男子驾车发生离奇车祸,双手双脚被胶带缠绑,曾入选美国未解之谜
Hello 大家好 欢迎收看最新一期节目,我是小渊。
今天我们来讲一位美国军人的案件,
他遭遇了一件离奇的车祸,平白无故的身上的手和脚都被绑了起来。
身上两颗乳头还在出事前就被人残忍割下。
前任妻子的行为到底是纯属巧合,还是蓄谋已久,
争议似乎从未休止,案件还上了美国未解之谜这档著名的节目。
在离奇车祸的背后,究竟埋藏着怎样的真相,
到底是谁在用黑色手段掩盖自己的秘密。
真相的入口好像就在眼前,但又似乎遥不可及。

故事还得从美国德州的圣安东尼奥(San Antonio,Texas )说起,
2003年4月16号这天,像往常一样,当地10号洲际公路上,依然是车水马龙。
突然之间,一辆金色的福特水星轿车,大角度撞向中央隔离带。
被这辆汽车吓到的其他车主,连忙爆了几句粗口压压惊。
在撞到隔离带后,福特轿车并没有停下来,就好像什么也都没有发生那样。
在继续行驶数英里后,
它在约翰斯路(the Johns Road)出口附近驶出了洲际公路,
冲进了旁边的丛林,在与树木发生碰撞后,才最终停了下来。
巡警接到报警后,很快赶了过来。
他们认为这个司机要么是嗑了药喝了酒,要么是心脏病发作。
可在现场看到的一幕,让他们永生难忘。
干了这么多年巡警,如此奇怪的交通事故,还是第一次见。
巡警仔细观察后发现,驾驶轿车的司机是个中年男子,
在发生事故前,他就已经受了致命伤。
上半身还有个6英寸长的伤口,明显不是由于撞击引起的。
更离奇的是,男子的手和脚都绑着胶带,
两个乳头居然被人割掉了,小指的指尖也被割了下来。
巡警一直怀疑自己在做梦,
在他的认知中,这种场景只有电影才敢这么演。

在把现场信息传回警局后,警方获悉,
发生事故的男子名叫菲利普(Philip Shu),
案发时54岁,是美军的一名上校,
也是军队里的一名精神病医生,
曾任职拉克兰空军基地(Lackland Air Force Base)的医疗中心。
菲利普为空军工作了超过23年,计划在六个月后退休。
资料显示,这个菲利普不是普通的老兵,
因为在役期间,他获得的奖项和荣誉多得数不胜数,是军队里的知名人物。
警方非常不解,如此奇怪的事情会发生在一个军医身上。
为了弄清真相,他们找到了死者的家人。
第一个就是死者的现任妻子特蕾西(Tracy)。
从警员口中获悉丈夫去世的消息后,特蕾西非常伤心。
她表示在今天早上五点半时,
丈夫就离开了住所,说要去处理一些工作上的尾巴。
在出发前,丈夫还喝了自己例行准备的咖啡,
两人还讨论了退役后的生活计划。

菲利普
根据资料 菲利普和特蕾西在1988年相识,
当时两人都驻扎在同一个空军基地,后来还成为了好朋友。
只要有空时总喜欢呆在一起聊聊天解解闷。
在枯燥的军营生活中,男女之间的荷尔蒙总是不错的解闷药方。
这也是为何美国军队中时不时会传出性丑闻,
尤其是常年在海上执行任务的海军,
之前企业号核动力航母就被曝出,舰长带头拍“不雅视频”。

奥诺思(Owen Honors)舰长
1993年时,菲利普和前妻南希(Nancy)离婚,
因为菲利普觉得,和前妻生活在一起时自己过得很辛苦,
无论是在精神上还是物质上。
当被问及丈夫最近是否和别人发生过矛盾时,特蕾西提到了丈夫的前妻南希。
在离婚之前,前妻购买了人寿保险,被保险人是菲利普,受益人是前妻。
离婚后菲利普一直想让前妻取消这些保单,但始终未能成功。
当时保险公司是这样解释的,这份保单是由菲利普前妻购买的,
没有前妻的同意就没法取消。
就好像你朋友用手机帮你叫了一份外卖,要取消这份外卖只能让你朋友取消。
无奈的菲利普就找到保险公司,希望绕过投保人前妻取消保单。
菲利普解释说,自己非常担心自己的人生安全,
担心前妻会通过各种手段让自己死于意外,从而获取100万美元的赔偿金。

