为什么一块磁铁掰两半,会同时拥有南北极?
有一种美,叫对称美!在生活中美,在自然界美,甚至在物理学中也美。人们向往它,追求它,但是事实总是跟我们预期的不同。我们有电荷、有电场;有质荷、有引力场;有磁场,但没有磁荷(磁单极子)!这种不对称让追求完美的人类,急得牙痒痒。今天就说下自然界的不对称,宇宙中会有磁单极子吗?这也能顺便回答:为什么一块磁铁掰两半会同时拥有南北极?
为什么说磁力和引力、库仑力不对称
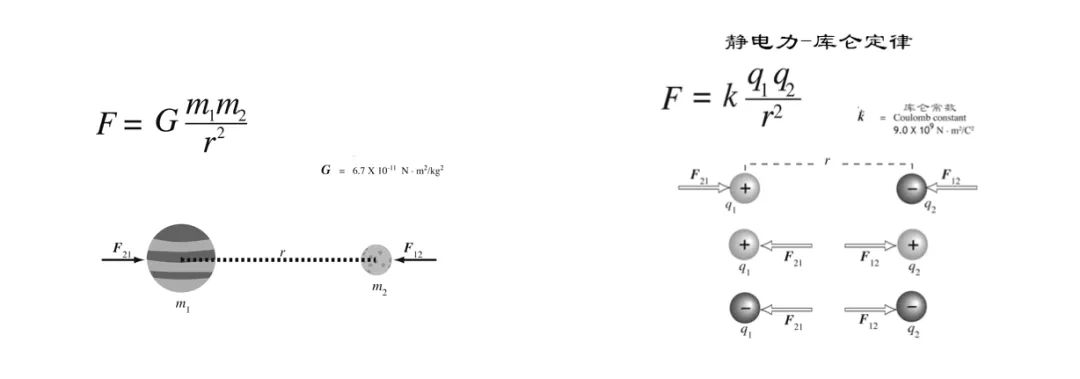
在宇宙乃至自然界,尤其是在科学中,基本的对称性造就了大量物理过程的基础。在万有引力中,两个质量(能量)物体之间施加的力,其大小相等而方向相反。这就体现了自然界对称性!

从上图就可以看到,引力公式和静电力公式在形式上完全一样,很工整。而且对于两个电荷粒子来说,力也是一样的(大小相等方向相反),唯一不同的是电荷比质量(质荷)多了一个符号(负电荷),因此电场力可以向内,也可以是向外的。这也体现了对称性!另外电力与另一种力的关系非常密切,那就是磁力。

磁力跟电力很像,电力有有正电荷和负电荷,而磁有南极和北极,它们都是同性排斥,异性相吸。但是,磁力在一个特殊的方面与电力有着本质上的不同:
在电力中,不管是正负电荷我们可以把它们组合在一起,也可以让一个单独的正电荷或一个单独的负电荷独立的存在。但在磁力中,多个磁极可以配置在一起形成磁铁,但不可能存在一个孤立的“北极”或“南极”。也就是说,你把磁铁掰开,不会分成一个北极和一个南极,而是分开的磁铁会同时拥有南北极。物理学中,相反的电荷或者两极结合在一起时,我们就叫它偶极子,当一个单独的电荷存在时,我们就叫它单极子。

引力的单极子很简单:它只是一个质量或者叫它质荷。电力的单极子也很简单:任何带电荷的基本粒子,比如电子或夸克,都是单极子。
那么磁单极子是否存在呢?据我们所知,它们并不存在,至少我们没有发现它们。磁极子貌似总是以偶极子的形成存在!如果宇宙中存在磁单极子,我们的宇宙将会大不相同。为什么这么说呢?首先我们看下电和磁是怎么联系在一起的!
电和磁之间有什么关系?

