运动让肾脏健康起来
肾脏是我们身体中的重要器官,它每天都在为我们奋力工作,然而并不被很多人所关注,只有肾脏不健康了才认识到肾脏健康的重要性。
随着当今社会生活压力的增加,肾病患者越来越多。据相关统计显示,慢性肾脏病已成为威胁全球世界公共健康的主要疾病之一,患病率甚至高于某些常见的癌症。

更可怕的是,慢性肾脏病症状表现十分隐匿,初期几乎没有明显症状,不容易引起患者重视,当病人察觉身体不适并主动就医时,往往已经发展为肾脏病的中晚期了。
因此,要想保持肾脏健康,除了健康饮食以外,健身运动是最“经济”的方式之一。

网上曾有言论说,健身会导致肾功能受损,这是属于过于片面化的说法。凡事都要讲个度,过于极端的锻炼情况和过量蛋白质摄入才可能会导致功能受损。
相反,合理的健身行为是对肾脏有益的,也有助于保持健康的体重和心脏。其中有氧运动是保护肾脏最佳运动方式,如:游泳、慢跑、操课等。

Poortmans(1995)证明了运动有助于预防随着年龄增长而发生的肾脏损伤,医生测试了参与者的肾功能和肌酐。

发现经常锻炼的人肌酐水平较低,肾脏能够更好地从血液中清除肌酐。简单来说,就是合理的适当运动有助于身体“排毒”。

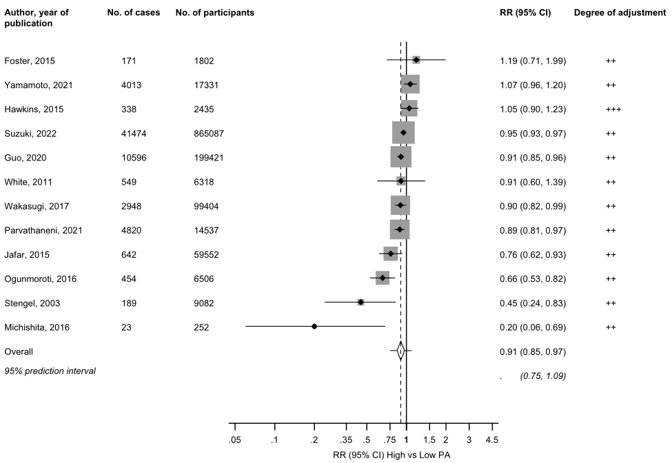
在期刊Eur Epidemiol(影响因子12.434)发表了一项包含128万余名参与者的汇总分析,发现运动最多的人群相较于运动最少的人群慢性肾脏病风险降低了9%。
在纳入的12篇基于独立研究的观察性队列研究中,包括1281727名参与者和66217例CDK(即慢性肾脏病)事件。

分析了运动最多组与运动最少组的个体CDK风险发现,多变量校正RR(95%CI)为0.91(0.85~0.97),95%预测区间为0.75~1.09。这一结果表明,运动或有助于降低CDK风险(图1)。
RR:即相对危险度,指2个人群的发病率的比值,通常为暴露人群的发病率和非暴露人群的发病率之比

即使纳入的研究之间有显著的异质性,但从meta分析中排出任何一项研究,并不会改变关联的方向或意义。此外,运动与慢性肾脏病风险之间相关性在几个亚组分析中一致。
研究结论表明:
在一般人群中,与不运动或运动少的人群相比,运动最多的人群患慢性肾脏病的风险显著降低。

研究者同时也表示,有氧训练和抗阻训练,对慢性肾脏病的主要危险因素有积极作用,如血糖异常、高血压、肥胖、血脂异常和炎症。
此外,在目前的运动指南建议中,成年人每周进行至少150分钟的中等强度或75分钟的高强度有氧运动。然而,有许多人并未达到这一水平。