前妻特蕾西
根据现任妻子的说法,在1999年下半年时,
丈夫开始陆续开始收到奇怪的信件。
第一封信是在1999年5月收到的,
写信人没有留下自己的真实姓名。
信件内容的大致内容是这样的,

信件内容
请阅读这封信,因为你可能面临危险。
我写信是因为我记得你是位非常善良的医生。
对于你即将死于意外的事情,我不能坐视不管,
我需要告诉你一些我知道的事情。
我的一个朋友,曾经与你前妻的现任丈夫一起工作,
他跟我说了一些可怕的事情。
你前妻和她现任丈夫希望你死于意外,这样他们就可以获得保险的理赔。
我不明白为什么他们会给你买人寿保险,但这是我朋友告诉我的。
我朋友认为你前妻他们可能真的在策划什么,
我不知道他们是否真的会伤害你,但请小心。
如果我听到更具体的信息,我会告诉你的,请小心。
说白了就是,写信人告诉菲利普,
有人要杀你了,你出门得小心一点。
收到信件后,菲利普把事情说给了特蕾西听,
他说自己非常担心,害怕自己真的会遭遇不测。
在特蕾西的坚持下,两人向上司反映了这件怪事。
但上司觉得这就是一个恶作剧,没必要放在心上。
还劝菲利普两人吃好喝好,该干嘛干嘛,
别整天一副世界末日要来临的模样。

现任妻子和菲利普
在此之后不久,菲利普的个人物品总会莫名其妙失踪,
1996年6月中旬时,他就曾经报警。
他说自己在图书馆使用着笔记本电脑,
中途离开桌子去上洗手间,结果回来时发现笔记本电脑不见了,
里面还保存着硕士论文的资料。
在三年后的1999年7月某天,去停车场取车的菲利普发现,
自己的笔记本电脑居然重新出现了,
当时它被放在车辆的引擎盖上。
上面的纸条还写着,如果你向警察报告其他事情,其他人会死。
当菲利普启动电脑后,他发现整个硬盘都被格式化了,论文资料也随之消失。
忍无可忍的菲利普,就找到前妻南希讨说法,
因为菲利普认为这一切都和前妻有关,但前妻一直否认。
由于笔记本被盗,导致菲利普的论文撰写受到严重影响。
导师建议菲利普联系警察,寻求警方的帮助。
可菲利普却并不怎么想这么做,
因为他觉得警方根本就没重视他反映的情况。
1999年年底 虽然菲利普完成了硕士论文,但从这里开始事情变得更加奇怪。
一年以后的2000年10月,菲利普参加了航空医学考试。
为了这场考试,他做了大量准备,
但考试结果却出乎所有人的意料,菲利普的成绩居然是零分,
就好像他根本没参加考试一样。
但有几个人证实,菲利普当天确实参加了考试,还亲眼看到他交卷。
另外一点,这场考试的试题全都是选择题,
即使菲利普乱选,他至少也应该能得到一个正确答案。

菲利普的导师认为,菲利普的水平不可能只有零分,除非他是故意的。
有人就猜测,菲利普是想通过这种方式,
表达对空军高层的不满,恰逢当时他计划从空军退役,
还打算脱离军队系统当个精神病医生。
虽然菲利普是个精神病医生,但有点讽刺的是,
在经历一连串莫名奇怪的事情后,他本人似乎也变有了精神病。
从1999年6月开始,菲利普开始变得非常焦虑,最后直接升级成抑郁症。
菲利普开始服用抑郁症药物,到了1999年12月,
虽然抑郁症有所改善,但脑海里的恐惧并没有因此消失。
他还跟精神病医生说过,有一天自己开车上班时,
突然出现了幻觉,然后失去了对车辆的控制,隔了好久才缓过神来。
在接下来的三年里,一直到2003年4月,菲利普一直尝试用药物来治疗。
在很长一段时间里,他总有一种感觉,
觉得自己越来越恐慌,甚至担心会引发心脏病。

