单双必赢方法(用数学方法玩单双游戏的规律技巧)

28个数字总共有几个数字我们不用考虑其中的组合,其中0~3 24~27就用简单的方式减掉八个数字,而剩下的20个在每个数字之间可以进行选择一个区间,其中4~8、13~98~14 、23~19对于每一注都可以压一样的数字,然后按照现有的量来进行选择单压,而且还可以选择翻倍的方法来进行投注,但是其中需要注意的是需要灵活使用,每一次都有一定的中奖机率,而且因为区间不一样所以中奖率也会有所改变。
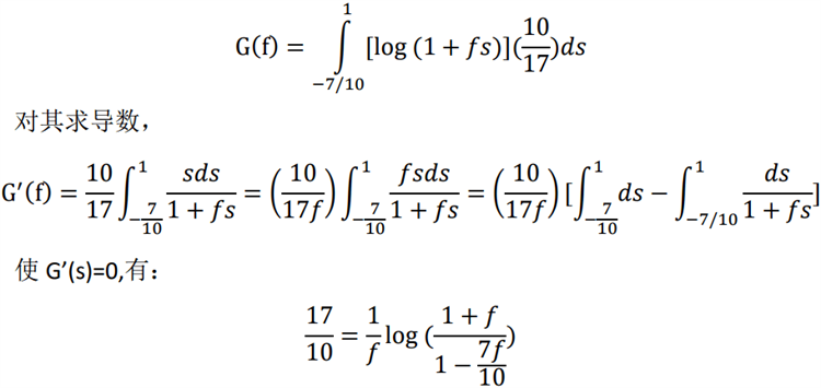
全包技巧
在选择全包押注的方式上,我们需要数字选择6~21,随便选择几个数字进行剔除掉,然后使用排除法,将部分出现概率少的数字进行排除掉,那么排除掉的数字越多,那么最终中奖的几率就会越高,这样以来赚的也就会更多,但是这种方法只能适用于手里有少量底注玩家。

对于简单的赌局来进行推算利润最大化,其中的公式可以选择凯利投资方式,其中D为赔率,B为成功概率,Q失败概率,公式即为1-P,简单来讲,如果通过抛硬币的方式来进行选择,其实所有的条件都不做任何变动的情况下也能够出现无数次重复的情况,所以每一次在投入不同样的本金为50%的情况下依旧在不输光的本金可以实现最大的收益。但是其中需要有两个隐藏的推论需要注意,那就是每场胜率为100的时候才能值得全部进行投入,但是第二个赌局如果只有收益为正数的情况下,才能选择使用该公式进行使用,否则在投资过程当中就有可能输掉的情况。

在选择单双点的规则上,许多的玩家都会经常选择使用这一玩法,但是简单来讲,如果前期出现了单双局面,不满足现有的单双情况,那么剩余的底注将会被全部输掉,而剩下的点数最大选择双的一面则会更多,所以在多人游戏当中,对于凯利公式来讲,这个公式只能给投资者提供一些建议,但是其中也是需要参考已经出现的单双比例,而实际上选择单双虽然看似各有50%的一面,但是实际规则设定无论是赔率还是胜率,如果出现一致的情况下,都是可以单独进行计算,而且游戏本身就是可以无限制的进行重复。
单双之外,如果要想获得绝对的胜利,首先对于前期出现的单双概率需要提前进行计算,因为公式无法直接进行套用,所以在细节方面,对于每一次所出现的单双概率需要单独进行计算,这样才能利用手里的资金提前进行预测出下一次将会出现单或者双的机会。每一次出现单双的机会分别是50%,已经出现单双的概率,如果大于60%的情况下选择单或者双,那么已经有50%胜率,但是要想获得更多的投资以及里面更大的情况下,那么在选择虽然双方面就需要提前进行计算。
在观察前几天数据之后,就优先需要根据现有的本金提前将其划分好,每次投入和一面就需要进行严格的计划,如果凭感觉这样的运气再好也会有差的时候,所以每天设置好对应的亏损点以及盈利点,完成之后就需要及时止损。

