两人生日相同的概率大于50%,概率论两个人生日同一天的概率
昨日发了一篇文章《咱们来打个赌,很多人估计会输:关于车牌号码的》
说了一个必赢的游戏,现在说游戏背后的玄机。

这个玄机同时也是大名鼎鼎的【生日悖论】的玄机,它说的是:如果一个房间里有23个或以上的人,那么至少有两人的生日相同的概率要大于50%。
简述昨天的游戏如下:
两个人在公路上,看着来往车辆,然后开始赌:如果连续过往的20辆车中,其车牌尾号的后两位,有两辆车相同,则窃.格瓦拉输掉游戏,而凤凤赢。反之,格瓦拉赢。
也就是说,第一辆车,尾号是1293,第18辆车,尾号是8593,那么凤凤赢,因为尾号后两位都是93。
很多人认为,窃.格瓦拉必然会赢得这个游戏。理由是:
尾号的后两位数字必然只能是00、01、02、03……10、11、12……96、97、98、99这里面的数。也就是说,共有100种不同的后两位尾号。某辆车尾号的后两位,只能是其中的1种,比如“11”。而另一辆车尾号后两位也是“11”的可能性是很低的。因为共有100种可能,所以两辆车后两位尾号相同的概率只有1%。
但令人惊讶的是,凤凤每次赢得此游戏的概率高达87%!
原因如下:(需要计算,如果您不感兴趣,可就此回头)
为保证初中生都能懂,咱们先从简单的计算开始,后面就一目了然了。
有的人冬季出生,有的人在夏季出生。现在我们问,格瓦拉和凤凤碰到一块了,那么他俩在同一个季节出生的概率是多少?
直观的解法:
把两人的出生组合都罗列出来,然后数一数,我们就得到了答案。

格瓦拉和凤凤,他俩出生的季节组合,总共只有16种可能,而这16种可能中,却只有4种是在相同季节出生。所以,这两人在相同季节出生的概率为1/4,也就是25%。
正确的解法:
想象一个空空的房间里,此时,格瓦拉先走了进去,我们不知道格瓦拉是在春天出生,还是夏天出生,都有可能。
现在我们问,格瓦拉出生的季节与其他人不同的概率是多大?很简单,因为房间里只有他一人,所以,格瓦拉在春夏秋冬4个季节里可以有4种选择。4中选4,也就是100%。
现在,房间里又进来了另一个人,凤凤。那么,凤凤跟其他人的出生季节不同的概率是多少?
显然,春夏秋冬已被格瓦拉占去了其中一个季节,那么凤凤在4个季节里只剩下3种选择了,4中选3,也就是3/4,即75%。
现在,我们开始算这格瓦拉和凤凤出生季节不相同的概率。
计算方法就是把两人与其他人不同季节出生的概率相乘。

再继续问,两人在相同季节出生的概率又是多大?
如下:

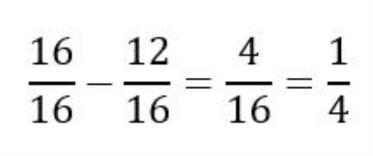
这表示的意思是,在所有的可能中,减去了所有不同季节出生的可能,那么剩下的就是相同季节出生的可能,或者说概率了。
上面【直观的解法】和【正确的解法】,答案都是一样的。
而现在,我们要用【正确的解法】来解答公路上车牌尾号那个问题。
车牌尾号正确算法:第一步:跟上面那道简单题一样,先算每辆车与其他车尾号后两位不相同的概率。
想象一片空旷的大广场,第一辆车先驶来,现在问,这第一辆车与其他车尾号后两位不相同的概率是多少?
显然是100%,因为第一辆车的尾号可以是100种中的任何一种,也就是说,在100种中,它可以有100种选择,也就是100中选100,即100%。
接着,第二辆车驶进广场,现在,第二辆车与其他车尾号后两位不同的概率是多少呢?
因为已经有一辆车占去了其中一种,所以第二辆车只有在99种选择了,也就是99%。
第三辆车又驶进广场,显然,它与其他车尾号后两位不同的概率是98%。
…………
以此类推,我们发现,20辆车陆续驶进一个大广场,它们与其他车尾号后两位不同的概率分别是:

如果我们要计算这20辆车,它们的尾号后两位都与其他车不相同的概率是多少时,方法还是跟上面那道题一样,把它们都乘起来。
20辆车尾号后两位互相都不同的概率为:

同理,当我们要计算20辆车中,其中两车尾号后两位相同的概率,那就拿100%减去20辆车尾号后两位互相都不同的概率就可以了。(回想一下,这其实跟上面春夏秋冬那道题也是一样的。)
所以,连续驶来的20辆车中,两车尾号后两位相同的概率等于:

也就是说,如果堵车无聊时,您跟别人打赌,连续驶来的20辆车中,你赌其中有两车尾号后两位相同,你的女友赌不相同,则你每次赢的概率为87%。
延伸:知道了以上解法后,面对【生日悖论】,你也就知道为什么是那样了。因为解法一样。

有23人,为什么两个人同一天生日的概率超过50%
这是有名的生日悖论.生日悖论是指,如果一个房间里有23个或23个以上的人,那么至少有两个人的生日相同的概率要大于50%.这就意味着在一个典型的标准小学班级(30人)中,存在两人生日相同的可能性更高.对于60或者更多的人,这种概率要大于99%.从引起逻辑矛盾的角度来说生日悖论并不是一种悖论,从这个数学事实与一般直觉相抵触的意义上,它才称得上是一个悖论.因为大多数人会认为,23人中有2人生日相同的概率应该远远小于50%.理解生日悖论的关键在于领会相同生日的搭配可以是相当多的.如在前面所提到的例子,23个人可以产生C(23,2)= 23 × 22/2 = 253 种不同的搭配,而这每一种搭配都有成功相等的可能.生日问题实际上是在问任何23个人中会有两人生日相同的概率是多少.从这样的角度看,在253种搭配中产生一对成功的配对也并不是那样的不可思议.
简而言之就是说.23个人里面就可以产生C(23,2) = 253种搭配,只要这253种搭配中的任意一种满足相同生日的条件,则整个条件就满足了.计算任意人数的结果如下:
1: 0
2: 0.00274
3: 0.00820
4: 0.01636
5: 0.02714
……
20: 0.4114
21: 0.4437
22: 0.4757
23: 0.5073
24: 0.5383
25: 0.5687
……
可见概率第一次大于0.5是在人数为23的时候.因此说23个人中有2人生日相同的概率很大.