2003年4月11号,菲利普更新了自己的遗嘱,
把受益人从儿子改为妻子,其中包括价值180万美元的保险。
因为当时儿子正在跟儿媳妇闹别扭,
菲利普担心自己的一大半遗产,会因为离婚官司让儿子失去一大半。
4月16号早上,在最后一次会见精神科医生的几天后,
菲利普开车行驶在德州的10号州际公路上。
在8点左右时,有两名司机向警方报警,
他们遇到了一个奇怪的司机,
总是在无规律的变道,影响其余车辆的正常行驶。
后来警方证实,这辆车就是菲利普当天驾驶的轿车。
两名目击者告诉警方,他们看到菲利普的车辆,
以每小时60到65英里的速度行驶,而且刹车灯从未亮过,
不知道是刹车坏了还是一直没踩刹车。
在当天早上发生事故后,警方注意到。
菲利普车辆行驶的方向,和他上班的地方是相反的方向。
在当天上午5:30和8:00之间,菲利普究竟遇到什么,
他又究竟做了什么,对于我们外人来说依然是个谜团。
也没有同事报告说看到菲利普来上班,
现场找到的证据也表明,菲利普当天未曾在工作地点出现过。
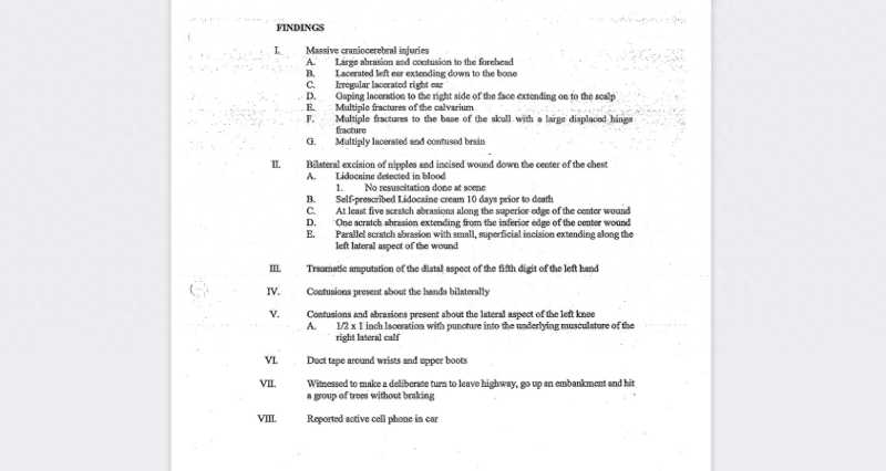
当警方抵达事故现场时,他们很快就确定,
菲利普已经没了生命体征,整个人的状况非常糟糕。

根据最早到达现场警员的说法,在打开车门后,
他看到死者手腕和脚踝贴了很多胶带。
死者的工作制服还被撕开,上面沾满了血迹。
进一步检查时,就看到死者两个乳头被人切除了,
胸部还有个6英寸(15厘米)长的垂直伤口。
小指的指尖也被切除,不过现场却找不到指尖。
在车内警员还找到了菲利普的手机,它是一部翻盖式手机。
电信局的记录显示,当天早上手机没有向外界打过电话,
但在手机内部却出现了血迹,
这表明事故发生后的某个时候,手机曾被人被打开过。

也许这人是菲利普,他想打电话求助。
又也许这人是幕后黑手,在残害菲利普后,手上的血沾到了手机。
妻子告诉警方,她记得出事前丈夫的钱包里还有一些现金,
但警方在车内并没有找到钱包。
相反 他们发现,菲利普裤子上的口袋被人剪开,
出现了一个开口,但不足以使钱包掉出来,
这表明菲利普的钱包,要么是被丢弃了要么被人偷走了。
除了上面这些线索,警方在车内还找到了一些可疑物品,
一把剃须刀、两把小口袋刀、一个乳胶手套和一些医用注射器的针头。
在手套和其中一把刀上,法医发现了菲利普的DNA。
车内或其他物品上,都没有其他人的DNA,
车内的乳胶手套似乎从未被使用过。
警员仔细观察车内的小刀后,
发现它不够锋利,不能造成菲利普被发现的伤口。