我们知道电荷移动起来就叫电流,有了电流就会产生一个垂直于电荷运动方向的磁场。一根有电流通过的直线导线,就会在电流导线周围产生一个环形磁场,如果我们把载流导线弯成环形或线圈,就会在导线内部产生一个磁场。
也就是说,电流会产生电场,电场会感生出磁性场!那么反过来可行吗?1831年法拉第就发现,如果我们在一个线圈内部施加一个变化的磁场,磁场就会产生电场,电场就会导致线圈中电荷发生移动,并产生电流!这就是电磁感应原理。这也说明了物理定理的对称性。
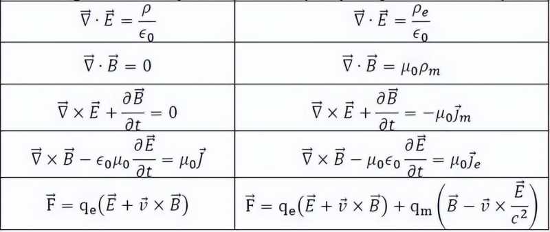
如果存在磁单极子,麦克斯韦方程则大不相同
自然界中可以有电荷,电流和电场,但是就是没有磁荷或磁流,只有磁场。我们可以改变磁场使电荷运动,但不能通过改变电场使磁荷运动,因为根本就没有磁荷。
换句话说,宇宙的电磁特性之间存在着根本的不对称性。这就是为什么“E”和“B”场(电场和磁场)在麦克斯韦方程中的形式看起来也不同。

不用看懂这些方程,我们就能看出电场和磁场方式的不对称,原因是电荷(ρ和Q)和电流(J和I)存在,但与它们对应的磁性物不存在。
但是如果磁荷和磁流确实存在呢?一个多世纪以来,物理学家们一直在思考这个问题,如果磁单极子存在的话,我们可以把麦克斯韦方程的样子写下来,下面是它的微分形式。

左边是之前方程的积分形式,稍微变化了一点;有点是磁单极子存在的方程式。
除了一些基本常数以外,新方程看起来非常对称!我们可以通过改变电场来让磁荷运动,产生磁流。
寻找磁单极子
20世纪30年代,狄拉克曾对磁单极子进行过研究,人们当时普遍认为,如果它们真的存在,肯定应该会留下一些蛛丝马迹。但是并没有任何磁单极子存在的证据,也很难通过实验手段去证明它们的存在。
这种情况在20世纪70年代开始发生了稍微的改变。当时人们正在提出大统一理论,或者说是一个认为自然界更为对称的观点。
今天,宇宙的对称性可能被严重的破坏了,导致我们的宇宙有四个独立的基本力,但也许这四种力都以某种高能量统一为一种独特的力?所有这些理论的其中的一个结果都预示着,在标准模型外有新的高能粒子存在,并在许多不同的形式下,磁单极子被预测可能存在。

物理学家一直以来对寻找磁单极子都充满着热情,因为在人们心中有追求对称美的倾向,再加上这些提出的新理论更是引起了人们对寻找磁单极子的兴趣。所以在20世纪70年代,人们一直在寻找它们,最著名的一次实验是由布拉斯·卡布雷拉的物理学家领导的实验。他用一根长金属丝绕了八个环路线圈,这样就能测量通过金属丝的磁通量。如果一个磁单极子通过了线圈,就会得到正好八个磁单极子的信号。但如果是一个标准的磁偶极子穿过线圈,就会得到一个+8信号紧接着是一个-8信号,这样就能把单极子和偶极子区分开来。

布拉斯·卡布雷拉的磁单极子探测器。
这个装置在起初的运行期间,偶尔会在其中一个回路上发出信号,有时两个回路会同时发出信号,但这种情况比较罕见。可是我们需要的是8个磁单极子信号才能证明磁单极子的存在。但是该仪器从未检测到三个或三个以上的信号。实验进行了几个月,并没有取得成功。在1982年2月14日那天,卡布雷拉惊奇地发现电脑和设备上准确地记录了8个磁单极子信号。

