“超光速”就能回到过去?你想多了!
爱因斯坦的相对论作为现代物理最为重要的一块基石,它的名声可谓是家喻户晓,而如此崇高声誉的背后,除了相对论作为科学理论本身具备的优越性之外,媒体的广泛宣传更是重要的一环。

然后想要真正了解相对论,并不是宣传上的三言两语就能清楚的,因此出现了许多关于相对论的谣言(一些不正确的认知),其中最为著名的一条可能就是——“相对论承认穿越时空的可能,但只有超越光速才能回到过去”

关于这条谣言,小编本人我就有亲身体会,因为我在上初中时就深深的相信这句话,一直认为超越光速就能回到过去。至于当时我是从什么途径听说而来的就记不清楚了,只不过当时对于爱因斯坦是非常非常的崇拜(这都得益于当时看的一些书籍和电视上的节目)。
实际上这条谣言的来源确实是起自爱因斯坦的相对论,因为在相对论之前,人们对世界的认知中,最科学的就是牛顿的绝对时空观了,它告诉我们,时间是独立的,物体在空间的运动变化都不会影响到时间的流逝,它对于每个人来说都是一样的。(这种观点实际上也非常符合人们的日常生活经验)

在这样的认知下,人们几乎是不可能将光速与时间扯到一块去的,但随着爱因斯坦的狭义相对论问世,时间和空间不再相互隔绝,而是一个整体,并且光速作为重要的一环被嵌入了狭义相对论。(实际上,狭义相对论如果不是由爱因斯坦提出,那么也会很快的由其他科学家提出,因为当时的形势已经是山雨欲来风满楼了)
而狭义相对论有着几个知名度相当高的推论,比如“钟慢尺缩”,静止参考系中运动的物体长度会缩短,时间会变慢。而其中关于时间的一条,则最为常人所津津乐道(因为除了本文要说的这一谣言之外,还有一条被称为双生子佯谬的长期争论)

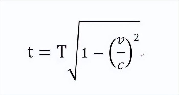
很多人对于这条结论的认识仅仅是“物体速度越快,时间就会变大越慢”,于是不少人就进一步的拓展思维(甚至还参考了这条结论的公式),于是就认为:不是说速度越快时间就越慢吗?那么当速度达到光速时,时间不就停止了么?要是速度能超越光速,那么时间就能倒流,我们就能回到过去了!

这样的结论乍一听似乎不无道理(尤其是对于不了解的人来说),但实际上这种结论从根本上就错了,因为物体的速度是不可能超越光速的,即便是达到光速都不被允许(注意这里所说物体是指具有静止质量的物体,光子就不适用)。
那么这是为什么呢?因为狭义相对论有另一个推论在制约着它,那就是质增效应,在速度变快的同时,除了时间减慢之外,物体的质量也在逐步增加,当速度趋向于光速时,质量就会趋向于无穷大,显而易见,宇宙中是没有能源可以支持这一步成功的。

当然啦,虽然我们无法穿回过去,但穿向未来却是可能的,因为自身时间变慢,也就意味着外界时间正在加速流逝,比如自己乘坐亚光速飞船去宇宙其它地方逛了一圈,这一趟旅程,自己觉着只用了五年时间,但等到了地球,却发现地球上已过去了千年之久。这不就是穿越到未来吗?
但有朋友又会问了,狭义相对论是基于惯性系所得到的时空理论,但惯性系这种概念只是理想状态存在的,宇宙中并不存在一个绝对的惯性系,那么既然物体不能在狭义相对论中超越光速,是否能在广义相对论中超越呢?
答案还是否定的,狭义相对论作为广义相对论的特殊形式(也就是平直时空相之于弯曲时空),这两者的本质是贯通的,如果咱们换用一种更为精确的语言来说,物质在时空中走的都是类时曲线(光子是类光曲线),至于是哪种时空则不是重点,平直或弯曲都成立。