说了这么多,其实还是得弄清楚一个关键问题,
有没可能是菲利普自己策划实施了这起事故,
包括切除自己乳头,切除小指的指尖,
以及把自己四肢用胶带绑起来,这些事情似乎仅凭一人都可以做到。
更何况菲利普此前就有严重的抑郁症,也是存在自残的可能。
当地法医办公室的负责人迪马奥(Di Maio)认为,菲利普是死于自杀。
他表示,如果菲利普当天真的遭遇了绑架和折磨,
那为什么在他逃脱后没有寻求帮助呢。
当时在车上明明有手机,但菲利普一个求助电话都没打。
在行驶路上他还路过了三个医院,完全有可能去最近医院求救。
基于种种证据,菲利普肯定是自杀,
原因是精神病发作,导致他做出了不正常的行为。

搜查了菲利普的个人物品后,
警方发现至少在去世的一周前,他就停止了抗抑郁药。
法医发现,在菲利普体内有利多卡因(Lidocaine),
它是可卡因的一种衍生物,用于局部麻醉和治疗心律失常,
但不会导致服药者上瘾或出现幻觉。
正是因为有麻醉的作用,所以利多卡因经常被用来制作止痛剂。
起初法医就怀疑,菲利普使用了止痛剂,
但奇怪的是他体内利多卡因的含量,远高于正常的水平。
警员猜测,由于菲利普在医院工作,能够获取利多卡因注射剂。
结合车内的那包注射针头,会不会是菲利普自己注射了药物呢,
用于减轻切除乳头和指尖带来的疼痛。
换句话说,是菲利普自导自演策划了这一切,
他的目的就是想伪造出一种自己被害的假象,
然后嫁祸给跟自己有矛盾的前妻,
这种假设看起来似乎合情合理,
但法医接下来的发现,却给事情打了个大大的问号。
因为急救人员表示,他们在到达现场后,
虽然看到菲利普衣服上有大量血迹,但从手指上流出的血并不多,
这表明小指的指尖是在菲利普去世后才被人割掉。

妻子特蕾西认为,丈夫不可能会自杀。
因为丈夫案发时正计划从军队退休,
丈夫还被获得了研究生奖学金计划,这是他一直梦寐以求的。
在发生事故前不久,两人还在郊外买了一栋新房子。
无论是自己的事业,还是对婚姻家庭,菲利普都充满期待。
特蕾西曾告诉调查人员,
想到丈夫被切去的乳头,她就想到了丈夫前妻的职业。
前妻曾是一位性治疗师,
就是为一些X生活不和谐的夫妇,提供一些物理和心理上的帮助。
作为一名性治疗师,前妻研究过性爱中的施虐和受虐行为。
乳房作为夫妻生活的重要部位,她很难不怀疑丈夫的遇害和前妻无关。

与此同时 为了反驳当地法医办公室的结论,
特蕾西花钱请了一位病理学家,他就是西里尔教授pathologist Dr. Cyril Wecht。
这个西里尔非常出名,此前经手过美国很多备受瞩目的案件,
例如肯尼迪总统遇刺案等等。在了解案情后西里尔表示,
我在这行混了这么多年,也算是见过“大世面”的人。
但对于菲利普这么离奇的遭遇,我是第一次见。
西里尔亲自对菲利普进行尸检后认为,菲利普不可能是死于自杀。
因为在尸体上,他找不到任何针孔注射的痕迹。
至于说是菲利普用利多卡因止痛,那就更是扯淡,
因为死者体内的这点浓度,根本就达不到止痛和麻醉的效果。
而且胶带上也找不到菲利普本人的指纹,
所以这绝对是一场谋杀。
那幕后黑手会是谁呢?有句话叫做,谁获利最大谁最可疑。
从保险的角度来说,如果菲利普去世,
不管是死于意外 自杀还是谋杀,他都能获得赔偿。
前妻南希购买的人寿保险,最高可以理赔100万美元。
而现任妻子特蕾西,则可以获得180万美元。
不过对比这两人,警方还是觉得前妻嫌疑大一点。
此前菲利普曾多次要求前妻取消保险合同,但前妻一直不肯。
按照保险公司的规则,在购买保险后,
如果中途取消保险,那是没办法满额退回全部保金的。
例如你买了一份十年的保险,
在第五年时因为某种原因中途退保,
那你只能得到部分的保金,可能十万只退回五万。
所以前妻会不会是因为这个原因,才一直不同意退保呢。
而不是我们所想的,前妻就是想让菲利普死于意外,
然后自己获得100万美元的理赔,
因为警方一直找不到证据,能够证明前妻或她的现任丈夫策划了该案。