生日悖论是正确的吗?
可以很负责告诉你,完全正确。
这个问题是我们python老师上课布置的题,我用python写过一个程序来模拟这个问题,可以看到结果,如果是50个人的班,在经过10万个样本班级模拟,97142个样本有相同的,概率97.142%(生日是通过计计算机随机数生成的)
现在从概率论来给你解释:
有n个人,
第一个人生日是365选365
第二个人是365选364(如果第二个人要与第一个人生日不同)
第三个人就是365选363(要和第一个和第二个人都不相同)
第n个人就是365选(365-n+1)(和前面的人都不同)
所以所有人都不相同就是:(是都不相同)
(365/365)*(364/365)*...*(365-n+1/365) (反斜杠是分号)
有相同就是1-上面这个算式(都不相同的对立就是有相同,哪怕只有两个相同)
代入n=50,可以得出,概率约为97.037%(我用卡西欧科学计数器算的,和我的python模拟结果基本一致)
生日悖论说的是23个人,两个人生日相同概率会超过50%(和上面类似,我通过科学计数器和python程序验证了是大于50%的)
大家都在看
-
2月9日离谱奇闻合集!件件笑到捶桌,第3个太绝了 AI把警官写成青蛙、年会特等奖拆出瓷砖、小狗记仇拖三轮车报复…今日奇葩事扎堆,每一个都刷新认知!▫️美国警局AI翻车,执勤警官竟被写成“青蛙在现场监督”,硬核乌龙笑翻全网▫️广东小伙年会抽中特等奖手机,拆 ... 奇闻怪事02-10
-
中国近代5桩野史奇闻:大师搓麻、太监掌权、民间神医断头还生 提到中国近代史,多数人想到的是鸦片战争、辛亥革命、军阀混战的宏大叙事。但在正史的字缝里,藏着太多让人拍案叫绝的野史奇闻——治学严谨的大师沉迷搓麻,权倾朝野的太监暗藏智慧,民间裁缝能续断头性命。这些不为 ... 奇闻怪事02-10
-
杭州发生过哪些奇闻异事? 探秘杭州:那些令人惊叹的奇闻异事杭州,这座充满诗意与历史韵味的城市,宛如一幅徐徐展开的画卷,不仅有西湖的湖光山色,更藏着许多鲜为人知的奇闻异事。今天,就让我们一起揭开杭州神秘的面纱,探寻那些令人啧啧称 ... 奇闻怪事02-07
-
野史揭秘:那些被正史藏起来的奇闻怪事,古人到底有多“疯狂”? 大家好,欢迎来到今天的“古代野史大揭秘”!你以为史书都是严肃正经、一本正经写历史?错!其实,正史就像一本“教科书”,而野史,则像是一本“八卦杂志”,藏着许多正史不敢提的奇闻趣事。今天我们就来扒一扒那些 ... 奇闻怪事01-28
-
~奇闻趣事 奇闻趣事:那些令人惊叹的奇妙瞬间世界之大,无奇不有。在这个广袤的地球上,每天都在发生着各种令人匪夷所思的奇闻趣事。有些事情看似不可思议,却又真实发生,让人不得不感叹世界的神奇与奇妙。今天,就让我们一起 ... 奇闻怪事01-27
-
“曹禺真会‘读书’假洗澡?古代名人奇闻趣事大揭秘!” 大家好!今天给大家带来一段鲜为人知的古代趣闻,主角可是中国现代戏剧大师曹禺(原名万家宝)。不过,这次他的“传奇”故事可不是舞台上的表演,而是一段“假洗澡读书”的趣味轶事!听起来是不是像古代版的“偷懒秘 ... 奇闻怪事01-27
-
奇闻怪事:广德某妇得孕产蛇! 奇闻怪事:广德某妇得孕产蛇!作者:徐厚冰民国三十二年(1933),安徽省广德县(今广德市)南乡小刘村发生一件奇闻怪事——该村汪小云年过六旬,膝下无子。去年(1932)三月,其妻腹渐隆起,夫妇以为老来得孕,欣喜 ... 奇闻怪事01-25
-
历史上的奇闻异事:那些至今未解的神秘谜团,你知道几个? 嘿,朋友们!今天咱们不聊那些枯燥的历史教科书,而是来点“硬核”的——那些让人百思不得其解的历史谜题。你有没有想过,古人留下的那些神秘遗迹,到底隐藏着什么秘密?那些奇异事件,到底是巧合,还是另有隐情?今 ... 奇闻怪事01-22
-
全球奇闻趣事大集合:冷门知识一览 赃款不能直接花,突然买豪车别墅会引税务局、警察甚至邻居怀疑,必须洗钱把非法收入变合法。南边邻国不丹至今挂着大清黄龙旗,历史上是清朝藩属国,深受中华文化影响,据说输入法打不丹会出现国旗。长城不是秦始皇一 ... 奇闻怪事01-21
-
野史大揭秘:那些被正史藏起来的奇闻趣事,竟然比正史还精彩! 大家好,我是你们的古史野史探秘达人!今天带大家走进一个神秘又趣味横生的世界——野史的天地。你以为史书只讲正经事?错!其实,野史可是藏着无数惊天秘闻、趣味八卦的“宝藏库”,比正史还要精彩绝伦,让你大开眼 ... 奇闻怪事01-14
相关文章
- 野史大揭秘:那些被正史藏起来的奇闻趣事,竟然比正史还精彩!
- 令人瞠目结舌!历史上最荒诞却真实的五件奇闻
- 你听过世界上有哪些奇闻异事吗
- 古代奇闻小故事五则
- 古代奇闻小故事四则
- 你绝对想不到!历史上那些离奇又趣味的奇闻异事,笑到肚子疼!
- 揭秘古代那些被历史遗忘的荒唐秘闻,笑到肚子疼的古代奇闻趣事
- 世界之大无奇不有,19张照片带你看不一样的奇闻趣事
- 奇闻,你听到过吗?
- 揭秘鲜为人知的历史秘闻:那些令人惊叹的奇闻趣事,你知道吗?
- 国画秘史:那些令人咋舌的奇闻巧合
- 世界之大无奇不有,十九张照片带你看不一样的奇闻趣事
- 世界之大无奇不有,18张照片带你看不一样的奇闻趣事
- 世界之大无奇不有?20张照片带你看不一样的奇闻趣事
- 世界之大无奇,16张照片带你看不一样的奇闻趣事
- 网上疯传的“乡村奇闻”,每一件都炸裂你的三观
- 世界之大无奇不有,20张照片带你看不一样的奇闻趣事
- 以下是一些最近发生的奇闻趣事:
- 以下是一些最近的奇闻趣事:
- 关于汽车的奇闻异事
热门阅读
-
日本gv公司盘点,高质量钙片清秀型美攻美受 07-11
-
盘点中国十大龙现身事件,真龙竟然屡次现身震惊众人 06-27
-
戴旭说出马航失联真相,因为害怕承担责任迟迟不公开 07-05