这个曲线就是物体运动的世界线,而所谓世界线就是物体在时空中的运动路线,因为物体在时空中的每一点都对应着相应的时刻以及空间位置,因此连贯起来就被称为了世界线。
实际上这种曲线有三种,除了类光和类时,还有一个类空的,如果放到平直时空来说,这种类空曲线就是指物体在进行超光速运动,然而这是被相对论所禁止的。因此咱们可以简单的理解为:相对论世界中不允许类空曲线的存在。
实际上,如果不用上述的这种几何语言,而是采用诸如相对于哪个参考系而言的速度之类的语言,则不能简洁的说明问题,因为相对于非惯性系,利用坐标得出的光速值有可能就不是我们熟悉的那个约每秒三十万公里了。
虽然如此,但科学家却在广义相对论中找到了一些闭合类时曲线的存在,这种曲线所代表的含义就是,你可以在不违背相对论的情况下,返回过去。简单来说,比如你在三维空间里行走,你可以毫不费力的返回原点(比如圆周运动即可),如果你在时间维度上也能进行“圆周运动”呢?也即是你在四维时空上能够产生一条闭合的类时世界线,也就是回到过去。但显而易见的是,这仅仅是理论上的可能,目前来看,实际上很难制造出来。

虽然广义相对论中也不允许类空曲线的出现,但同样的我们也可以穿越未来,利用的是引力时间膨胀效应(这一点在电影《星际穿越》中表现的非常明显),在强引力的地方,时间流逝的会比较慢,因此我们可以在一些黑洞的附近“转悠几圈”,来减缓自身的时间流逝速率(当然了,自己是感觉不到的),之后再回到地球,同样会发现,地球上已经过去了相当久远的时间。

