现在并不真正存在,我们都是时间旅行者,向未来前进

时间旅行—它是许多物理学家和科幻作家心中的圣杯。可能吗?如果是这样,我们能否找到一种方法来驾驭它而不毁灭自己,毁灭世界,甚至我们的宇宙?时间旅行在我们的许多梦想中占有特殊的地位。我们中的大多数人,在某一时刻,希望我们能够“回到”生活中的某个特定时刻,重新体验它,这样我们就能调整自己或他人的生活轨迹,并取得更好的结果。
时间旅行的概念可能可以追溯到几十年,甚至几百年以前,当我们的一个早期祖先第一次后悔一些轻浮的行为,导致一些意想不到的后果,并想象一切都变好了。当然,那个人并没有准确地思考“时间旅行”这个词,但这已经足够让幻想时间旅行的齿轮转动了。
后来,作家们会发明一些方法,让他们的主要角色看到甚至进入未来的世界。没过多久,威尔斯的时间机器开启了现代的魅力,让我们有能力去探索时间,就好像它只是另一个空间维度一样,通过建造可以带我们穿时间的设备,就像一艘远洋班轮带我们去另一个大陆一样。

时间旅行机器会以某种方式使时空弯曲,使其自身弯曲,形成一个循环。旅行者在时空中的某个点进入这个循环,并在过去或未来的某个时间从另一个点退出。这台机器用来达到这种效果的方式因科学家或作家的不同而有所不同,尽管有些人想象出一种具有所谓“负能量密度”的外来物质的形式,导致它向推动它的力移动。
最后,我们通过了临界速度限制,此时总行程时间为负数——我们回到了过去!在这种情况下,在飞船从发射台起飞前往行星之前的一段时间,一对新的真正的宇宙飞船在着陆台上被制造出来,其中一艘朝着行星起飞。然后,原来的宇宙飞船在正常时间起飞,它们像以前一样在行星上湮灭。
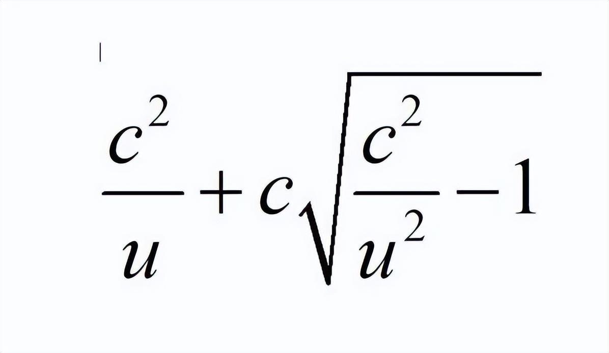
这种可能回到“过去”的旅行总是导致旅行者的两个版本,两者总是互相毁灭。其中一艘船是由上述奇异的’负物质‘组成的。劳埃德提供了他的时间旅行方程。要在时间上向后旅行,航天器的速度必须超过:

其中u是行星相对地球的速度,c是光速。长期以来,“顶级自然时间机器”的竞争者之一是独一无二的黑洞,它是一个密度极高的奇点,连光都无法逃脱它的引力。已故的斯蒂芬·霍金博士提出,如果宇宙飞船上的宇航员能够绕着视界飞行(光粒子无法返回的点),那么他们经历时间的速度可能只有其他人的50%。实际上,这些宇航员将相对于他们在地球上的朋友和亲戚前往未来。

另一种可能允许时间旅行的自然现象是宇宙弦,那些理论上的中空能带可能从所有造物的一端延伸到另一端。如此巨大的物体将包含大量的物质,因此质量和重力可能会扭曲它们周围的时空。如果宇宙弦存在,它们要么无限延伸,要么自我循环。
天文学家弗兰克·蒂普勒借用了黑洞和宇宙弦背后的一些科学原理,提出了他所谓的“无限圆柱”。他的构想将是一个质量为10个太阳的圆柱形物体,旋转速度设定为数十亿转每分钟,一艘宇宙飞船将围绕这个圆柱形物体作一个紧密的螺旋飞行,试图达到一个闭合的、类似于时间的曲线。然而,圆柱体需要无限长,这使得任何实验都变得毫无意义。
在爱因斯坦的广义相对论著作中,实际上并没有发现任何东西可以明确地排除封闭的时间型曲线、穿越时空的隧道等等。简而言之,基于我们今天所理解的物理学,时间旅行是可能的。为了论证,让我们接受其中一个时间旅行选项确实有效,以及我们潜在的时间旅行者参加人类历史上最令人难忘的旅程之一,然后我们发现自己立即害怕各种时间旅行悖论的所有可能性。

