在不同温度下,临界间热处理的低碳微合金钢,微观组织和机械性能

阅读此文前,诚邀您点击一下“关注”,方便您随时查阅一系列优质文章,同时便于进行讨论与分享,感谢您的支持~
临界间热处理(IHT)是通过促进双相(DP)微观结构的形成来提高低碳钢机械性能的成功实践工艺之一。在这种热处理中,钢通常从室温加热或从单相奥氏体区域(连续IHT)冷却到临界区内的温度(在A1和 A3)并持有了一段时间。
在此温度下,建立了铁素体+奥氏体的微观结构。根据淬火温度和冷却速率,奥氏体转变为马氏体和/或贝氏体。 此后,DP钢将被称为通过直接IHT获得的铁素体+马氏体显微组织的钢。

在IHT变量中,其温度可以被认为是影响DP钢的微观结构和机械性能的最重要参数,因为它控制着两相区域中奥氏体的量和碳含量。 奥氏体的C含量,即Ms(马氏体起始)温度,决定了转化马氏体(称为板条和板条)的形态。板条马氏体在低碳和中碳钢中形成,由平行阵列或板条形晶体组成。目前的观点认为,当奥氏体转化为马氏体时,先前的奥氏体晶粒分裂成马氏体包。

DP钢的机械性能源于硬相在延展性基体(铁素体)中的分散以及伴随这种共存的所有相关现象。 例如,已知UTS与DP钢(特别是铁素体相)的加工硬化行为密切相关,包括不同的阶段:(i)铁素体存储位错的运动和快速加工硬化,(ii)马氏体对铁素体塑性流动的约束;(iii)马氏体的屈服和铁素体和马氏体相塑性变形的发生。
然而,当DP钢发生缩颈时,马氏体永远不会达到其UTS。此外,根据EBSD和TEM的观察,据报道,铁素体中的位错密度可能是不均匀的,在马氏体斑块附近密度最高。事实上,奥氏体转化为马氏体会在相邻的铁素体中产生位错。在拉伸测试期间,铁素体中的这些区域可能有不同的作用。因此,在评估DP钢的抗拉强度时,应考虑铁素体条件。

除铁素体条件外,在较高温度下进行IHT会增加奥氏体的量,而由于奥氏体的碳含量较低,转化马氏体的硬度/强度会降低。因此,预计IHT温度对DP钢的强度/硬度会产生相反的影响。
由于上述复杂性,在过去的几十年中,研究人员已经开发出解释DP钢性能的方法,并试图找到影响DP钢机械性能的决定性参数。例如,作为早期报告,Davies指出DP结构的强度主要取决于铁素体晶粒尺寸和马氏体(Vm)的体积分数,其中马氏体强度的影响尚未得到强调。后来,Chen和Cheng报告说,DP钢的抗拉强度可以使用混合物定律来预测,其中Vm和相的强度都会影响这一特性。

为此,低碳铸造微合金钢在两种不同的温度下经受了IHT,高分辨率膨胀计仔细研究了这些变化,并根据先前开发的膨胀测量模型以及ThermoCalc软件提供的预测进行了解释。通过提供EBSD图来解释所研究钢的机械性能,进一步表征了生产的DP结构。
通过生产一种低碳铸造微合金钢作为本次研究的测试材料。炼钢过程是在露天环境中使用感应炉进行的。Y块锭的尺寸和铸造工艺在我们之前的研究中有详细描述。钢中的O和N含量分别为93和112 ppm,这是使用气体分析设备测量的。这种钢还含有约200 ppm的稀土元素。RE的量通过电感耦合等离子体技术测量。通过调整化学成分(添加RE),减少了铸造缺陷/微观结构对机械性能的不利影响。

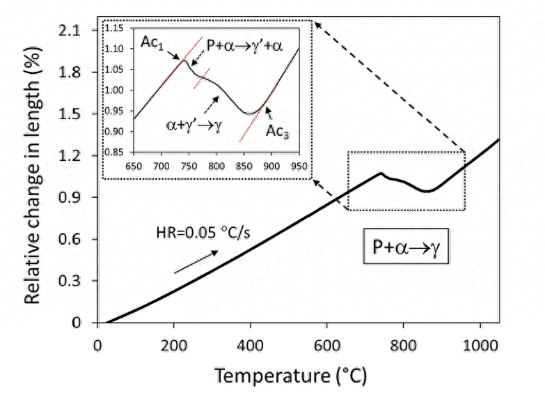
为了设计IHT,连续加热条件下的临界转变温度已使用高分辨率膨胀测量法进行估算。对于膨胀测量实验,用正火钢制备直径为4 mm,长度为10 mm的圆柱形样品。交流电的测定1和交流电3定义两相区域的温度对于选择本研究的IHT温度非常重要。
为了在尽可能接近平衡的条件下估计这些温度,膨胀计中采用0.05°C/s的非常缓慢的加热以达到完全奥氏体化温度,使用热计算进行热力学计算®以预测平衡Ae。1,Ae3温度和奥氏体(γ)在每个平衡温度下θ + α + γ相场内的碳含量。为了进行这些预测,允许系统包含以下阶段:奥氏体,铁素体,渗碳体,NbC,并且不可避免地存在成分接近碳化物VC的混溶间隙。

