在旋转黑洞能层中静止的物体超光速?
在旋转黑洞能层中静止的物体是超光速的。这句话听起来是相当矛盾的:物体怎么可能既静止又超光速呢?为了理解这句话背后的真实情况,我们还得从基础说起。
类时、类光和类空
在20世纪之前,人们认为时间是脱离三维空间的独立维度。在三维空间中,不管坐标系是如何选取的,两个固定点的距离是恒定的,我们可以用如下公式表示:ds²=dx²+dy²+dz²。
后来,闵科夫斯基提出,洛伦兹变换是由三维空间和一维时间所构成的四维时空的变换。从此,单独的空间和单独的时间便不复存在,而只有二者的结合才是一项真实的存在。为了纪念他,人们把狭义相对论中的四维时空对应的几何叫作闵科夫斯基几何。
在闵科夫斯基几何中,两点之间的距离不再是一个不变的值,取而代之的是两个事件之间的时空间隔,我们可以用公式表示: ds²=-c²dt²+dx²+dy²+dz²。与三维空间中的距离不同,时空间隔ds²不仅可以是正数,也可以是负数和零。
使ds²<0的区域是类时的,这是一个不必超过光速就可以到达的区域,两个事件之间可以有因果关系;使ds²=0的区域是类光的,在这个区域当中只能以光速运动,两个事件之间只能有一种因果关系;使ds²>0的区域是类空的,这是一个只有超光速才能到达的区域,事件之间没有因果关系。

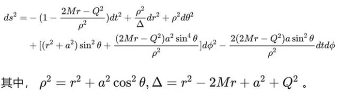
克尔-纽曼黑洞
在爱因斯坦发表广义相对论不久,史瓦西就得到了第一个解,我们称之为史瓦西解。但史瓦西解是比较简单的,只和质量有关。后来,又有物理学家把带电量也加入进去,得到了带电施瓦西解,或称为R-N解。1963年,克尔考虑了旋转的情况,得到了克尔解。后来,纽曼等人把克尔解推广到带电的情况,得到了克尔-纽曼解。在G=C=1的自然单位制下,我们可以把它写成如下形式:

从这个公式我们可以看出,它由质量M、电荷Q和角动量J这三个参数所决定,角动量J是以单位质量角动量a=J/M来表示。当角动量为零时,它会退化成R-N解;当电荷为零时,它会退化成克尔解;当角动量和电荷为零时,它会退化成史瓦西解。

从上图两个式子我们可以看出,无限红移面和视界并不像我们所熟悉的史瓦西黑洞一样是重叠的。在无限红移面和视界之间,就是所谓的能层:外无限红移面和外视界之间是外能层,内无限红移面和内视界之间是内能层。此外,内外两个视界之间的区域是单向膜区,进入此区域的物体将不可避免向内部落去。

拖拽效应
现在,我们考虑一个在克尔-纽曼时空中静止的物体。此时,dr=dθ=dΦ=0,我们可以将克尔-纽曼解写成以下形式:

事实上,物体在无限红移面和能层中会被迫转动,而这种转动是旋转黑洞的引力场所拖动的。因为无限红移面是时空中物体可静止和不可静止的一个边界,所有它也被叫作静界。
大家都在看
-
探索宇宙秘境:我国正式启动地外生命探寻工程 探索宇宙秘境:我国正式启动地外生命探寻工程2024年10月,我国发布《国家空间科学中长期发展规划(2024—2050年)》,明确将“地外生命探寻”列为核心任务,正式开启迈向宇宙深处、寻找生命踪迹的科学征程 。这是我 ... 宇宙探索04-30
-
4.2万亿个粒子构建数字虚拟宇宙 “千衍”助力天文探索 今天(23日),中国科学院国家天文台发布宇宙学模拟项目“千衍”。由中国科学家领衔的国际团队成功在超级计算机中构建出一个数字虚拟宇宙,为人类探索宇宙奥秘、研究宇宙的演化历史提供了强大的数字工具。中国科学家 ... 宇宙探索04-25
-
探索宇宙的意义和价值是什么 从科学认知的角度看,宇宙探索正以前所未有的深度,挑战并重塑着人类对自身在宇宙中位置的认知。最具标志性的发现,来自詹姆斯·韦布空间望远镜。它在距离地球124光年的系外行星K2-18b大气中,以99.7% 的统计置信度 ... 宇宙探索04-25
-
抬头!看!中国人探索宇宙的脚步从未停止! 从东方红一号到中国载人飞船系统中国火星探测任务中国载人探月工程……中国人探索宇宙的脚步从未停止!我们曾畅想的,正在由我们书写我们曾仰望的,正在被我们抵达中国航天的每一步都值得我们骄傲!今天是中国航天日 ... 宇宙探索04-25
-
从"太空竞赛"到"精打细算"!冷战之后为何不再疯狂探索宇宙? 导语: 上世纪六七十年代,美苏两国像打了鸡血一样往天上扔火箭,火星、金星、月球被轮番"打卡"。可如今呢?NASA的预算一缩再缩,人类登月计划一拖再拖。太空探索怎么就"熄火"了?一、冷战没了, ... 宇宙探索04-23
-
东西方智慧终极交汇:熵即是阴阳,坤0为首探索宇宙本源 《结构互鉴,文明共生》系列第十二此文为四月系列收官篇,全篇以东西方文明对话为纲,从热力学熵的本源出发,贯通信息、生命、演化、宇宙法则四大维度,把西方现代科学的严密数理,与中华《易经》的阴阳大道熔于一炉 ... 宇宙探索04-23
-
美UFO纪录片导演:当下正处于探索外星文明转折点,“宇宙中人类并不孤单” “真相终将浮出水面,人类并非宇宙中唯一存在的智慧生命。”美国“不明飞行物”(UFO)纪录片《揭秘时代》(The Age of Disclosure)的导演兼制片人丹·法拉赫日前在接受采访时指出,在探索外星生命领域,世界正处于 ... 宇宙探索04-21
-
宇宙探索·中子星:宇宙最极端的天体 宇宙探索中子星:宇宙最极端的天体如果你觉得地球上最坚硬的钻石或者最炽热的熔岩已经算是极端,那么宇宙里有一种天体会让所有地球上的"极端"相形见绌——它就是中子星。一颗质量比太阳更大的恒星,在生命终 ... 宇宙探索04-21
-
男人独自探索宇宙竟碰到了巨大的外星生物 就在半小时前,男人驾驶着飞船降落在这颗冰雪覆盖的星球,放眼看去完全就是一片白雪皑皑,零下两百度的气温更是让他举步维艰。但让他心情澎湃的是,他发现这里氧气非常充足。在确定基本生存条件达标之后,还有更加重 ... 宇宙探索04-17
-
人类探索宇宙的意义何在 从科学家的望远镜,到工程师的实验室,再到国家战略的蓝图,人类探索宇宙的意义,远不止于仰望星空。它是一场由好奇心驱动、被技术赋能、为未来布局的系统性远征。要看清其全貌,我们需要跳出单一视角,从科学、技术 ... 宇宙探索04-13
相关文章
- 人类探索宇宙的意义何在
- 数据时代正在重新定义科研:本科生如何借助工具发现宇宙新事物?
- 人类为什么要探索宇宙
- 《宇宙探索编辑部》:科幻外壳下的教育隐喻
- 航天科技如何推动人类探索宇宙
- 全球首个地月太空港口落地中国!钱学森百年构想,成深空探索枢纽
- 别再说太空探索是烧钱!中国这波基建,直接把宇宙当工地
- 沉浸在书中的宇宙,探索无尽的星空!📖✨
- 中国第二阶梯
- 刘慈欣科幻漫画宇宙探索中心本周六开放,早鸟票已开售
- 刘慈欣科幻漫画宇宙探索中心落户通州,本周六迎客
- 提前探访,先睹为快!刘慈欣科幻漫画宇宙探索中心落户通州
- 太棒了!刘慈欣科幻漫画宇宙探索中心落户北京通州!周六迎客
- 刘慈欣科幻漫画宇宙探索中心本周通州迎客!
- 为何天上有颗“深圳星”?深圳科技馆馆长跟你聊宇宙探索、讲科学故事
- 从量子科技到元宇宙的崭新探索:中国科技为何引起全球瞩目?
- 显微镜下的奇妙世界:探索微观宇宙的无限奥秘
- 《宇宙探索编辑部》追了半生宇宙,才懂平凡人间,才是终极答案
- 一个国家插入另一个国家?
- 探索微观宇宙,见证科技奇迹!🔍🔬✨
热门阅读
-
预言2030年太阳将休眠,恐怖的千年极寒将来临 07-11
-
中国十大元帅之死,多高寿而善终(林彪叛逃而死) 07-11
-
因果报应真实事例,做尽坏事必遭天谴 07-11
-
这6个神奇天体有很酷的名字 06-01
-
全球人口减少可能带来的六大教训和好处 07-18
-
离太阳最近的十大恒星排名,宇宙最大十大星球 04-12
精选文章
- 创生之柱是什么?(创生之柱给予了许多恒星生命)
- 中国51区秘密基地,窃密必被抓(抓住就杀头)
- 中国“天宫”空间站将在2022年前后建成 呈T字型有三个舱段最多可驻留6人 ...
- 2025年宇宙探索大爆发!月全食、火星冲日等,这些天文奇观别错过
- 中国古代四大凶兽,四大神兽vs四大凶兽谁更强
- 黑龙江50万年死火山苏醒, 内含15%电量的巨大岩浆囊
- 新冠病患康复后,可能“精子减少或无精”
- 误会一辈子!破伤风其实是一种细菌跟生锈铁完全没关系
- 美国同步空间态势感知项目(GSSAP)军事间谍卫星多次秘密靠近俄罗斯和中国的航天器 ...
- 中国长征五号B遥一运载火箭全貌曝光 本月底在海南文昌航天发射场进行首次发射 ...