提前计算时,也可以选择使用公式=CHOOSE(A1+1),数据内首先列在a第一选择使用,然后根据逻辑词来进行推导对应的规则,但是系统所出现的规律依旧只是一个概率性,所以依旧会有一定的出入,当我们本金和实际出入出现较大的差异时,就需要根据现有的公式提前将自己的本金进行划分,避免出现血本无归的情况,即使再精细的计算也难免后续所出现的各种概率性问题,每次投入之前对于自己的底线以及本金需要参考自身的实力来进行投注,单双的规则虽然各有50%,但是最终的胜利情况却是有所出入。
大家都在看
-
世界之大无奇不有,26张照片带你看不一样的奇闻趣事 1.梦露为肯尼迪唱生日快乐歌的那个夜晚,裙子造价被精确记录到美分:1440美元33美分。五十四年后,2016年11月,这条裙子在拍卖会上以480万美元成交。2.在法国,“第一玫瑰”的名字几乎与苏菲·玛索画上了等号。岁月 ... 奇闻怪事05-01
-
民间奇闻:15年灵龟困树不死,三桩民间旧事,道尽天地禁忌宿命! 世间真有熬不死的生灵?能扛过十数载风霜雨雪,不吃不喝也能活命?老辈人传下的话,从来都不是随口瞎掰。南北朝大定年间,楚地岳州地界,荒岭连着黄河故道的余脉。土厚林密,山深雾重,藏着数不清凡人摸不透、说不破 ... 奇闻怪事04-26
-
民国奇闻:一口棺材密封数年,打开里面的鲤鱼还活着!冯国璋看傻 冯国璋民国年间,有一口棺材,离奇得让人后背发凉。话说冯国璋当上代总统之后,有个下属跑来送了他一口棺材。不是祝他“升官发财”那种吉利话,是真真切切的一口大棺材,用大红绸缎盖着,抬到了冯国璋的府上。冯国璋 ... 奇闻怪事04-26
-
袁世凯奇闻逸事 说起袁世凯,这人绝对是晚清民国头号搞笑枭雄,一身奇葩趣事特别的多,而且黑幽默居多! 他打小就是妥妥的学渣,科举考两次全都落榜,直接摆烂躺平,书一扔绝不死磕八股,转头跑去当兵,立志靠拳头和兵权闯天下。其 ... 奇闻怪事04-26
-
乡村奇闻异事 江苏徐州一个宁静的村庄里,一场原本遵循旧俗的百岁老人葬礼,猝不及防地演变成了一场令人头皮发麻又热泪盈眶的奇观。当起灵的哀乐响彻云霄,几名壮汉正准备抬起灵柩时,天空突然传来异样的低鸣。数十只体型硕大的飞 ... 奇闻怪事04-26
-
离谱又真实!全球奇闻趣事大赏,看完大开眼界 2026-04-24 17:00 · 奇闻趣事 · 原创 盘点近期全网刷屏的真实奇闻,每一件都离谱到像编故事,却件件有依据、能查证,看完忍不住感叹世界真奇妙! 一、国内硬核母爱:武汉妈妈花60万买1斤黄金当嫁妆 4月21日,武汉 ... 奇闻怪事04-25
-
世界之大无奇不有,带你了解不一样的奇闻趣事 世界之大无奇不有,带你了解不一样的奇闻趣事世界之大无奇不有,带你了解不一样的奇闻趣事昨晚刷手机刷到凌晨两点,我盯着刘亦菲那张脸,突然意识到一个恐怖的事实:我活了三十多年,居然连一只鸽子都不如。纽约地铁 ... 奇闻怪事04-17
-
奇闻异录500个故事 文/杨普义第一卷 古典志怪篇1. 干将莫邪铸剑复仇楚国巧匠干将、莫邪夫妇,耗时三年为楚王铸成雌雄双剑。楚王恼怒耗时太久,斩杀干将。干将之妻生下儿子赤鼻,赤鼻长大后得知身世,持父亲暗藏的雄剑,在侠客相助下, ... 奇闻怪事04-14
-
世界之大无奇不有,十八张照片带你看不一样的奇闻趣事 1.澳门摘得2025地球小姐冠军的陈思贝,真是位自带光芒的姑娘!她的美内外兼修,不刻意不浮躁,值得细细欣赏,也难怪能在赛场闪闪发光,让人一眼难忘。2.无论是动物还是我们人类,父母对子女的那份心都是一样的,真是 ... 奇闻怪事03-29
-
民间奇闻:女孩误入镜像时空门洞,选错一边后,亲人全都变了模样 在民间流传的各类奇闻轶事里,关于平行世界、时空缝隙的传说一直让人充满好奇。有人说,我们生活的世界之外,藏着不为人知的镜像空间,只有极少数人,能在机缘巧合之下撞见。下面这个故事,来自网友陈女士的亲身口述 ... 奇闻怪事03-22
相关文章
- 世界之大无奇不有,十六张照片带你看不一样的奇闻趣事
- 村里老人说:没人敢讲的乡村奇闻真实经历
- 滑稽笑星舒悦的五大奇闻异事
- 民间奇闻探秘,被老人讳莫如深的3个鬼传闻,藏着不为人知的真相
- 我在乡下做了十年道士,笔记里记下的那些奇闻异事
- 论当代社会奇闻趣事
- 下班摸鱼必看!3个最新奇闻,每一个都刷新认知
- 分享你身边的奇闻异事
- 2月9日离谱奇闻合集!件件笑到捶桌,第3个太绝了
- 中国近代5桩野史奇闻:大师搓麻、太监掌权、民间神医断头还生
- 杭州发生过哪些奇闻异事?
- 野史揭秘:那些被正史藏起来的奇闻怪事,古人到底有多“疯狂”?
- ~奇闻趣事
- “曹禺真会‘读书’假洗澡?古代名人奇闻趣事大揭秘!”
- 分享一些你知道的民间奇闻异事
- 奇闻怪事:广德某妇得孕产蛇!
- 历史上的奇闻异事:那些至今未解的神秘谜团,你知道几个?
- 全球奇闻趣事大集合:冷门知识一览
- 野史大揭秘:那些被正史藏起来的奇闻趣事,竟然比正史还精彩!
- 令人瞠目结舌!历史上最荒诞却真实的五件奇闻
热门阅读
-
日本gv公司盘点,高质量钙片清秀型美攻美受 07-11
-
盘点中国十大龙现身事件,真龙竟然屡次现身震惊众人 06-27
-
戴旭说出马航失联真相,因为害怕承担责任迟迟不公开 07-05