为了对接收和热处理的微观组织进行金相表征,使用润滑剂(乙醇和DP-Lubricant Blue的混合物)研磨样品,然后用金刚石浆料仔细抛光,低至1μm。用Nital-2%蚀刻样品的抛光表面几秒,以揭示IHT和归一化样品的微观结构。
借助图像分析仪软件(ImageJ 1.47v)可以轻松估计微观结构中存在的相位的体积分数,该软件在给定放大倍率下对光学显微镜(OM,NIKON ECLIPSE LV150N)拍摄的至少五张图像进行,使用相的体积分数来估计相(尤其是奥氏体)的碳含量。

结果显示板条马氏体具有由包、块和板条组成的分层微观结构。在这些特征中,Morito等人强调了马氏体块体尺寸在分析钢的性能-结构关系中的重要性。他们认为块尺寸,而不是板条/包尺寸或PAGS(如以前认为的那样),是影响板条马氏体机械行为最多的参数。此外,Shibata等人也得出结论,块状边界是加强板条马氏体的最有效屏障。
因此,测量了马氏体的块状尺寸,因为它是影响其性能的马氏体最重要的特征。块大小是使用电子背散射衍射(EBSD)测量估计的。因此,通过使用氯化硅在乙醇中的悬浮液进行最终抛光,抛光样品经历了另一个制备步骤。

还应该提到的是,数据包边界的定向错误范围可能与块边界的误定向范围重叠。这在测量马氏体的块大小时不会造成任何问题,因为数据包边界也可以被视为块边界,此外,为了防止块体尺寸测量中晶界的干扰,在每个马氏体岛内绘制了相交线。
对热处理样品进行了机械测试,以阐明不同DP结构对铸钢机械行为的影响。为了测量DP钢中各个相(铁素体和马氏体)的硬度,使用非常小的载荷(10 g)和10 s的加载时间对IHT样品的表面进行了显微硬度测试。使用带有维氏压头的试验机(Wilson Tukon 1202)进行此测试。每个相报告的硬度值是至少五次独立测量的平均值。

采用GOTECH AL-7000 LA 30机器在室温下进行拉伸测试,恒定应变率为5×10-4 s-1。拉伸样品根据ASTM E8-04标准制备,并在进行测试之前仔细研磨。拉伸样品的缩小截面直径为6毫米,长度为36毫米。我们之前研究中显示的一对夹具用于进行拉伸测试,在拉伸样品上使用这些夹具可确保样品不会滑过夹具。
归一化样品的微观结构,作为进行IHT热处理之前的初始微观结构,由铁素体和珠光体组成。通过图像分析估计的珠光体数量约为21%(暗区);剩下的白色基体是铁氧体。关于这种微观结构的更多细节在我们最近的工作中提供了。

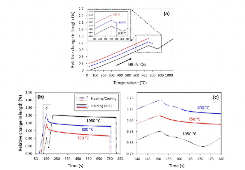
选择两种不同的IHT温度,一种更接近Ae。1(750 °C),一个更靠近 Ae3(800°C)。在这两个温度下临界间转化的预期奥氏体量,如膨胀法估计并由TC预测的那样。通过金相测量估计的值是马氏体的体积分数,假设等于高温下奥氏体的体积分数。
根据这些结果设计的临界间热处理包括以5°C/s加热到目标IHT温度(750和800°C),在这些温度下保持10分钟,然后快速冷却(100°C/s)至室温。对于在750和800°C下进行临界间退火的这些样品,整个手稿中使用的术语将分别是IHT750和IHT800。

