像《宇宙探索编辑部》这样,没有炫酷特效,没有惊天反转,却用最笨拙、最赤诚的理想主义,戳中无数人心里最软的地方。我们都曾像主角唐志军一样,抱着一份不被 ... 宇宙探索03-22
-
一个国家插入另一个国家? 一个国家插入另一个国家腹地会有什么影响?就像位于西非的冈比亚和塞内加尔。冈比亚占据冈比亚河下游两岸的狭长地带,犹如一把匕首插入塞内加尔中。冈比亚河是西非唯一通航海船的河流,由于冈比亚控制了主航道,内陆 ... 宇宙探索03-22
-
探索微观宇宙,见证科技奇迹!🔍🔬✨ 在这个由精密齿轮构成的微观宇宙里,每个细节都决定着系统的命运。一个微小的错位就能让整个系统陷入停滞,这就是系统的脆弱性,对细节的敏感度超乎想象。而点滴的校准是引导能量流向的关键。当细节被精准把控,能量 ... 宇宙探索03-22
-
第十九章:万灵共振,探索宇宙的奥秘,见证生命的奇迹!🚀✨ 唤醒生机之种的过程成了全银河生灵的共同使命。联盟向所有星球发出号召,用最纯粹的希望与勇气向枯寂星传递意念这两种情感。在法则层面恰是光的存续与暗的革新最鲜活的体现。·一、时间新银河的每一颗星球上,无论是 ... 宇宙探索03-21
-
探索宇宙的奥秘,揭开宇宙的神秘面纱!🔍🔬 宇宙究竟是平坦的还是弯曲的?这个问题让无数科学家和天文迷争论不休,真相究竟是什么?宇宙是否平坦一直是天文学界的一个热门话题。根据广义相对论,如果宇宙是平坦的,那么光线在宇宙中就能直线传播,不会发生弯曲 ... 宇宙探索03-19
-
太空探索:人类如何一步步走出地球,开启宇宙之旅 说起太空探索,很多人脑海里浮现的可能是宇航员穿着厚厚的宇航服,驾驶飞船飞向月球或者火星的画面。但其实,太空探索的故事远比这些画面更精彩、更复杂,也更充满了人类的智慧和勇气。今天咱们就来聊聊,这场人类走 ... 宇宙探索03-18
-
探索宇宙的奥秘,从大爆炸到黑洞,带你走进神秘的星空世界! 先说大爆炸吧。想象一下,138亿年前,整个宇宙其实是一个极其炽热、密度超高的“火球”,比太阳还要热千万倍,空间几乎没有。突然,这个“火球”开始疯狂膨胀,速度快得难以想象,这就是大爆炸。别误会,这不是普通 ... 宇宙探索03-18
-
探索宇宙奥秘:地球的起源与生成之旅🌍✨ 地球的起源与生成过程。耄耋视频。远古时期宇宙的起源和地球的生成是一个宏大且复杂的过程,涵盖了从宇宙大爆炸到地球形成的漫长演变历程。以下是对浩瀚宇宙、地球起源与生成过程的简要概述。宇宙的起源与浩瀚宇宙。 ... 宇宙探索03-16
相关文章
- 探索宇宙的奥秘,从大爆炸到黑洞,带你走进神秘的星空世界!
- 探索宇宙奥秘:地球的起源与生成之旅🌍✨
- 探索未知宇宙苍穹
- 北京天文馆“宇宙探索营”开启\中国人民抗日战争纪念馆卢沟桥抗战半景画全新升级……本周最新博物馆资讯点击——
- 从《宇宙探索编辑部》到《坠落的审判》,他用60余张海报设计解码光影背后的“无序公式”
- 科学家追踪引力波,结果发现更离谱的宇宙事件
- 以光速的20%飞行:科学家展示“实用”光帆探索宇宙
- 看不见的宇宙:暗物质与暗能量的证据、理论与探索
- 美国太空部队:要有攻击中国卫星能力,探索部署攻击性轨道航天器
- “大航天时代”会加速人类探索宇宙的进程吗
- 三种“超光速”现象,告诉你宇宙远比想象疯狂
- 微积分:探索宇宙无限奥秘的钥匙
- 探索月相奥秘,揭示宇宙的奇妙!🌙✨
- 宇宙或许不是无限的,它的总质量已经被推算出来
- 探索宇宙的奇迹,太空站俯瞰地球!🌍✨
- 宇宙探索:人类的火星梦想与深空探测
- 从水火土到夸克 2500年物质探索 重塑宇宙认知
- 暗物质捕手+天文AI,中国科学家把宇宙探索“卷”出新高度
- 航天科技究竟是什么?它为什么能让我们仰望星空,探索宇宙奥秘?
- 未来宇宙探索:与外星文明首次接触,是友是敌?
热门阅读
-
预言2030年太阳将休眠,恐怖的千年极寒将来临 07-11
-
中国十大元帅之死,多高寿而善终(林彪叛逃而死) 07-11
-
因果报应真实事例,做尽坏事必遭天谴 07-11
-
这6个神奇天体有很酷的名字 06-01
-
全球人口减少可能带来的六大教训和好处 07-18
-
离太阳最近的十大恒星排名,宇宙最大十大星球 04-12
精选文章
- 创生之柱是什么?(创生之柱给予了许多恒星生命)
- 中国51区秘密基地,窃密必被抓(抓住就杀头)
- 中国“天宫”空间站将在2022年前后建成 呈T字型有三个舱段最多可驻留6人 ...
- 新冠病患康复后,可能“精子减少或无精”
- 中国古代四大凶兽,四大神兽vs四大凶兽谁更强
- 2025年宇宙探索大爆发!月全食、火星冲日等,这些天文奇观别错过
- 黑龙江50万年死火山苏醒, 内含15%电量的巨大岩浆囊
- 误会一辈子!破伤风其实是一种细菌跟生锈铁完全没关系
- 美国同步空间态势感知项目(GSSAP)军事间谍卫星多次秘密靠近俄罗斯和中国的航天器 ...
- 中国长征五号B遥一运载火箭全貌曝光 本月底在海南文昌航天发射场进行首次发射 ...