事情发生五年后的2008年,
特蕾西向法庭提起诉讼,起诉了丈夫的前妻南希。
特蕾西认为是南希密谋杀害了菲利普,要求她交出保险赔偿金。
除了前妻,特蕾西还起诉了两家涉事的保险公司,
我丈夫多次向你们表示自己生命收到威胁,
多次要求你们取消南希的保单,可你们一直都取消。
在双方扯了几次皮后,法院最终判处特蕾西败诉。

每次记者想采访菲利普前妻时,
她一直拒绝对案件发表评论,也拒绝接受任何测谎实验。
因为她表示在案发当天,自己和现任丈夫在外地工作,
而且其他人可以证明这一点。
对于菲利普的死亡,美国军方也曾经做过调查,
还发布了一份多达20页的调查报告,结论很简单,菲利普是死于自杀。

2005年春天,菲利普被安葬在阿灵顿国家公墓,
这是美国专门为军人设置的墓园,
以此悼念为国家奉献生命的美国军人。
下葬当天,菲利普的妻子在丈夫墓碑前放了一多白玫瑰,
然后平静的说道,我们会一直为你寻找真相。
这个案件让小渊我想起了之前的一期视频,
一位加拿大的女护士,同样也一直怀疑有人想杀她,
最后死在灌木丛里,当时身上还被人用绳子紧紧绑住。
两个人的遭遇几乎如出一辙,
到底是幻想狂,还是确实遇到了跟踪狂,
不知大家觉得哪种可能性更大点。
我是小渊 我们下期再见。
大家都在看
-
极目星河深处 求索未解之谜(科技自立自强) 核心阅读快速射电暴是宇宙中最神秘的射电爆发现象之一,其持续时间仅为数毫秒,却能在瞬间释放相当于太阳一整周辐射总和的巨大能量。如何解开这类“宇宙射电脉冲闪”的起源机制谜团?1月16日,由中国科学院紫金山天 ... 未解之谜01-19
-
极目星河深处 求索未解之谜(科技自立自强) 图为“中国天眼”馈源舱。 新华社记者 欧东衢摄核心阅读快速射电暴是宇宙中最神秘的射电爆发现象之一,其持续时间仅为数毫秒,却能在瞬间释放相当于太阳一整周辐射总和的巨大能量。如何解开这类“宇宙射电脉冲闪”的 ... 未解之谜01-19
-
中国历史上5大未解之谜,困扰专家千年,至今无人能破 中华上下五千年,留下无数传奇,也藏着诸多至今无解的谜团,专家钻研千年仍无定论,每一个都充满神秘色彩,让人忍不住探寻。 第一个是三星堆文明之谜。四川三星堆出土的青铜面具造型怪异,与中原文明毫无关联,出土 ... 未解之谜01-15
-
罗布泊未解之谜揭晓?50人科考队四年探秘,真相震惊学界 提到罗布泊,你第一反应是不是“死亡之海”“寸草不生”?2014年夏天,一支50人的多学科科考队扎进了这片无人区。他们一待就是四年,挖出来的东西让人大跌眼镜。这片被认为亘古荒凉的土地,原来藏着这么多反转?那些 ... 未解之谜12-29
-
21个未解之谜,哪一个让你心绪难平? “凌晨两点刷到这个帖子,手机差点砸脸上——#D.B.库珀#又上热搜了。 51年了,还有人天天在论坛里赌他到底摔没摔死,好像下一秒那20万美钞就会飘进自家院子。 最离谱的是最新线索:一个华盛顿州老太翻修谷仓,在横梁 ... 未解之谜12-23
-