其中之一就是“祖父悖论”,我们许多人通过科幻文学和电影中的许多解释都很熟悉它。这个悖论的基础是,有人可能会回到他们的祖父或任何祖父母还是婴儿的时候,杀死他们(或意外导致他们死亡)。如果你成功做到了这一点,那么瞧!你制造了一个悖论。为什么?如果你的祖先在怀上你的父母之前就去世了,你怎么可能有时间旅行呢?因此,这是一个悖论。
由于这种可能性,理论物理学家认为:A)时间以某种方式保护自己并且会阻止你永远无法杀死你的祖先,或者B)你真的成功了,但是当你回到现在, 你发现你实际上只是创造了一个你从未出生过的新的备用时间表。最后一个C)是可以称为并行宇宙的例子。
另一个悖论来自美国理论物理学家西奥多·波尔金斯基。他描述了一个事件,我们把一个球扔进虫洞,它穿过(隧道时空),并就在球被扔进虫洞之前退出。然后它撞向自己,阻止自己从一开始就进入虫洞。俄罗斯物理学家诺维科夫在20世纪80年代提出了他所谓的“自我一致性原则”。这表明,虽然时间旅行是可能的,但时间旅行悖论不会。

短篇小说《雷霆之声》提供了一个时间轴腐败假说的例子。这是著名的“蝴蝶效应”概念的时间旅行版本,即最小的行为或事件随着时间的推移,通过影响更多的行为和事件,在一个涟漪雪球效应中复合。在《雷霆之声》中,一个时间旅行者在参观侏罗纪时不小心踩到了一只蝴蝶,当他的团队回到现在,他们发现了一个人类从未进化过的世界。
其次,我们有所谓的“宿命论”悖论,在这个悖论中,一个时间旅行者为了阻止某一事件而回到过去,但实际上却成为了该事件的起因。这是一个时间因果循环的例子:A导致B导致A。当然,在一些电影中可以看到这种因果循环在现实生活中出现,比如《宿命》、《时间旅行者的妻子》、《环形使者》和现代时间旅行经典之作《12只猴子》。
这就引出了一个相关的类型,称为起源悖论。在这种情况下,时间旅行者——也许是时间机器的发明者——回到过去给自己制定时间机器的计划。所以问题就变成了:这些计划到底是什么时候制定出来的?在这种情况下,时间旅行的行为抹去了计划的起源。