结果显示,在加热至750°C期间,P+α → γ的转变才刚刚开始,但大部分发生在等温保持期间相反,在800°C下,加热时,所有珠光体似乎都被溶解(明显收缩),并且部分α + γ′→ γ转变已经开始,在恒温保持期间继续这种转变。
这意味着奥氏体的形成作为一种扩散转变,需要时间才能发生。在IHT750和IHT800样品中,收缩在开始时更尖锐,在此期间珠光体溶解发生,然后在α + γ′→ γ期间以更渐进的方式不断减小,直到达到平衡条件后应获得渐近值。

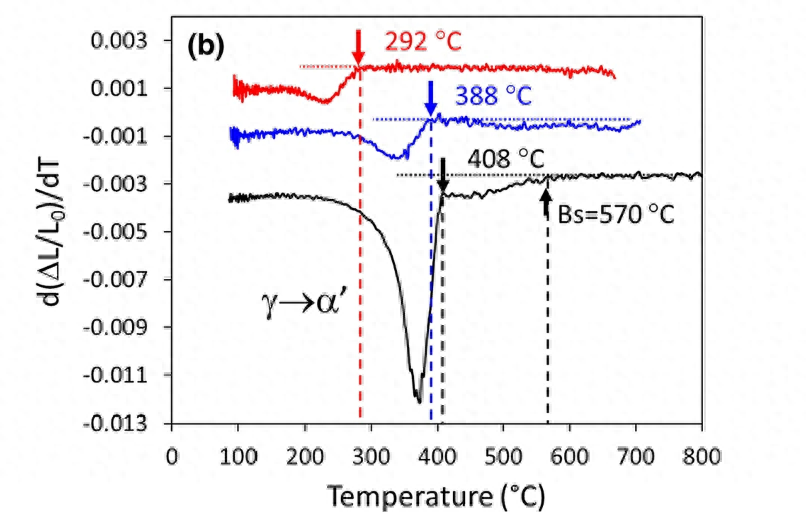
最终,在从IHT温度淬火期间,在没有任何相变的情况下,在达到Ms温度之前应该预期线性收缩。样品IHT750显然就是这种情况,它经历逐渐的热收缩,直到达到Ms温度,估计约为292°C。 对于IHT800条件,Ms估计为388°C。另一方面,从1050°C快速冷却似乎在达到Ms温度之前将样品略微转变为贝氏体。Bs(贝氏体起始温度)的大致位置也被定位并用箭头(Bs = 570°C)指出,而Ms温度在408°C左右观察到。