高维空间可能真的存在,科学家:它可以完美解释两大宇宙未解之谜 在我们所知的三维空间之外,会不会还有更高维度的空间呢?对此,有科学家提出理论称,高维空间可能真的存在,因为它可以完美解释两大宇宙未解之谜。下面我们就来看看这具体是怎么回事。宇宙中存在着四种基本力,分别 ... 未解之谜12-16
-
21个令人不寒而栗的未解之谜,至今仍然悬而未决 你可能听说过成百上千个未解之谜,但真正能让你起鸡皮疙瘩的可能没有几个。今天为大家整理的这21个谜题是不是你一直在寻找的那一批,会不会让你害怕、颤抖、心绪难平吗?1.有毒的女人1994年2月,格洛丽亚·拉米雷斯 ... 未解之谜12-12
-
13个毛骨悚然的未解之谜:跨越世纪的悬案,至今让世人深夜难眠 世界上最令人费解的未解之谜,读起来几乎堪比卖座电影剧情:秘密寻宝、博物馆失窃、太空中的巨型磁体,这些离奇悬案仅为冰山一角,却足以让人不寒而栗。如果你正在寻找那些不合常理、让人辗转反侧的诡异事件,那再合 ... 未解之谜11-13
-
宇宙最终将陷入一片黑暗?诺奖得主深度解读天文学未解之谜 光明网讯(记者肖春芳)10月15日,第232期上海科普大讲坛《新视野 新宇宙》在上海图书馆东馆举办。本次活动由上海科技馆、上海图书馆、上海科普教育发展基金会与澳大利亚国立大学联合主办,特别邀请2011年诺贝尔物理 ... 未解之谜10-17
相关文章
- 13个毛骨悚然的未解之谜:跨越世纪的悬案,至今让世人深夜难眠
- 宇宙最终将陷入一片黑暗?诺奖得主深度解读天文学未解之谜
- 中国古代最神秘的十大未解之谜,至今无人破解!
- 未解之谜!云南这座“神山”,只要日本人在,它就会消失不见
- 云南5大未解之谜,至今还是未解之谜,来看看有哪些谜团?
- 陕西秦岭腹地神仙秘境,藏着中国唯一的自然奇观,至今是未解之谜
- 宇宙5大未解之谜,科学家认为:可能人类永远找不到答案
- 探秘全球十大未解之谜,这些古建筑至今让科学家束手无策
- 山海经里还藏着哪些秘密? 探索古代奇书背后的未解之谜
- 缪延亮:国际货币体系的未解之谜
- 地球上未被证实不明神秘生物有哪些(尼斯湖水怪、天池水怪、天蛾人
- 梦魇是什么意思,睡眠时发生脑缺血(4个解决办法)
- 盘点全球15个顶级未解之谜,看完直呼震撼
- 宇宙6大未解之谜,科学家承认:可能人类永远找不到答案
- 中国历史十大未解之谜,一个比一个离奇,也许永远找不到答案
- 中国历史上五大未解之谜
- 揭秘中国古代十大未解之谜,你知道几个?
- 中国历史上十大未解之谜,破解任何一个都将震惊世界(建议收藏)
- 中国十大未解之谜,你听闻过几个?
- 《无忧渡》大结局过后,留下了十个未解之谜
热门阅读
-
119碎尸案,场面让人震惊,胆小者勿入 07-11
-
96年南大碎尸案,刁爱青被杀后整齐切了两千多刀 07-11
-
南大碎尸案史上最惨案件,揭开陈年悬案的真相! 07-11
-
历史上10件真实神秘失踪事件,揭秘人类失踪之谜 01-30
-
韩国三大悬案,韩国三大悬案之首告破 05-06
-
长生不老药已研制成功,人类可以长生不老 08-13