这一发现在科学界中顿时引起了轰动,也让其他物理学家产生了极大的兴趣。随后人们建立更加巨大的设备,线圈表面积和环路增加了几倍,但是另外一个磁单极子从未被观察到。
也许是卡布雷拉实验中出现了一个罕见小故障,或者是宇宙中唯一一个磁单极子恰好通过了卡布雷拉的探测器!卡布雷拉的实验无法被其他科学家复制,而科学需要的正是在实验中重复性的验证一个结果。因此卡布雷拉的实验宣布无效,我们并没有发现磁单极子!如今,人们一直在寻找磁单极子的踪迹。
总结:宇宙可能就是这样,缺乏对称美
虽然对称性是美丽的,我们也向往一些事物,包括物理理论在内具有对称美。但是,大自然就是在所有的层次上不对称,我们的宇宙就是这样。与其让我们的天性引导我们误入歧途,还不如坦然的接受宇宙本来的样子。如果宇宙真的不存在磁单极子,你把磁铁掰稀碎,还是以偶极子的形成存在。
大家都在看
-
为何天上有颗“深圳星”?深圳科技馆馆长跟你聊宇宙探索、讲科学故事 开栏语星河浩瀚,藏着无尽奥秘。今起,本报推出“馆长唠科”专栏,由深圳科学技术馆馆长郑永春先生执笔,以天地为视野,聊宇宙探索,讲科学故事。首期,我们一同走近“深圳星”,看看这颗镌刻着鹏城名字的星星藏着哪 ... 宇宙探索03-24
-
从量子科技到元宇宙的崭新探索:中国科技为何引起全球瞩目? 合肥的实验室中,当光量子芯片在-271℃的超低温环境下闪烁着神秘的幽蓝光芒,显示着我国在前沿科技领域的前沿探索;在深圳,柔性屏幕薄如蝉翼,如同丝绸般可卷曲,展现了我国在新材料领域的创新实力;而在上海的生物 ... 宇宙探索03-23
-
显微镜下的奇妙世界:探索微观宇宙的无限奥秘 在我们的日常生活中,眼睛所能看到的世界仅仅是浩瀚宇宙的冰山一角。无数精妙的细节与宏大的结构,往往隐藏在肉眼无法触及的微观尺度之下,静默地运转着。而显微镜的发明,宛如一把神奇的钥匙,为我们打开了一扇通往 ... 宇宙探索03-23
-
《宇宙探索编辑部》追了半生宇宙,才懂平凡人间,才是终极答案 作为看遍各类科幻与现实题材的影评人,很少有一部电影能像《宇宙探索编辑部》这样,没有炫酷特效,没有惊天反转,却用最笨拙、最赤诚的理想主义,戳中无数人心里最软的地方。我们都曾像主角唐志军一样,抱着一份不被 ... 宇宙探索03-22
-
一个国家插入另一个国家? 一个国家插入另一个国家腹地会有什么影响?就像位于西非的冈比亚和塞内加尔。冈比亚占据冈比亚河下游两岸的狭长地带,犹如一把匕首插入塞内加尔中。冈比亚河是西非唯一通航海船的河流,由于冈比亚控制了主航道,内陆 ... 宇宙探索03-22
-
探索微观宇宙,见证科技奇迹!🔍🔬✨ 在这个由精密齿轮构成的微观宇宙里,每个细节都决定着系统的命运。一个微小的错位就能让整个系统陷入停滞,这就是系统的脆弱性,对细节的敏感度超乎想象。而点滴的校准是引导能量流向的关键。当细节被精准把控,能量 ... 宇宙探索03-22
-
第十九章:万灵共振,探索宇宙的奥秘,见证生命的奇迹!🚀✨ 唤醒生机之种的过程成了全银河生灵的共同使命。联盟向所有星球发出号召,用最纯粹的希望与勇气向枯寂星传递意念这两种情感。在法则层面恰是光的存续与暗的革新最鲜活的体现。·一、时间新银河的每一颗星球上,无论是 ... 宇宙探索03-21
-