众所周知,提高奥氏体的碳含量可以稳定该相并降低该临界转变温度。加热到1050°C(= 408°C)后发现的值在某种程度上接近在800°C(388°C)下加热后发现的值,这最初是出乎意料的,因为两次热处理后奥氏体的碳含量应该显着不同(分别在0和16°C时为0.25wt%和1050.800wt% 根据TC)。
然而,在完全奥氏体化的样品中,贝氏体的预形成会使剩余的未转化奥氏体富集在碳中,从而降低Ms温度。最后,在750 °C下临界形成的奥氏体的碳含量(根据TC为0.43 wt%)比在800 °C时高得多;因此,通过膨胀测量法也通过实验确定,预计Ms要低得多。
大家都在看
-
高颜值、高性价比!学生党高性价比轻薄本买它准没错 【ZOL中关村在线原创导购】惠普星Book Pro Air 14是当下很具有代表性的适合学生朋友的轻薄本,性价比极高,外观设计时尚,性能出色,而且在续航以及便携性等方面基本都没有短板,可以说是非常标准的一款无短板轻薄本 ... 机械之最05-23
-
维生素片怎么选?不同类型功能大不同,看完再买不踩坑 如今,维生素片已经成为很多人家中的“常备品”。有人觉得每天吃一片能增强免疫力,有人希望靠它改善皮肤状态,还有人单纯跟风购买。但你真的了解维生素片吗?它到底有哪些作用,不同类型的维生素功能有啥区别,又该 ... 机械之最05-23
-
【人民需要这样的教育家㉟】陈灏珠:大医良师,搭建“心桥” 【人民需要这样的教育家㉟】光明日报记者 颜维琦 靳昊2019年,一位满头银发的老者身着白大褂,带领学生完成了自己退休前最后一次查房。像往常一样,他先把听诊器的听筒用手心焐热,躬身为病人细细检查,然后耐心聆听 ... 机械之最05-23
-
机械硬盘组件供应商在美国遭集体诉讼:跨度13年 IT之家 5 月 23 日消息,美国加州北区联邦地区法院昨日(5 月 22 日)发布公告,宣布受理一起硬盘行业反垄断集体诉讼,涉及 2003 年 1 月 1 日至 2016 年 12 月 31 日期间购买硬盘悬架组件产品的终端用户。IT之家注 ... 机械之最05-23
-
武汉21岁大学生“手搓”蝴蝶,被婚庆公司抢着要:每只1500元,有客户一口气打包10套 5月22日,一只翼展78厘米的“蝴蝶”在武昌职业学院的操场上翩翩起舞。在人工遥控下,它振翅划出一道道笔直的线,稳稳飞出十余米。这不是特效,不是玩具,而是该校无人智能装备技术应用学院2023级学生艾雨庆和团队“ ... 机械之最05-23
-
诺奖得主托卡尔丘克“承认”用AI创作小说?当事人正面回应 近日,在波兰举行的一场公开活动中,2018年诺贝尔文学奖得主奥尔加·托卡尔丘克(Olga Tokarczuk)受邀发表演讲,她在演讲中透露可能正在创作个人写作生涯的最后一部小说,并称在最新小说中使用了“一种语言模型”, ... 机械之最05-22
-
开放的苏州成外企发展沃土 苏州市区一景。 图片为苏州市委宣传部提供奇瑞捷豹路虎汽车有限公司常熟工厂总装车间。 图片为苏州市委宣传部提供苏州金鸡湖水城共生画卷。 图片为苏州市委宣传部提供5月的江苏苏州,亚太经合组织第三十二届贸易部长 ... 机械之最05-22
-
iPhone 18全爆料:2nm芯片 + 可变光圈 + 折叠屏,苹果这次赌上了一切 2026年,智能手机行业将迎来近年来剧烈的一次震荡,苹果不再挤牙膏了。综合Mark Gurman、Jon Prosser、郭明錤等爆料人的信息,以及供应链多方交叉验证,iPhone 18系列几乎可以确定将带来三大颠覆性升级:全球首款2nm ... 机械之最05-22
-
从“量的积累”迈向“质的跃升”——看河北特色产业集群如何提档升级、迸发活力 【为推进中国式现代化凝聚磅礴力量·“十五五”新图景新征程】光明日报记者 耿建扩 陈元秋 光明日报通讯员 李保健5月10日清晨,河北省邢台市南和区的物流车辆已川流不息,这里每天约有350万件快递发往全国,其中不少 ... 机械之最05-22
-
iQOO15T 游戏性能深度评测:2K光追手游的「版本答案」? 【ZOL中关村在线原创技术】当2K屏、全场景光追、144Hz超帧并发这些关键词同时出现在一台手机上,iQOO15T显然想在手游性能赛道上重新定义"满配"的含义。1 性能铁三角:不只是堆料,而是底层重构iQOO15T的性能基座由三 ... 机械之最05-22
相关文章
- iQOO15T 游戏性能深度评测:2K光追手游的「版本答案」?
- 外企为何在苏州“扎堆”?
- 动荡变革期的国际冲突理论新进展
- 走进陕西西凤工业旅游景区——老酒酿出新味道(打卡热门工业旅游景区)
- 新华视点丨直击湖南石门防汛救灾一线
- 工业旅游,生产线也是风景线(以文塑旅 以旅彰文)
- 工业旅游,生产线也是风景线(以文塑旅 以旅彰文)
- 一堂优良传统课,47个普通官兵“走”进政委教案
- 有人听不懂、有人“吃不饱”——高校AI通识课怎样才能讲好
- 做好跟岗挖掘 绘制高质量课程能力图谱
- 中高端财务装订机怎么选?看看歌派6820财务装订机就够了
- 审视AI背景下职业能力需求——关于AI能力的对话(上)
- 扎心真相:每天运动半小时,根本救不了久坐的你~
- 躬身求真知 潜心著文章——魏心镇与中国工业地理学
- 青铜有温度,遗址焕新生
- 47年,一条产业链托起一台冠军摩托车(经济聚焦)
- 机械转型,走哪些方向好?
- 从机甲量产到AI适配 人形机器人商业化提速
- 机械考研最怕的,是选错赛道
- 锁定正负一毫米公差!大鲨鱼机械YXSJ-3000数控绳锯机重塑精密计量大理石大平台标杆
热门阅读
-
天下第一暗器暴雨梨花针,传说中的唐门暗器做出来了 07-13
-
汽车投诉排行榜前十名汽车 问题最多的就是这些车 07-13
-
世界上最牛挖掘机,甚至可以挖穿一座城市 11-05
-
世界最大核潜艇制造厂,产量远超中美法 11-20
-
我国在职正部级领导中,最年轻的是这5人! 08-30