所以,为了健康,保护好我们的肾脏,让它能正常健康的工作,赶紧开始的你的健身计划吧!联系我们为你提供科学的训练方案。
参考资料:
[1] Poortmans J R, Vanderstraeten J. Kidney function during exercise in healthy and diseased humans[J]. Sports Medicine, 1994, 18(6): 419-437.
[2] Seidu S, Abdool M, Almaqhawi A, et al. Physical activity and risk of chronic kidney disease: systematic review and meta-analysis of 12 cohort studies involving 1,281,727 participants[J]. Eur J Epidemiol. 2023 Jan 10. doi:10.1007/s10654-022-00961-7. Epub ahead of print.
上一篇:中国奥运之最
大家都在看
-
这位两届奥运冠军有了新身份,运动生涯曾创三项之最 你还记得龙清泉吗?当年,他可是举重赛场大名鼎鼎的人物,8年内两次夺得奥运会举重金牌。近日,这位当年的举重名将有了新身份,4月22日湖南省体育局发布的“关于局机关干部内部交流轮岗的通知”显示,龙清泉交流轮岗 ... 体育之最04-24
-
关于世界杯 5大不可思议的事件 世界杯百年历史上,充满了无数令人瞠目结舌、匪夷所思的传奇与闹剧。以下精选5 大最不可思议的事件,每一件都颠覆了人们对足球的认知:1. 1966 年门线悬案:世界杯史上最大疑案事件:英格兰世界杯决赛,英格兰 vs 联 ... 体育之最04-10
-
“飞翔”失败之后一名翼装飞行者挂在禄劝“望天崖”上惊心5小时 2026年3月,昆明禄劝县雪山乡的“望天崖”见证了惊魂一幕。一名翼装飞行者因突发气流影响,未能按计划路线飞行,被挂在“望天崖”陡峭崖壁的半山腰岩石上。这里山体坡度接近垂直,岩壁湿滑、杂草丛生,根本没有正常 ... 体育之最04-05
-
周琦单场8罚0中,连续12罚不中,创CBA历史之最 北京时间2026年3月23日,CBA常规赛第29轮,北京北汽客场86-88不敌吉林,核心争议集中在中锋周琦的罚球表现上。他全场8罚0中,加上上一场对阵辽宁末节连续4罚不中,已连续12罚不中,创造CBA历史单场罚球全丢新纪录。 ... 体育之最03-28
-
乒乓球混团世界杯在成都揭幕 王楚钦代表运动员宣誓 11月30日上午,2025年成都国际乒联混合团体世界杯在四川省体育馆正式开幕。中国队王楚钦、德国队沙宾·温特代表运动员宣誓。此次比赛是乒乓混团入奥后首次进行的世界杯比赛,比赛冠军队伍的世界积分从1000分提升至25 ... 体育之最03-24
-
(图表)体育·年终稿丨2024年中国体育健儿获194个世界冠军 创历年之最 新华社图表,北京,2024年12月26日国家体育总局竞技体育司12月26日发布《2024年我国运动员取得成绩报告》。2024年中国体育健儿共在33个项目上获得194个世界冠军,数量创历年之最。新华社发 王威 制图 ... 体育之最03-21
-
CBA第一阶段三大"之最" 本赛季CBA常规赛第一阶段火爆激烈,让无数球迷看得是如痴如醉,CBA三个"之最"的故事如同三把烈火,点燃了整个中国篮球圈的激情与热血!1、广西平民天王庞峥麟最励志:从野球场打到国家队。这是一个足以写入 ... 体育之最02-08
-
前无古人!ATP盘点阿尔卡拉斯多项历史之最 2月4日,国际职业网球联合会ATP巡回赛官方盘点了阿尔卡拉斯创下的多项成就:22岁272天,实现全满贯最年轻男球员;19岁130天,最年轻ATP男单世界排名第一;22岁9个月,公开赛最年轻获得7个大满贯男单冠军球员;21岁2 ... 体育之最02-06
-
国际乒联主席索林点赞混团世界杯:让成都再次成为乒乓球的温暖家园 2025年成都国际乒联混合团体世界杯已于11月30日火热开幕,这场乒坛盛宴在混团项目入奥的背景下,也成为2028年洛杉矶奥运会的“实战预演”,并且以更高的积分受到了更广泛的关注。12月1日下午,成都混团世界杯召开了 ... 体育之最12-27
-
世界上等级最高的体育赛事:奥运会每四年一届,已举办了29届 世界上有许多各式各样的体育赛事,吸引着全球范围内的观众们的目光。无论是足球、篮球、网球,还是自行车赛、电子竞技,都有自己的粉丝群和观众基础。但要说到世界上等级最高的体育赛事,非奥运会莫属,也是最具影响 ... 体育之最08-19
相关文章
- 国际乒联主席索林点赞混团世界杯:让成都再次成为乒乓球的温暖家园
- 世界上等级最高的体育赛事:奥运会每四年一届,已举办了29届
- 世界上等级最高的足球赛事,世界杯每四年一届
- 12岁于子迪200米蝶泳夺冠:泳坛新星的破晓之光
- 专访邓亚萍:不服输的态度永不止步
- 42岁老将血战王曼昱!削球艺术对决,险胜背后是永不屈服体育精神
- 21分钟速胜!孙颖莎碾压卢茨创纪录,外媒惊叹:中国女乒无解
- 最佳运动时间不是“天刚亮”,更不是“临睡前”!很多人锻炼错了
- 冲上热搜!战胜国乒后激动捂脸痛哭,这才是竞技体育最真实的模样
- 多哈乒坛风云:热血与遗憾交织的竞技诗篇
- CBA生死战启示录:当钢铁之躯轰然倒下,谁在改写英雄剧本?
- 国际乒联的“傲慢”才是体育精神?
- NBA史上最强的10个最人都有那些!
- 为什么它能称为地球最受欢迎的运动?这些数据告诉你答案!
- 跳水台上的冰与火:00后双姝巅峰对决撕开竞技体育最残酷的温柔
- 国乒狂揽四连胜!孙颖莎碾压神秘之师,王曼昱双线突围引爆看点
- 最适合人们的体育运动,大多数人都不知道
- 勒布朗-詹姆斯最新推特:体育赛事中最棒的两个字—抢七!
- 伽VS普拉提:谁才是你的“本命运动”?90%的人都选错了!
- 34岁孙杨带伤夺铜!赛后一动作让全网泪崩:这才是真正的冠军
热门阅读
-
NBA75大球星官方完整名单 02-15
-
世界十大知名职业自行车赛事,环法自行车赛名列前茅 04-26
-
2022热门网游排行榜前十,英雄联盟位居第一宝座 09-02