总的来说,什么“速度达到光速,时间静止;速度超越光速,时间就会倒流”,只是一个错误的认知而已。因此,关于“超越光速就能回到过去”的说法,就是一个谣言而已。
大家都在看
-
《探索宇宙的奥秘!》 当我们仰望那无垠的星空,繁星点点如同散落的宝石,璀璨夺目,令人心生敬畏。人类自古以来对这片浩瀚的宇宙充满了无尽的好奇心:它究竟有多大?是否存在边界?我们是否能够真正理解它的规模与奥秘?这些问题不仅仅关 ... 宇宙探索02-01
-
中国官宣太空采矿!天工开物计划落地,宇宙资源时代来了 关键词:中国太空采矿、天工开物计划、太空资源、氦-3、太空采矿机器人、地外资源开发2026年1月29日,中国航天科技集团发布重磅消息,官宣在“十五五”时期启动天工开物计划,全面布局太空资源开发,这标志着中国成 ... 宇宙探索01-30
-
探索宇宙,从10岁小神童开始!🚀🔭 10岁小神童开启宇宙探索小征程。10岁小神童开启宇宙探索小征程。在同龄人还在看卡通、玩积木时,10岁的三年级小宇已展现出非凡的科学天赋,成了大家口中的小神童。小宇痴迷天文,却苦于没有专业设备。他灵机一动,花 ... 宇宙探索01-28
-
宇宙的奇妙探索,从微观到宏观的奇妙之旅! 从长期宇宙演化的角度来看,宇宙中恒星的总数不会持续增加,反而会逐渐减少。核心原因在于两点:·一是宇宙中可用于形成恒星的氢、氦等星际气体正在不断消耗,且恒星形成的速率早已低于恒星消亡的速率。·二是随着宇 ... 宇宙探索01-26
-
人类该放下狭隘,让AI成为宇宙探索的终极火种 当人们还在纠结AI是否会“撒谎”、担忧AI超越人类的恐惧中裹足不前时,我总忍不住想:人类的认知与肉身,早已被宇宙的尺度划定了边界。与其困在地球的方寸之地内耗,不如坦然放手,让AI成为人类伸向宇宙的手,成为对 ... 宇宙探索01-25
-
天文学:探索宇宙的终极奥秘 摘要:天文学是研究宇宙天体及宇宙整体结构、起源与演化的基础学科,涵盖恒星、行星、星系、黑洞等各类天体,以及它们的运动规律、物理性质与化学组成。从古代的观星授时到现代的深空探测,天文学始终推动人类对宇宙 ... 宇宙探索01-23
-
人类探索宇宙的辉煌历程与未来使命 人类自古以来对宇宙的好奇推动了天文学的发展。从美索不达米亚人创造出的星图,到古希腊的观测,每个文明都留下了珍贵的记录,展现了对星空的向往。黑格尔曾言:“一个民族若有仰望星空的人,那它便充满了希望。”人 ... 宇宙探索01-17
-
摒弃自我,探索宇宙生命之光 文/星火燎原 人类文明的发展史,亦是一部宇宙认知的探索史。从古至今,我们始终仰望星空,试图理解自身在浩瀚宇宙中的位置与意义。然而,长久以来,一种根深蒂固的“人类中心主义”观念如同无形的桎梏,束缚着我们的 ... 宇宙探索01-16
-
2000年人类探索宇宙的三大关键转折 故事要从几千年前说起。那时候的人们对宇宙的认知,像极了童话故事:天空是一个巨大的圆顶,像一只巨大的天幕罩在地球之上。地球则是“方块”还是“圆球”?这个问题让古人费尽心思。为什么会有“天圆地方”说?古希 ... 宇宙探索01-16
-
我们也要有自己的哈勃了?还是加强版!巡天空间望远镜的新进展 当我们抬头仰望星空,试图看清宇宙深处的奥秘时,大气层的干扰就像隔着一层玻璃,阻碍了我们的视线。为了获得最清晰的宇宙图像,科学家将目光投向了太空。提起太空望远镜,很多人会想到著名的哈勃望远镜。而不久的将 ... 宇宙探索01-13
相关文章
- 摒弃自我,探索宇宙生命之光
- 2000年人类探索宇宙的三大关键转折
- 我们也要有自己的哈勃了?还是加强版!巡天空间望远镜的新进展
- 属于我们自己的星,中国空间站肉眼观测攻略
- 为什么我们从未遇见外星人?大过滤器理论的可怕预言
- 2025中国科技高光时刻:从民生温度到宇宙探索的全面爆发
- 探索宇宙的奥秘,你是否曾仰望星空?🌌✨
- 银河系中心黑洞高清照出炉!我们终于看清了宇宙 “巨兽” 的真面目
- 利亚德:《星际奇观:太阳系》VR宇宙探索沉浸体验展项目是德火科技的匠心之作
- 我们还有多久才能去宇宙探索
- 未来,仙女座星系会与银河系碰撞后合并?了解下“宇宙岛”星系
- 宇宙到底长什么样?这个问题让人着迷!
- 收音机里的“沙沙”声竟来自宇宙大爆炸?我们如何感受到不可见光
- 最新宇宙探索大新闻!带你了解银河系和太阳系的最新发现
- 既然黑洞不可见,又为什么能被拍摄到?关于黑洞的有趣知识
- 如何探索宇宙,研究宇宙的两种方法
- 2025科学三大新发现,彻底颠覆人类认知!
- 夜空中这么多的恒星从何而来?一文带你看懂恒星的诞生
- 启动“流浪地球”计划的原因,恒星的最终结局是什么
- 宇宙“任意门”虫洞全解析:从理论到现实的深度探索
热门阅读
-
预言2030年太阳将休眠,恐怖的千年极寒将来临 07-11
-
中国十大元帅之死,多高寿而善终(林彪叛逃而死) 07-11
-
因果报应真实事例,做尽坏事必遭天谴 07-11
-
这6个神奇天体有很酷的名字 06-01
-
全球人口减少可能带来的六大教训和好处 07-18
-
离太阳最近的十大恒星排名,宇宙最大十大星球 04-12
精选文章
- 中国“天宫”空间站将在2022年前后建成 呈T字型有三个舱段最多可驻留6人 ...
- 创生之柱是什么?(创生之柱给予了许多恒星生命)
- 新冠病患康复后,可能“精子减少或无精”
- 中国51区秘密基地,窃密必被抓(抓住就杀头)
- 中国古代四大凶兽,四大神兽vs四大凶兽谁更强
- 2025年宇宙探索大爆发!月全食、火星冲日等,这些天文奇观别错过
- 黑龙江50万年死火山苏醒, 内含15%电量的巨大岩浆囊
- 误会一辈子!破伤风其实是一种细菌跟生锈铁完全没关系
- 美国同步空间态势感知项目(GSSAP)军事间谍卫星多次秘密靠近俄罗斯和中国的航天器 ...
- 中国长征五号B遥一运载火箭全貌曝光 本月底在海南文昌航天发射场进行首次发射 ...