同样的(有点相反的),当时间旅行者回到过去撤销一些事情的时候,我们会遇到这样的悖论。如果你决定回到1889年,在阿道夫·希特勒还是个婴儿的时候就杀了他,以防止他的暴行,而你成功了,那么你就把回到过去的原因从一开始就抹去了。没有希特勒,没有理由去杀他。
许多理论家普遍认为,未来的时间旅行 - 使用相对论和旅行速度快于光速的方法 - 很有可能,而由于许多悖论,一些时间可能无法进入过去。也许有一天,一些宇航员可能会通过虫洞穿越时间,或者只是在一个活动视界附近逗留一段时间。我们现在除了考虑这个问题外,没有别的事情可做。
无论如何,我们都是时间旅行者,向着未来前进。现在并不真正存在,因为我们总是对已经发生的事件做出反应或观察,而这些事件的发生是由于我们的感觉与我们的大脑感知和解释之间的时间差造成的。我们的思想生活在过去,同时不断地猜测接下来会发生什么。
大家都在看
-
《探索宇宙的奥秘!》 当我们仰望那无垠的星空,繁星点点如同散落的宝石,璀璨夺目,令人心生敬畏。人类自古以来对这片浩瀚的宇宙充满了无尽的好奇心:它究竟有多大?是否存在边界?我们是否能够真正理解它的规模与奥秘?这些问题不仅仅关 ... 宇宙探索02-01
-
中国官宣太空采矿!天工开物计划落地,宇宙资源时代来了 关键词:中国太空采矿、天工开物计划、太空资源、氦-3、太空采矿机器人、地外资源开发2026年1月29日,中国航天科技集团发布重磅消息,官宣在“十五五”时期启动天工开物计划,全面布局太空资源开发,这标志着中国成 ... 宇宙探索01-30
-
探索宇宙,从10岁小神童开始!🚀🔭 10岁小神童开启宇宙探索小征程。10岁小神童开启宇宙探索小征程。在同龄人还在看卡通、玩积木时,10岁的三年级小宇已展现出非凡的科学天赋,成了大家口中的小神童。小宇痴迷天文,却苦于没有专业设备。他灵机一动,花 ... 宇宙探索01-28
-
宇宙的奇妙探索,从微观到宏观的奇妙之旅! 从长期宇宙演化的角度来看,宇宙中恒星的总数不会持续增加,反而会逐渐减少。核心原因在于两点:·一是宇宙中可用于形成恒星的氢、氦等星际气体正在不断消耗,且恒星形成的速率早已低于恒星消亡的速率。·二是随着宇 ... 宇宙探索01-26
-
人类该放下狭隘,让AI成为宇宙探索的终极火种 当人们还在纠结AI是否会“撒谎”、担忧AI超越人类的恐惧中裹足不前时,我总忍不住想:人类的认知与肉身,早已被宇宙的尺度划定了边界。与其困在地球的方寸之地内耗,不如坦然放手,让AI成为人类伸向宇宙的手,成为对 ... 宇宙探索01-25
-
天文学:探索宇宙的终极奥秘 摘要:天文学是研究宇宙天体及宇宙整体结构、起源与演化的基础学科,涵盖恒星、行星、星系、黑洞等各类天体,以及它们的运动规律、物理性质与化学组成。从古代的观星授时到现代的深空探测,天文学始终推动人类对宇宙 ... 宇宙探索01-23
-
人类探索宇宙的辉煌历程与未来使命 人类自古以来对宇宙的好奇推动了天文学的发展。从美索不达米亚人创造出的星图,到古希腊的观测,每个文明都留下了珍贵的记录,展现了对星空的向往。黑格尔曾言:“一个民族若有仰望星空的人,那它便充满了希望。”人 ... 宇宙探索01-17
-
摒弃自我,探索宇宙生命之光 文/星火燎原 人类文明的发展史,亦是一部宇宙认知的探索史。从古至今,我们始终仰望星空,试图理解自身在浩瀚宇宙中的位置与意义。然而,长久以来,一种根深蒂固的“人类中心主义”观念如同无形的桎梏,束缚着我们的 ... 宇宙探索01-16
-
2000年人类探索宇宙的三大关键转折 故事要从几千年前说起。那时候的人们对宇宙的认知,像极了童话故事:天空是一个巨大的圆顶,像一只巨大的天幕罩在地球之上。地球则是“方块”还是“圆球”?这个问题让古人费尽心思。为什么会有“天圆地方”说?古希 ... 宇宙探索01-16
-
我们也要有自己的哈勃了?还是加强版!巡天空间望远镜的新进展 当我们抬头仰望星空,试图看清宇宙深处的奥秘时,大气层的干扰就像隔着一层玻璃,阻碍了我们的视线。为了获得最清晰的宇宙图像,科学家将目光投向了太空。提起太空望远镜,很多人会想到著名的哈勃望远镜。而不久的将 ... 宇宙探索01-13
相关文章
- 探索宇宙充满挑战 航天专家称未来远航或需配备医生
- 人类探索宇宙的辉煌历程与未来使命
- 摒弃自我,探索宇宙生命之光
- 2000年人类探索宇宙的三大关键转折
- 我们也要有自己的哈勃了?还是加强版!巡天空间望远镜的新进展
- 属于我们自己的星,中国空间站肉眼观测攻略
- 为什么我们从未遇见外星人?大过滤器理论的可怕预言
- 2025中国科技高光时刻:从民生温度到宇宙探索的全面爆发
- 探索宇宙的奥秘,你是否曾仰望星空?🌌✨
- 银河系中心黑洞高清照出炉!我们终于看清了宇宙 “巨兽” 的真面目
- 利亚德:《星际奇观:太阳系》VR宇宙探索沉浸体验展项目是德火科技的匠心之作
- 我们还有多久才能去宇宙探索
- 未来,仙女座星系会与银河系碰撞后合并?了解下“宇宙岛”星系
- 宇宙到底长什么样?这个问题让人着迷!
- 收音机里的“沙沙”声竟来自宇宙大爆炸?我们如何感受到不可见光
- 最新宇宙探索大新闻!带你了解银河系和太阳系的最新发现
- 既然黑洞不可见,又为什么能被拍摄到?关于黑洞的有趣知识
- 如何探索宇宙,研究宇宙的两种方法
- 2025科学三大新发现,彻底颠覆人类认知!
- 夜空中这么多的恒星从何而来?一文带你看懂恒星的诞生
热门阅读
-
预言2030年太阳将休眠,恐怖的千年极寒将来临 07-11
-
中国十大元帅之死,多高寿而善终(林彪叛逃而死) 07-11
-
因果报应真实事例,做尽坏事必遭天谴 07-11
-
这6个神奇天体有很酷的名字 06-01
-
全球人口减少可能带来的六大教训和好处 07-18
-
离太阳最近的十大恒星排名,宇宙最大十大星球 04-12
精选文章
- 中国“天宫”空间站将在2022年前后建成 呈T字型有三个舱段最多可驻留6人 ...
- 创生之柱是什么?(创生之柱给予了许多恒星生命)
- 新冠病患康复后,可能“精子减少或无精”
- 中国51区秘密基地,窃密必被抓(抓住就杀头)
- 中国古代四大凶兽,四大神兽vs四大凶兽谁更强
- 2025年宇宙探索大爆发!月全食、火星冲日等,这些天文奇观别错过
- 黑龙江50万年死火山苏醒, 内含15%电量的巨大岩浆囊
- 误会一辈子!破伤风其实是一种细菌跟生锈铁完全没关系
- 美国同步空间态势感知项目(GSSAP)军事间谍卫星多次秘密靠近俄罗斯和中国的航天器 ...
- 中国长征五号B遥一运载火箭全貌曝光 本月底在海南文昌航天发射场进行首次发射 ...