探索宇宙的奥秘,揭开宇宙的神秘面纱!🔍🔬 宇宙究竟是平坦的还是弯曲的?这个问题让无数科学家和天文迷争论不休,真相究竟是什么?宇宙是否平坦一直是天文学界的一个热门话题。根据广义相对论,如果宇宙是平坦的,那么光线在宇宙中就能直线传播,不会发生弯曲 ... 宇宙探索03-19
-
太空探索:人类如何一步步走出地球,开启宇宙之旅 说起太空探索,很多人脑海里浮现的可能是宇航员穿着厚厚的宇航服,驾驶飞船飞向月球或者火星的画面。但其实,太空探索的故事远比这些画面更精彩、更复杂,也更充满了人类的智慧和勇气。今天咱们就来聊聊,这场人类走 ... 宇宙探索03-18
-
探索宇宙的奥秘,从大爆炸到黑洞,带你走进神秘的星空世界! 先说大爆炸吧。想象一下,138亿年前,整个宇宙其实是一个极其炽热、密度超高的“火球”,比太阳还要热千万倍,空间几乎没有。突然,这个“火球”开始疯狂膨胀,速度快得难以想象,这就是大爆炸。别误会,这不是普通 ... 宇宙探索03-18
相关文章
- 探索宇宙的奥秘,从大爆炸到黑洞,带你走进神秘的星空世界!
- 探索宇宙奥秘:地球的起源与生成之旅🌍✨
- 探索未知宇宙苍穹
- 北京天文馆“宇宙探索营”开启\中国人民抗日战争纪念馆卢沟桥抗战半景画全新升级……本周最新博物馆资讯点击——
- 从《宇宙探索编辑部》到《坠落的审判》,他用60余张海报设计解码光影背后的“无序公式”
- 科学家追踪引力波,结果发现更离谱的宇宙事件
- 以光速的20%飞行:科学家展示“实用”光帆探索宇宙
- 看不见的宇宙:暗物质与暗能量的证据、理论与探索
- 美国太空部队:要有攻击中国卫星能力,探索部署攻击性轨道航天器
- “大航天时代”会加速人类探索宇宙的进程吗
- 三种“超光速”现象,告诉你宇宙远比想象疯狂
- 微积分:探索宇宙无限奥秘的钥匙
- 探索月相奥秘,揭示宇宙的奇妙!🌙✨
- 宇宙或许不是无限的,它的总质量已经被推算出来
- 探索宇宙的奇迹,太空站俯瞰地球!🌍✨
- 宇宙探索:人类的火星梦想与深空探测
- 从水火土到夸克 2500年物质探索 重塑宇宙认知
- 暗物质捕手+天文AI,中国科学家把宇宙探索“卷”出新高度
- 航天科技究竟是什么?它为什么能让我们仰望星空,探索宇宙奥秘?
- 未来宇宙探索:与外星文明首次接触,是友是敌?
热门阅读
-
预言2030年太阳将休眠,恐怖的千年极寒将来临 07-11
-
中国十大元帅之死,多高寿而善终(林彪叛逃而死) 07-11
-
因果报应真实事例,做尽坏事必遭天谴 07-11
-
这6个神奇天体有很酷的名字 06-01
-
全球人口减少可能带来的六大教训和好处 07-18
-
离太阳最近的十大恒星排名,宇宙最大十大星球 04-12
精选文章
- 创生之柱是什么?(创生之柱给予了许多恒星生命)
- 中国51区秘密基地,窃密必被抓(抓住就杀头)
- 中国“天宫”空间站将在2022年前后建成 呈T字型有三个舱段最多可驻留6人 ...
- 新冠病患康复后,可能“精子减少或无精”
- 中国古代四大凶兽,四大神兽vs四大凶兽谁更强
- 2025年宇宙探索大爆发!月全食、火星冲日等,这些天文奇观别错过
- 黑龙江50万年死火山苏醒, 内含15%电量的巨大岩浆囊
- 误会一辈子!破伤风其实是一种细菌跟生锈铁完全没关系
- 美国同步空间态势感知项目(GSSAP)军事间谍卫星多次秘密靠近俄罗斯和中国的航天器 ...
- 中国长征五号B遥一运载火箭全貌曝光 本月底在海南文昌航天发射场进行首次发射 ...
